Scalability of Wi-Fi Performance in Virtual Reality Scenarios
Abstract
1. Introduction
- The increase in the number of AP antennas to enhance data rates with the multiple-input multiple-output (MIMO) technology.
- QoS-aware transmission schedulers that take into account delays of currently enqueued frames and VR QoS requirements.
- We built an ns-3-based simulation framework (the framework can be requested at https://wnlab.ru/wifi-mumimo-simulator, accessed on 27 August 2025) to evaluate Wi-Fi performance in VR scenarios with MU-MIMO support and the ability to use up to 16 antennas/spatial streams at the AP, which is not supported yet by the current Wi-Fi standard. The framework allows modeling explicit sounding procedure and channel aging, includes a realistic VR application model [21] and different delay-aware schedulers [12].
- We determined the maximal number of VR users that can be served in a Wi-Fi MU-MIMO network in different scenarios. We analyzed how system performance depend on different factors, including the number of AP and STA antennas, different fading parameters, schedulers, and UL MCS selection algorithms used for CBF transmission.
- We found and explained several effects that impact Wi-Fi performance when serving VR traffic:
- (a)
- In some scenarios with a highly dynamic environment, Wi-Fi MU-MIMO performance is not sensitive to the sounding period, i.e., AP can perform the sounding procedure very rarely (more than 100 ms), because the system performance is determined by the efficiency of the STA equalizers (see Section 4.2). Moreover, in this case, the performance of the SU-MIMO-only capable AP is very close to that of the MU-MIMO capable one (see Section 4.6).
- (b)
- In contrast to naive customer expectations, doubling the number of AP antennas does not usually double the network performance (see Section 4.3). The results reveal a critical finding: Scalability is not linear. In particular, doubling AP antennas from 8 to 16 yields only a 35% gain in capacity under typical conditions, which is well below 100% of the linear scaling one might expect. Moreover, when the duration of the sounding procedure is high due to low MCS used for BFR transmission, the rise of the number of AP antennas may even degrade the performance (see Section 4.8).
- (c)
- We highlight the importance of delay-aware scheduling approaches, which can provide a performance gain of up to 50%. Moreover, we show that in some scenarios the performance gain from doubling the number of antennas can be lower than from the implementation of a delay-aware scheduler (see Section 4.3).
2. Related Works
3. System Model
3.1. Wi-Fi MIMO Operation
- () represents the () transmitting signal vector intended for STA k (STA i),
- is the channel matrix between the AP and STA k,
- () is the () precoding matrix,
- is the detection matrix,
- is noise vector.
3.2. Wi-Fi MIMO Scheduler
4. Numerical Results
4.1. VR Application and Considered KPIs
4.2. Impact of Sounding Period
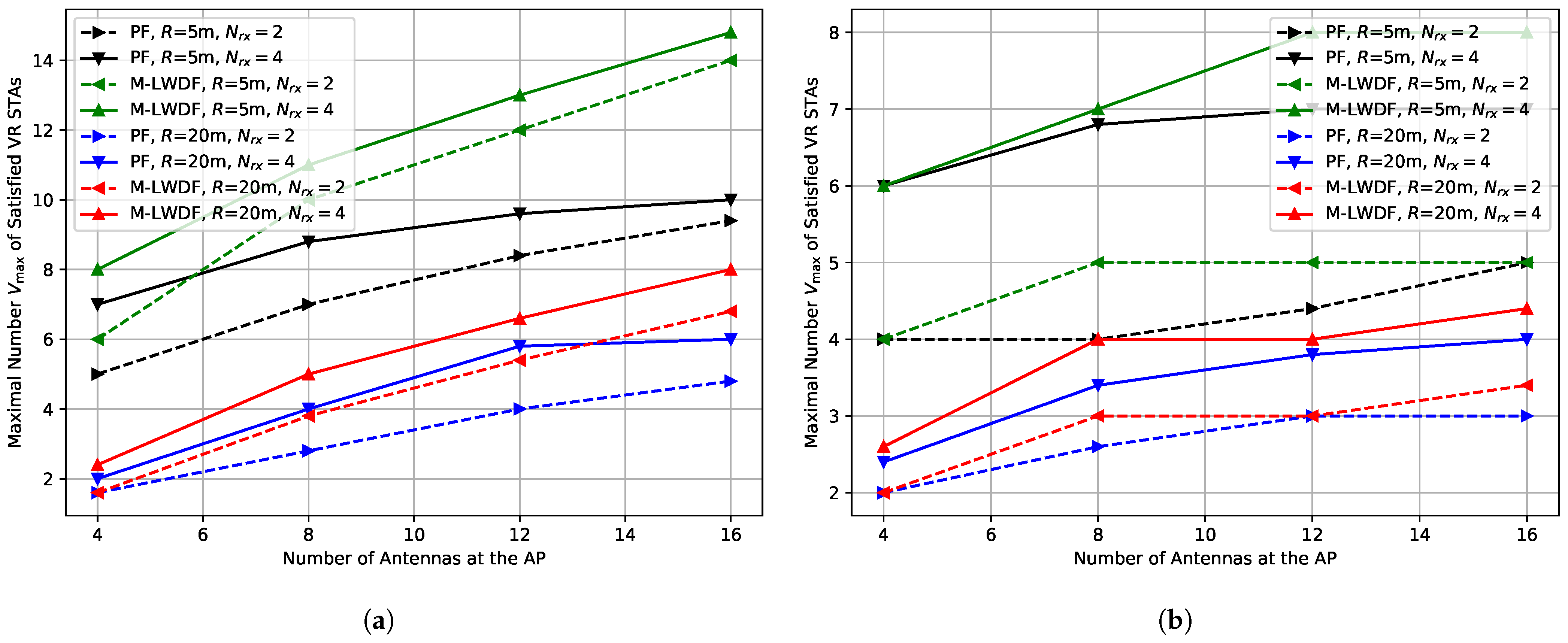
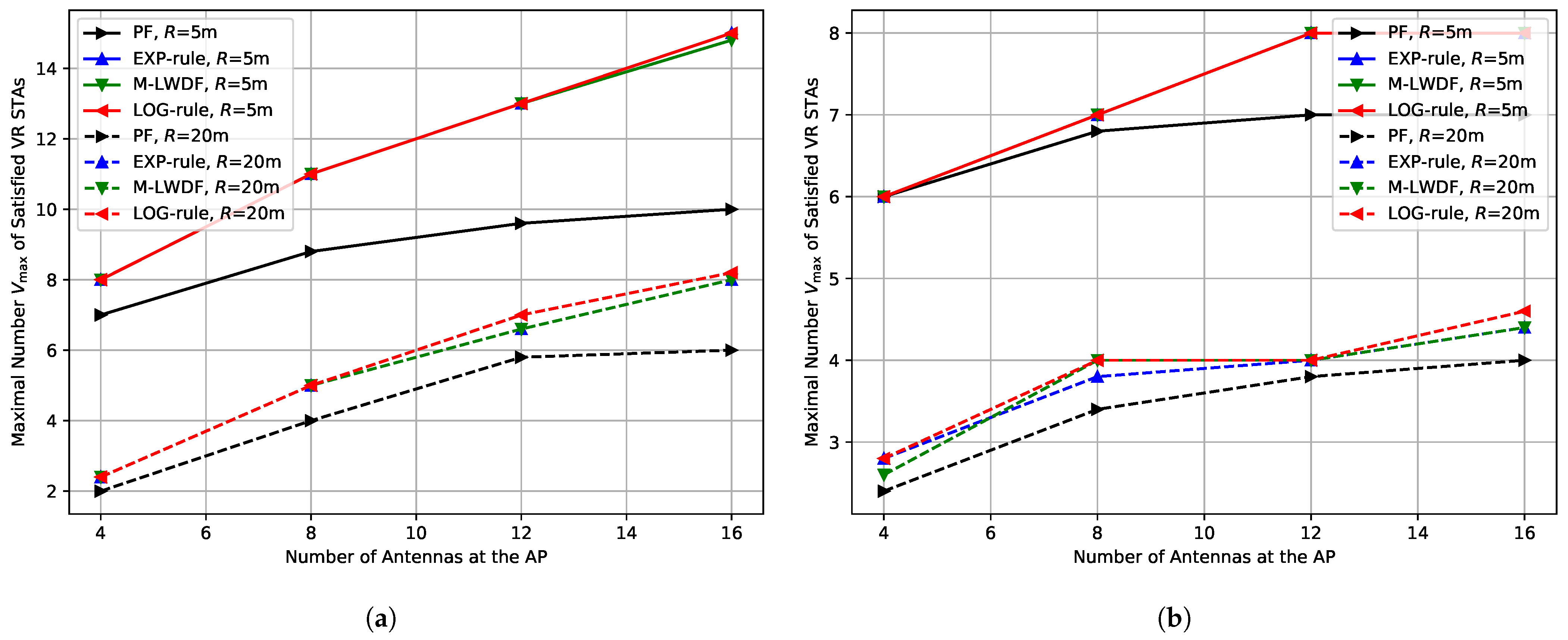
4.3. Impact of Number of Antennas at the AP
4.4. Impact of the Number of Antennas at STA
4.5. Impact of the Channel Model
4.6. Impact of MU-MIMO Operation
4.7. Impact of Downlink MCS Selection Algorithm
4.8. Impact of Uplink MCS Selection Algorithm
- Ideal. The dynamic MCS selection algorithm, according to which the AP selects the fastest MCS and the number of spatial streams for each STA, taking into account current channel conditions;
- MCS7. The constant MCS selection algorithm, which always selects MCS7 with a single spatial stream. It is selected as a compromise between the data rate and reliability, because MCS7 is enough to transmit BFRs reliably in all considered scenarios.
5. Conclusions
Author Contributions
Funding
Institutional Review Board Statement
Informed Consent Statement
Data Availability Statement
Conflicts of Interest
Abbreviations
| AP | Access Point |
| CBF | Compressed Beamforming Frame |
| CSI | Channel State Information |
| FPS | Frames Per Second |
| HMD | Head-Mounted Display |
| HoL | Head-of-Line |
| MCS | Modulation and Coding Scheme |
| MMSE | Minimum Mean Square Error |
| MIMO | Multiple-Input Multiple-Output |
| MU-MIMO | Multi-User MIMO |
| M-LWDF | Modified Largest Weighted Delay First |
| NDP | Null Data Packet |
| NSS | Number of Spatial Streams |
| OFDMA | Orthogonal Frequency-Division Multiple Access |
| QoS | Quality of Service |
| SISO | Single-Input Single-Output |
| SNR | Signal-to-Noise Ratio |
| STA | Station |
| SU-MIMO | Single-User MIMO |
| VR | Virtual Reality |
| ZF | Zero Forcing |
References
- Sreedhar, K.K.; Aminlou, A.; Hannuksela, M.M.; Gabbouj, M. Viewport-adaptive encoding and streaming of 360-degree video for virtual reality applications. In Proceedings of the 2016 IEEE International Symposium on Multimedia (ISM), San Jose, CA, USA, 11–13 December 2016; IEEE: New York, NY, USA, 2016; pp. 583–586. [Google Scholar]
- Joda, T.; Gallucci, G.; Wismeijer, D.; Zitzmann, N.U. Augmented and virtual reality in dental medicine: A systematic review. Comput. Biol. Med. 2019, 108, 93–100. [Google Scholar] [CrossRef]
- Wolfartsberger, J. Analyzing the potential of Virtual Reality for engineering design review. Autom. Constr. 2019, 104, 27–37. [Google Scholar] [CrossRef]
- Huawei. White Paper for 5G Cloud VR Service Experience Standards; Technical Report; Huawei: Shenzhen, China, 2019. [Google Scholar]
- Liubogoshchev, M.; Korneev, E.; Khorov, E. EVeREst: Bitrate adaptation for cloud VR. Electronics 2021, 10, 678. [Google Scholar] [CrossRef]
- Ruan, J.; Xie, D. Networked vr: State of the art, solutions, and challenges. Electronics 2021, 10, 166. [Google Scholar] [CrossRef]
- Michaelides, C.; Casasnovas, M.; Marchitelli, D.; Bellalta, B. Is Wi-Fi 6 Ready for Virtual Reality Mayhem? A Case Study Using One AP and Three HMDs. In Proceedings of the 2023 IEEE Future Networks World Forum (FNWF), Baltimore, MD, USA, 13–15 November 2023; IEEE: New York, NY, USA, 2023; pp. 1–6. [Google Scholar]
- Yoo, T.; Goldsmith, A. On the optimality of multiantenna broadcast scheduling using zero-forcing beamforming. IEEE J. Sel. Areas Commun. 2006, 24, 528–541. [Google Scholar] [CrossRef]
- Bellalta, B. IEEE 802.11 ax: High-efficiency WLANs. IEEE Wirel. Commun. 2016, 23, 38–46. [Google Scholar] [CrossRef]
- Endovitskiy, E.; Tutelian, S.; Chemrov, K.; Loginov, V.; Khorov, E. Impact of Explicit Channel Sounding Period on the Wi-Fi MU-MIMO Performance. In Proceedings of the 2024 IEEE International Black Sea Conference on Communications and Networking (BlackSeaCom), Tbilisi, Georgia, 24–27 June 2024; IEEE: New York, NY, USA, 2024; pp. 78–83. [Google Scholar]
- Truong, K.T.; Heath, R.W. Effects of channel aging in massive MIMO systems. J. Commun. Netw. 2013, 15, 338–351. [Google Scholar] [CrossRef]
- Capozzi, F.; Piro, G.; Grieco, L.A.; Boggia, G.; Camarda, P. Downlink packet scheduling in LTE cellular networks: Key design issues and a survey. IEEE Commun. Surv. Tutor. 2012, 15, 678–700. [Google Scholar] [CrossRef]
- Ramos, A.; Mrozowski, A.; Prado-Alvarez, D.; Monserrat, J.F.; Zhang, Y.; Yu, Z.; Chen, Y. Evaluation methodology for 6G sensing-assisted communication system performance. IEEE Access 2024, 12, 7841–7852. [Google Scholar] [CrossRef]
- Hu, P.F.; Leung, K.W.; Luk, K.M.; Pan, Y.M.; Zheng, S.Y. Diversity glass antennas for tri-band WiFi applications. Engineering 2023, 23, 157–169. [Google Scholar] [CrossRef]
- Khan, I.; Wu, Q.; Ullah, I.; Rahman, S.U.; Ullah, H.; Zhang, K. Designed circularly polarized two-port microstrip MIMO antenna for WLAN applications. Appl. Sci. 2022, 12, 1068. [Google Scholar] [CrossRef]
- Maeng, S.J.; Kwon, H.; Ozdemir, O.; Güvenç, İ. Impact of 3-D antenna radiation pattern in UAV air-to-ground path loss modeling and RSRP-based localization in rural area. IEEE Open J. Antennas Propag. 2023, 4, 1029–1043. [Google Scholar] [CrossRef]
- Lee, W.; Duan, R.; Ibrahim, M.; Kandala, S.; Ranganath, A. 16 Spatial Stream Support; Technical Report IEEE 802.11-19/1877r0, IEEE TGbe Proposal; IEEE: New York, NY, USA, 2019. [Google Scholar]
- Deng, C.; Fang, X.; Han, X.; Wang, X.; Yan, L.; He, R.; Long, Y.; Guo, Y. IEEE 802.11be Wi-Fi 7: New challenges and opportunities. IEEE Commun. Surv. Tutor. 2020, 22, 2136–2166. [Google Scholar] [CrossRef]
- Hoefel, R.P.F. IEEE 802.11 be: Throughput and reliability enhancements for next Generation Wi-Fi networks. In Proceedings of the 2020 IEEE 31st Annual International Symposium on Personal, Indoor and Mobile Radio Communications, London, UK, 31 August–3 September 2020; IEEE: New York, NY, USA, 2020; pp. 1–7. [Google Scholar]
- Mehrnoush, M.; Hu, C.; Aldana, C. AR/VR spectrum requirement for Wi-Fi 6E and beyond. IEEE Access 2022, 10, 133016–133026. [Google Scholar] [CrossRef]
- Korneev, E.; Liubogoshchev, M.; Bankov, D.; Khorov, E. How to Model Cloud VR: An Empirical Study of Features That Matter. IEEE Open J. Commun. Soc. 2024, 5, 4155–4170. [Google Scholar] [CrossRef]
- Marzetta, T.L. How much training is required for multiuser MIMO? In Proceedings of the 2006 Fortieth Asilomar Conference on Signals, Systems and Computers, Pacific Grove, CA, USA, 29 October–1 November 2006; IEEE: New York, NY, USA, 2006; pp. 359–363. [Google Scholar]
- Hoydis, J.; Ten Brink, S.; Debbah, M. Massive MIMO: How many antennas do we need? In Proceedings of the 2011 49th Annual Allerton Conference on Communication, Control, and Computing (Allerton), Monticello, IL, USA, 28–30 September 2011; IEEE: New York, NY, USA, 2011; pp. 545–550. [Google Scholar]
- Perahia, E.; Gong, M.X. Gigabit wireless LANs: An overview of IEEE 802.11ac and 802.11ad. ACM Sigmobile Mob. Comput. Commun. Rev. 2011, 15, 23–33. [Google Scholar] [CrossRef]
- Khorov, E.; Kiryanov, A.; Lyakhov, A.; Bianchi, G. A tutorial on IEEE 802.11ax high efficiency WLANs. IEEE Commun. Surv. Tutor. 2018, 21, 197–216. [Google Scholar] [CrossRef]
- López-Pérez, D.; Garcia-Rodriguez, A.; Galati-Giordano, L.; Kasslin, M.; Doppler, K. IEEE 802.11be extremely high throughput: The next generation of Wi-Fi technology beyond 802.11ax. IEEE Commun. Mag. 2019, 57, 113–119. [Google Scholar] [CrossRef]
- Su, S.; Tan, W.T.; Zhu, X.; Liston, R.; Wildfeuer, H.; Aazhang, B. Motion-Aware Optimizations for Downlink MU-MIMO in 802.11 ax Networks. IEEE Trans. Netw. Serv. Manag. 2021, 18, 4088–4102. [Google Scholar] [CrossRef]
- Lee, W.; Duan, R.; Ibrahim, M.; Kandala, S.; Ranganath, A. Further Discussion on Feedback Overhead Reduction; Technical Report IEEE 802.11-19/1495r0, IEEE TGbe Proposal; IEEE: New York, NY, USA, 2019. [Google Scholar]
- Barannikov, A.; Levitsky, I.; Loginov, V.; Khorov, E. CSI Compression Method With Dual Differential Feedback for Next-Generation Wi-Fi Networks. IEEE Wirel. Commun. Lett. 2024, 14, 475–478. [Google Scholar] [CrossRef]
- Endovitskiy, E.; Klimakov, A.; Loginov, V.; Khorov, E.; Shmelkin, D. Study of Implicit Sounding Feedback in Wi-Fi Networks. J. Commun. Technol. Electron. 2022, 67, S233–S240. [Google Scholar] [CrossRef]
- Deshmukh, M.; Kamel, M.; Lin, Z.; Yang, R.; Lou, H.; Güvenç, I. Intelligent feedback overhead reduction (ifor) in wi-fi 7 and beyond. In Proceedings of the 2022 IEEE 95th Vehicular Technology Conference: (VTC2022-Spring), Helsinki, Finland, 19–22 June 2022; IEEE: New York, NY, USA, 2022; pp. 1–5. [Google Scholar]
- Nasralla, M.M. A hybrid downlink scheduling approach for multi-traffic classes in LTE wireless systems. IEEE Access 2020, 8, 82173–82186. [Google Scholar] [CrossRef]
- Tutelian, S.; Bankov, D.; Shmelkin, D.; Khorov, E. IEEE 802.11 ax OFDMA resource allocation with frequency-selective fading. Sensors 2021, 21, 6099. [Google Scholar] [CrossRef] [PubMed]
- Wang, K.; Psounis, K. Efficient scheduling and resource allocation in 802.11 ax multi-user transmissions. Comput. Commun. 2020, 152, 171–186. [Google Scholar] [CrossRef]
- Lu, S.J.; Chen, W.X.; Su, Y.S.; Chang, Y.S.; Liu, Y.W.; Li, C.Y.; Tu, G.H. Practical Latency-Aware Scheduling for Low-Latency Elephant VR Flows in Wi-Fi Networks. In Proceedings of the 2024 IEEE International Conference on Pervasive Computing and Communications (PerCom), Biarritz, France, 11–15 March 2024; IEEE: New York, NY, USA, 2024; pp. 57–68. [Google Scholar]
- Golubev, Y.; Tutelian, S.; Loginov, V.; Khorov, E. Reducing Duration of the MU-MIMO CSI Acquisition Procedure in Wi-Fi Networks with OFDMA. In Proceedings of the 2023 IEEE Conference on Standards for Communications and Networking (CSCN), Munich, Germany, 6–8 November 2023; IEEE: New York, NY, USA, 2023; pp. 395–400. [Google Scholar]
- Zhang, J.; Avallone, S.; Blough, D.M. Implementation and Evaluation of IEEE 802.11 ax Channel Sounding Frame Exchange in ns-3. In Proceedings of the 2023 Workshop on ns-3, Washington, DC, USA, 28–29 June 2023; pp. 10–18. [Google Scholar]
- Choi, J.; Choi, S.; Lee, K.B. Sounding node set and sounding interval determination for IEEE 802.11 ac MU-MIMO. IEEE Trans. Veh. Technol. 2016, 65, 10069–10074. [Google Scholar] [CrossRef]
- Halperin, D.; Hu, W.; Sheth, A.; Wetherall, D. 802.11 with multiple antennas for dummies. ACM Sigcomm Comput. Commun. Rev. 2010, 40, 19–25. [Google Scholar] [CrossRef]
- TGax Channel Model. Available online: https://mentor.ieee.org/802.11/dcn/14/11-14-0882-04-00ax-tgax-channel-model-document.docx (accessed on 21 September 2025).
- Shen, W.L.; Tung, Y.C.; Lee, K.C.; Lin, K.C.J.; Gollakota, S.; Katabi, D.; Chen, M.S. Rate adaptation for 802.11 multiuser MIMO networks. In Proceedings of the 18th Annual International Conference on Mobile Computing and Networking, Istanbul, Turkey, 22–26 August 2012; pp. 29–40. [Google Scholar]
- Deek, L.; Garcia-Villegas, E.; Belding, E.; Lee, S.J.; Almeroth, K. A practical framework for 802.11 MIMO rate adaptation. Comput. Netw. 2015, 83, 332–348. [Google Scholar] [CrossRef]
- Hussien, M.; Ahmed, M.F.; Dahman, G.; Nguyen, K.K.; Cheriet, M.; Poitau, G. Towards more reliable deep learning-based link adaptation for WiFi 6. In Proceedings of the ICC 2021-IEEE International Conference on Communications, Virtual, 14–23 June 2021; IEEE: New York, NY, USA, 2021; pp. 1–6. [Google Scholar]
- Lecci, M.; Drago, M.; Zanella, A.; Zorzi, M. An open framework for analyzing and modeling XR network traffic. IEEE Access 2021, 9, 129782–129795. [Google Scholar] [CrossRef]
- Lecci, M.; Zanella, A.; Zorzi, M. An Ns-3 Implementation of a Bursty Traffic Framework for Virtual Reality Sources. In Proceedings of the WNS3 ’21: 2021 Workshop on NS-3, New York, NY, USA, 21 June 2021; pp. 73–80. [Google Scholar] [CrossRef]
- Study on XR (Extended Reality) Evaluations for NR (3GPP TS 38.838); 3GPP; Tech Invite: Atlanta, GA, USA, 2021.
- Morín, D.G.; Medda, D.; Iossifides, A.; Chatzimisios, P.; Armada, A.G.; Villegas, A.; Peréz, P. An eXtended Reality Offloading IP Traffic Dataset and Models. IEEE Trans. Mob. Comput. 2023, 23, 6820–6834. [Google Scholar] [CrossRef]
- Lagen, S.; Bojović, B.; Koutlia, K.; Zhang, X.; Wang, P.; Qu, Q. QoS Management for XR Traffic in 5G NR: A Multi-Layer System View and End-to-End Evaluation. IEEE Commun. Mag. 2023, 61, 192–198. [Google Scholar] [CrossRef]
- Pico Neo 2 Headset. Available online: https://web.archive.org/web/20200303211742mp_/https://www.pico-interactive.com/us/neo2.html (accessed on 27 August 2025).
- NVIDIA Nvenc Video Codec. Available online: https://developer.nvidia.com/video-codec-sdk (accessed on 21 September 2025).
- Lou, H.; Ghosh, M.; Xia, P.; Olesen, R. A comparison of implicit and explicit channel feedback methods for MU-MIMO WLAN systems. In Proceedings of the 2013 IEEE 24th Annual International Symposium on Personal, Indoor, and Mobile Radio Communications (PIMRC), London, UK, 8–11 September 2013; IEEE: New York, NY, USA, 2013; pp. 419–424. [Google Scholar]









| VR parameters | |
| VR average bitrate | 80 Mbps |
| VR frame rate | 144 FPS |
| VR video encoder | NVENC, ultra-low latency preset |
| VR delay constraint, | 20 ms |
| VR maximal allowable percentage of corrupted frames, | 1% |
| Scheduler parameters | |
| Target delay, | 20 ms |
| Target probability of exceeding the target delay, | 0.01 |
| Explicit sounding procedure parameters | |
| Subcarrier grouping | 16-tone |
| angle bit depth | 7 bits |
| angle bit depth | 9 bits |
| Wi-Fi MAC layer parameters | |
| Maximal duration of a frame sequence, | 5440 µs |
| Block ACK window size | 1024 |
| maximal packet loss ratio, | |
| Wi-Fi PHY layer parameters | |
| 16 | |
| 4 | |
| AP TX power | 20 dBm |
| STA TX power | 16 dBm |
| Noise level | −94 dBm for 20 MHz |
| Precoder | ZF |
| Equalizer | MMSE |
| Channel parameters | |
| Channel model | TGax Model-B |
| Bandwidth | 40 MHz |
| Central carrier frequency | 5.0 GHz |
| SNR to packet loss ratio model | NIST |
Disclaimer/Publisher’s Note: The statements, opinions and data contained in all publications are solely those of the individual author(s) and contributor(s) and not of MDPI and/or the editor(s). MDPI and/or the editor(s) disclaim responsibility for any injury to people or property resulting from any ideas, methods, instructions or products referred to in the content. |
© 2025 by the authors. Licensee MDPI, Basel, Switzerland. This article is an open access article distributed under the terms and conditions of the Creative Commons Attribution (CC BY) license (https://creativecommons.org/licenses/by/4.0/).
Share and Cite
Loginov, V.; Tutelian, S.; Startsev, I.; Khorov, E. Scalability of Wi-Fi Performance in Virtual Reality Scenarios. Sensors 2025, 25, 6338. https://doi.org/10.3390/s25206338
Loginov V, Tutelian S, Startsev I, Khorov E. Scalability of Wi-Fi Performance in Virtual Reality Scenarios. Sensors. 2025; 25(20):6338. https://doi.org/10.3390/s25206338
Chicago/Turabian StyleLoginov, Vyacheslav, Sergei Tutelian, Ivan Startsev, and Evgeny Khorov. 2025. "Scalability of Wi-Fi Performance in Virtual Reality Scenarios" Sensors 25, no. 20: 6338. https://doi.org/10.3390/s25206338
APA StyleLoginov, V., Tutelian, S., Startsev, I., & Khorov, E. (2025). Scalability of Wi-Fi Performance in Virtual Reality Scenarios. Sensors, 25(20), 6338. https://doi.org/10.3390/s25206338

