Compact High-Zoom-Ratio Mid-Wavelength Infrared Zoom Lens Design Based on Particle Swarm Optimization
Abstract
1. Introduction
2. Theories
2.1. Theoretical Analysis of Zoom Lens Systems
2.2. Particle Swarm Optimization (PSO) Algorithm
- Particle position: represents a candidate solution in the search space, D is the dimension of the particle;
- Particle velocity: determines the particle’s movement within the search space;
- Personal best: , the best position found by each particle individually.
3. Solving Process Based on Particle Swarm Optimization Algorithm
- Substitute the particles into the Gaussian optical equation and ; then, the image distance and magnification of each lens group can be obtained [9];
- Check whether each particle satisfies the physical constraints. The defined physical constraints, as shown in Equation (11), are designed to prevent collisions between the moving lens groups during the zooming process and to ensure that the zoom lens can achieve the desired imaging performance,If the above physical constraints are not satisfied, the particle can not be an alternative solution to the initial structure of the zoom lens, reinitialize it in the search domain.
- For particles that satisfy physical constraints, a zooming operation is performed as follows: the first three components of the particle remain unchanged, while the last three components are perturbed within their local neighborhoods. The corresponding displacements are then calculated and substituted into the procedures described in Equations (1)–(8) for further computation. If the result of a single zooming operation satisfies the conditions outlined in Equations (1)–(8), a feasible zoom structure for the current focal power is obtained. Since the zoom operation in this paper is based on trial and error, it may not necessarily meet the zoom requirements after a certain displacement of and , but this does not mean that the zoom lens cannot be realized under this set of optical power distribution. We set up 1000 trial opportunities to allow the particles to fully explore their adjacent domains under the current optical power, and set an appropriate error range . We believe that the results under this error can satisfy the subsequent lens design and offer possible solutions to a greater extent. If constraint two still cannot be met after more than 1000 trials, it can be determined that the current configuration no longer satisfy the zoom lens and can be re-initialized in the search domain. Additionally, if more than 20 feasible zoom structures are obtained, the particle and all associated structural information are saved as a candidate solution for the initial design of the zoom lens.
- After completing the second step, we can obtain the information of an alternative solution. In order to judge the merits of the alternative solution, we construct an evaluation function according to the needs of lens design: we need to achieve the maximum zoom ratio in a limited space, so we need to consider the total length and system zoom ratio; In the initial phase we want to reduce the Petzval field curvature of the system. Because of the need to observe distant objects, we want the system to have a long focal length. Thus, the specific evaluation function T is obtained [11,13], as shown in Equation (12), which is a minimization function. The smaller the value, the more the calculation results meet the design requirements,where L is the conjugate length of the zoom part, R is the zoom ratio of the lens, is the Petzval field curve of the lens calculated by , and is the focal length of the telephoto end of the lens calculated by . , , , and are the coefficient of each item, determine the proportion of each item in the evaluation.
- After evaluating each alternative solution, record the optimal value of each individual, as well as the group optimal value of the current population and its corresponding particle information, i.e., complete an iteration process.
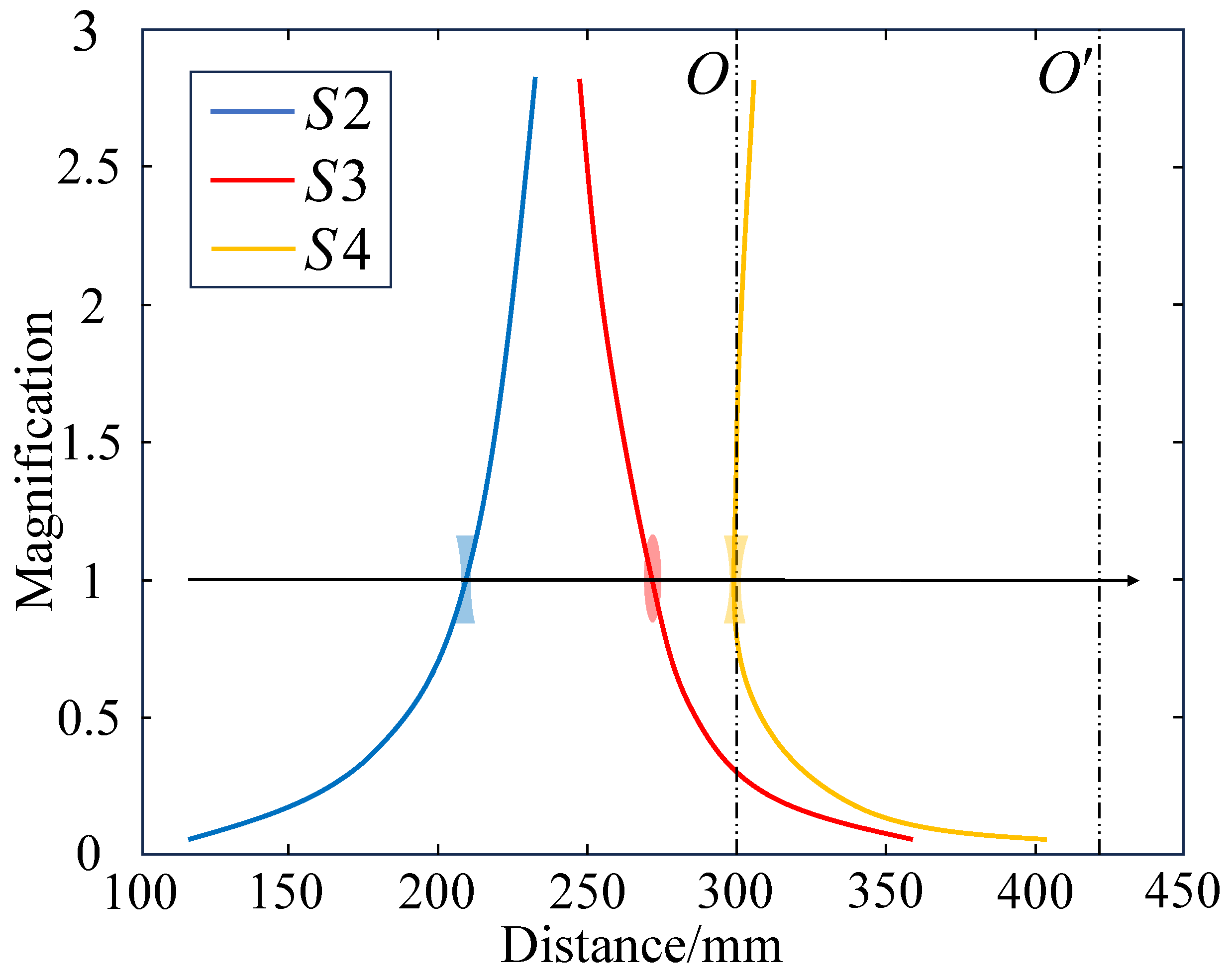
4. Verification: Mid-Wave Infrared Zoom Lens Design
5. Discussion
6. Conclusions
Author Contributions
Funding
Institutional Review Board Statement
Informed Consent Statement
Data Availability Statement
Acknowledgments
Conflicts of Interest
References
- Betensky, E. Zoom lens principles and types. In Lens Design: A Critical Review, Proceedings of the OE/LASE ’92, Los Angeles, CA, USA, 19–24 January 1992; SPIE: Bellingham, WA, USA, 1992; Volume 10263, pp. 90–118. [Google Scholar]
- Neil, I.A. Evolution of zoom lens optical design technology and manufacture. Opt. Eng. 2021, 60, 051211. [Google Scholar] [CrossRef]
- Sun, L.; Sheng, S.; Meng, W.; Wang, Y.; Ou, Q.; Pu, X. Design of spherical aberration free liquid-filled cylindrical zoom lenses over a wide focal length range based on ZEMAX. Opt. Express 2020, 28, 6806–6819. [Google Scholar] [CrossRef] [PubMed]
- Caldwell, J.B. Tracking zoom lens developments via the patent literature. In Zoom Lenses III, Proceedings of the International Symposium on Optical Science and Technology, San Diego, CA, USA, 29 July–3 August 2001; SPIE: Bellingham, WA, USA, 2001; Volume 4487, pp. 19–41. [Google Scholar]
- Jamieson, T.H. Thin-lens theory of zoom systems. Opt. Acta Int. J. Opt. 1970, 17, 565–584. [Google Scholar] [CrossRef]
- Tanaka, K. Paraxial analysis of mechanically compensated zoom lenses. 1: Four-component type. Appl. Opt. 1982, 21, 2174–2183. [Google Scholar] [CrossRef] [PubMed]
- Tanaka, K. Paraxial analysis of mechanically compensated zoom lenses. 2: Generalization of Yamaji type V. Appl. Opt. 1982, 21, 4045–4053. [Google Scholar] [CrossRef] [PubMed]
- Tanaka, K. Paraxial analysis of mechanically compensated zoom lenses. 3: Five-component type. Appl. Opt. 1983, 22, 541–553. [Google Scholar] [CrossRef] [PubMed]
- ChunKan, T. The varifocal equation for a zoom system. Kexue Tongbao 1977, 22, 207–213. [Google Scholar]
- Qin, H. Aberration correction of a single aspheric lens with particle swarm algorithm. Opt. Commun. 2012, 285, 2996–3000. [Google Scholar] [CrossRef]
- Fan, Z.; Wei, S.L.; Zhengbo, Z.; Yan, Y.; Ma, D. Globally optimal first-order design of zoom systems with fixed foci as well as high zoom ratio. Opt. Express 2019, 27, 38180–38190. [Google Scholar] [CrossRef] [PubMed]
- Fan, Z.; Wei, S.; Zhu, Z.; Mo, Y.; Yan, Y.; Ma, D. Automatically retrieving an initial design of a double-sided telecentric zoom lens based on a particle swarm optimization. Appl. Opt. 2019, 58, 7379–7386. [Google Scholar] [CrossRef] [PubMed]
- Yu, X.; Wang, H.; Yao, Y.; Tan, S.; Ding, Y. Automatic design of a mid-wavelength infrared dual-conjugate zoom system based on particle swarm optimization. Opt. Express 2021, 29, 14868. [Google Scholar] [CrossRef] [PubMed]
- Fan, C.; Yang, B.; Liu, Y.; Gu, P.; Zong, H. Zoom lens with high zoom ratio design based on Gaussian bracket and particle swarm optimization. Appl. Opt. 2021, 60, 3217–3223. [Google Scholar] [CrossRef] [PubMed]
- Yamaji, K. IV Design of zoom lenses. In Progress in Optics; Elsevier: Amsterdam, The Netherlands, 1967; Volume 6, pp. 105–170. [Google Scholar]
- Van Den Bergh, F. An Analysis of Particle Swarm Optimizers; University of Pretoria: Pretoria, South Africa, 2001. [Google Scholar]
- Park, S.C.; Shannon, R.R. Zoom lens design using lens modules. Opt. Eng. 1996, 35, 1668–1676. [Google Scholar] [CrossRef]







| Index | Parameter |
|---|---|
| band (nm) | 3700∼4800 |
| Sensor specifications | 640 × 512/15 m |
| F-Number | 4 |
| Focal range (mm) | 20∼1000 |
| Max Length (mm) | 530 |
| Iteration | Merit Function | |
|---|---|---|
| N = 200, iter = 100, , = 0.8, = 1.0 | (−0.1,−0.01), (0.0125,0.05), (−0.1,−0.01), (−300,−100), (150,250), (10,200) | = 0.02, = 400, = 200, = 3000 |
| Lens Group | Focal (mm) | Construction | Magnification |
|---|---|---|---|
| −35.490 | Wide | 0.0559 | |
| 49.572 | Mid | 1.5748 | |
| −97.285 | Tele | 2.8204 |
| Wide | 114.295 | 245.261 | 48.239 | 13.497 |
| Mid | 211.319 | 56.694 | 33.513 | 119.766 |
| Tele | 231.115 | 17.498 | 57.447 | 115.232 |
Disclaimer/Publisher’s Note: The statements, opinions and data contained in all publications are solely those of the individual author(s) and contributor(s) and not of MDPI and/or the editor(s). MDPI and/or the editor(s) disclaim responsibility for any injury to people or property resulting from any ideas, methods, instructions or products referred to in the content. |
© 2025 by the authors. Licensee MDPI, Basel, Switzerland. This article is an open access article distributed under the terms and conditions of the Creative Commons Attribution (CC BY) license (https://creativecommons.org/licenses/by/4.0/).
Share and Cite
Liu, Z.; Zhang, J.; Huang, Y.; Zhang, X.; Wu, H.; Zhang, J. Compact High-Zoom-Ratio Mid-Wavelength Infrared Zoom Lens Design Based on Particle Swarm Optimization. Sensors 2025, 25, 467. https://doi.org/10.3390/s25020467
Liu Z, Zhang J, Huang Y, Zhang X, Wu H, Zhang J. Compact High-Zoom-Ratio Mid-Wavelength Infrared Zoom Lens Design Based on Particle Swarm Optimization. Sensors. 2025; 25(2):467. https://doi.org/10.3390/s25020467
Chicago/Turabian StyleLiu, Zhenhao, Jipeng Zhang, Yuqi Huang, Xin Zhang, Hongbo Wu, and Jianping Zhang. 2025. "Compact High-Zoom-Ratio Mid-Wavelength Infrared Zoom Lens Design Based on Particle Swarm Optimization" Sensors 25, no. 2: 467. https://doi.org/10.3390/s25020467
APA StyleLiu, Z., Zhang, J., Huang, Y., Zhang, X., Wu, H., & Zhang, J. (2025). Compact High-Zoom-Ratio Mid-Wavelength Infrared Zoom Lens Design Based on Particle Swarm Optimization. Sensors, 25(2), 467. https://doi.org/10.3390/s25020467

