Robot-Assisted Mirror Rehabilitation for Post-Stroke Upper Limbs: A Personalized Control Strategy
Abstract
1. Introduction
- The unaffected limb’s exoskeleton captures kinematic features in real time.
- These kinematic features are fused with the temporal activation patterns of sEMG signals from the affected limb using a cross-attention network.
- The network dynamically generates synergistic control parameters for mirror rehabilitation tasks.
- The DMP algorithm decouples the spatiotemporal features of the healthy limb’s trajectory to generate an adaptable rehabilitation trajectory for the affected limb.
- A compliant control strategy under dynamic constraints is designed to accommodate individual differences in motor dysfunction, enabling dynamic compensation for abnormal postures while ensuring that joint torques remain within safe limits.
2. Materials and Methods
2.1. DMPs
2.2. Dynamic Mirror Ratio Controller
- (stiffness) decreases, requiring the patient to actively exert force to overcome positional deviations, thereby promoting neuroplasticity.
- Simultaneously, (damping) increases, suppressing the exoskeleton’s motion speed to prevent tremors or uncontrolled acceleration caused by insufficient muscle strength.
2.2.1. Dual-Stream Encoding Architecture
- Misalignment between continuous kinematics and impulsive sEMG features in latent space;
- Redundant parameter allocation across modalities, increasing training complexity.
2.2.2. Cross-Modal Attention Fusion Mechanism
2.3. Control System and Algorithm
2.3.1. Trajectory Planning
- Bimanual trajectory planning based on human symmetry plane: This transfers the unaffected limb’s motion to the affected limb through mirroring. The exoskeleton drives the affected limb to perform symmetric movements relative to the unaffected limb.
- Bimanual asymmetric task trajectory planning: This engages the affected limb’s motor participation for better generalization to daily activities.
- Minimize the position tracking error between the ideal and actual trajectories;
- Ensure smooth joint motor angles, velocities, and accelerations to prevent secondary injury;
- Adapt to individual anatomical differences and varying rehabilitation-stage mobility ranges.
2.3.2. Algorithm
2.3.3. Offline Training
2.3.4. Admittance Control
2.4. Experiment
2.4.1. Experiment Setup
2.4.2. Hardware
2.4.3. Multimodal Dataset
3. Results
4. Discussion
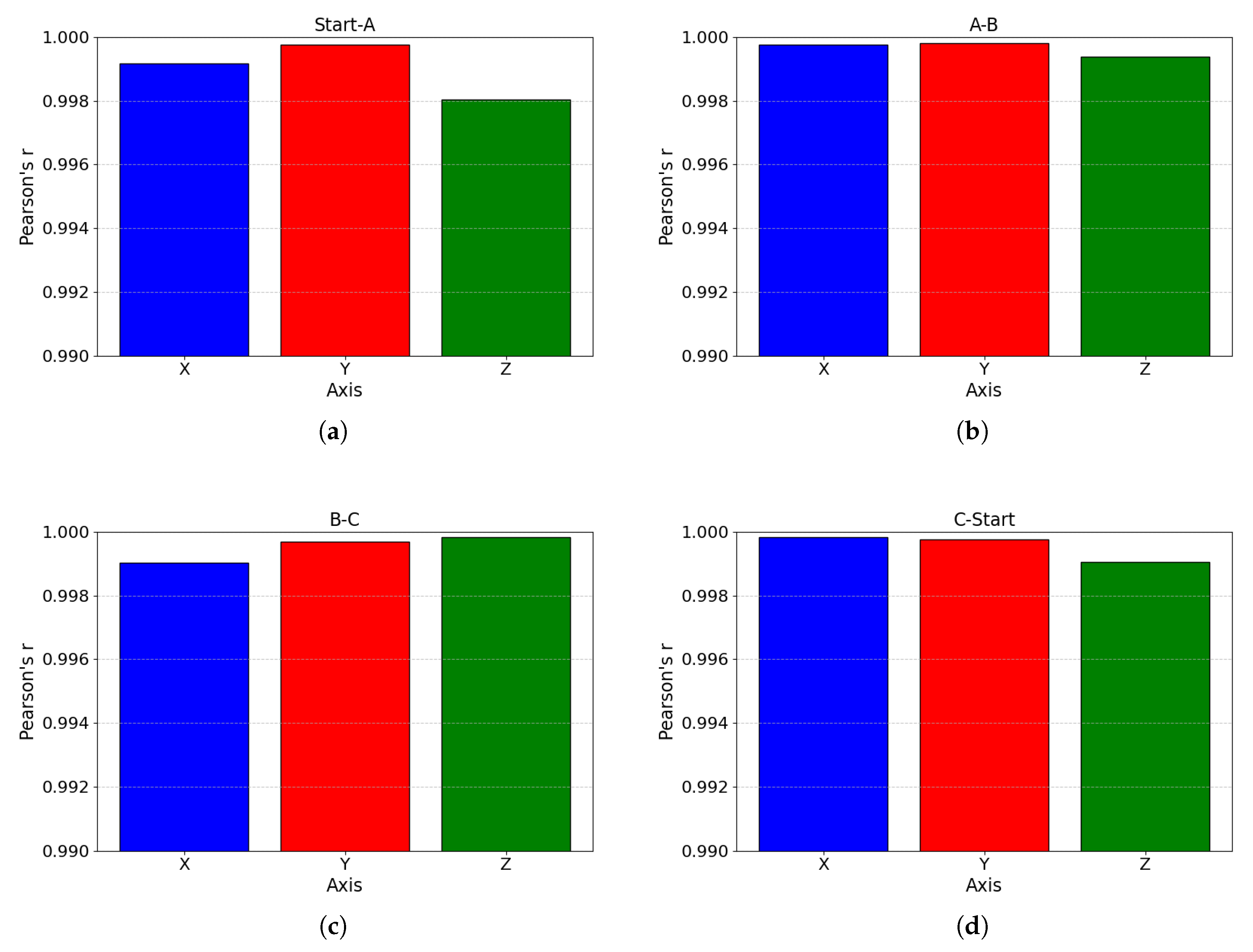
- Trajectory Start–A: Symmetry index (SI) median = 0.97 (range: 0.93–1.00), with the data concentrated between 0.95 and 1.00.
- Trajectory A–B: SI median = 0.99 (range: 0.87–1.00), showing dispersed distribution and outliers, indicating mild mirroring asymmetry. However, the SI values remain close to 0.90, suggesting minimal trajectory fluctuations.
- Trajectory B–C: SI median = 0.97 (range: 0.88–1.00), with distribution patterns similar to those of trajectory A–B but with greater dispersion.
- Trajectory C–Start: SI median = 0.98 (range: 0.92–1.00).


5. Conclusions
Author Contributions
Funding
Institutional Review Board Statement
Informed Consent Statement
Data Availability Statement
Conflicts of Interest
Abbreviations
| DMPs | Dynamic Movement Primitives |
| sEMG | Surface Electromyography |
| DOF | Degree of Freedom |
| CNN | Convolutional Neural Network |
| GRU | Gated Recurrent Unit |
| RMS | Root Mean Square |
References
- Miyabara, H.; Takesita, J. Motor Abilities in Patients with Osteoarthritis of the Spine and Hemiplegia after Stroke. Rigakuryoho Kagaku 2005, 20, 325–328. [Google Scholar] [CrossRef]
- Cieza, A.; Causey, K.; Kamenov, K.; Hanson, S.W.; Chatterji, S.; Vos, T. Global estimates of the need for rehabilitation based on the Global Burden of Disease study 2019: A systematic analysis for the Global Burden of Disease Study 2019. Lancet 2021, 397, 2006–2017. [Google Scholar] [CrossRef] [PubMed]
- Noronha, B.; Ng, C.Y.; Little, K.; Xiloyannis, M.; Kuah, C.W.K.; Wee, S.K.; Kulkarni, S.R.; Masia, L.; Chua, K.S.G. Soft, Lightweight Wearable Robots to Support the Upper Limb in Activities of Daily Living: A Feasibility Study on Chronic Stroke Patients. IEEE Trans. Neural Syst. Rehabil. Eng. 2022, 30, 1401–1411. [Google Scholar] [CrossRef]
- Sainburg, R.L.; Good, D.; Przybyla, A. Bilateral Synergy: A Framework for Post-Stroke Rehabilitation. J. Neurol. Transl. Neurosci. 2013, 1, 1025. [Google Scholar]
- Cauraugh, J.H.; Summers, J.J. Neural plasticity and bilateral movements: A rehabilitation approach for chronic stroke. Prog. Neurobiol. 2005, 75, 309–320. [Google Scholar] [CrossRef]
- Nojima, I.; Mima, T.; Koganemaru, S.; Thabit, M.N.; Fukuyama, H.; Kawamata, T. Human motor plasticity induced by mirror visual feedback. J. Neurosci. 2012, 32, 1293–1300. [Google Scholar] [CrossRef]
- Stippich, C.; Ochmann, H.; Sartor, K. Somatotopic mapping of the human primary sensorimotor cortex during motor imagery and motor execution by functional magnetic resonance imaging. Neurosci. Lett. 2002, 331, 50–54. [Google Scholar] [CrossRef]
- Germanotta, M.; Cortellini, L.; Insalaco, S.; Aprile, I. Effects of Upper Limb Robot-Assisted Rehabilitation Compared with conventional therapy in patients with stroke: Preliminary results on a Daily Task Assessed using motion analysis. Sensors 2023, 23, 3089. [Google Scholar] [CrossRef]
- Fei, S.; Sun, Q.; Zhang, Y.; Cai, H.; Guo, S.; Li, X. Performance-based Assistance Control for Upper Limb Robotic Mirror Therapy. J. Bionic Eng. 2024, 21, 2291–2301. [Google Scholar] [CrossRef]
- Klinkwan, P.; Kongmaroeng, C.; Muengtaweepongsa, S.; Limtrakarn, W. The effectiveness of mirror therapy to upper extremity rehabilitation in acute stroke patients. Appl. Sci. Eng. Prog. 2021, 5, 45–53. [Google Scholar]
- Beom, J.; Koh, S.; Nam, H.S.; Kim, W.; Kim, Y.; Seo, H.G.; Oh, B.M.; Chung, S.G.; Kim, S. Robotic Mirror Therapy System for Functional Recovery of Hemiplegic Arms. J. Vis. Exp. 2016, 114, e54521. [Google Scholar]
- Shakeriaski, F.; Mohammadian, M. Enhancing Upper Limb Exoskeletons Using Sensor-Based Deep Learning Torque Prediction and PID Control. Sensors 2025, 25, 3528. [Google Scholar] [CrossRef]
- Nasr, A.; Dickerson, C.R.; McPhee, J. Experimental Study of Fully Passive, Fully Active, and Active–Passive Upper-Limb Exoskeleton Efficiency: An Assessment of Lifting Tasks. Sensors 2024, 24, 63. [Google Scholar] [CrossRef]
- Zhang, K.; Chen, X.; Liu, F.; Tang, H.; Wang, J.; Wen, W. System framework of robotics in upper limb rehabilitation on poststroke motor recovery. Behav. Neurol. 2018, 2018, 6737056. [Google Scholar] [CrossRef]
- Chang, J.; Tung, W.L.; Wu, W.L.; Huang, M.H.; Su, F.C. Effects of robot-aided bilateral force-induced isokinetic arm training combined with conventional rehabilitation on arm motor function in patients with chronic stroke. Arch. Phys. Med. Rehabil. 2007, 88, 1332–1338. [Google Scholar] [PubMed]
- Lum, P.S.; Burgar, C.G.; Shor, P.C. Use of the MIME robotic system to retrain multi joint reaching in poststroke hemiparesis: Why some movement patterns work better than others. In Proceedings of the 25th Annual International Conference of the IEEE Engineering in Medicine and Biology Society, Cancún, Mexico, 17–21 September 2003; pp. 511–514. [Google Scholar]
- Zhang, S.; Guan, X.; Ye, J.; Chen, G.; Zhang, Z.; Leng, Y. Gait deviation correction method for gait rehabilitation with a lower limb exoskeleton robot. IEEE Trans. Med. Robot. Bionics. 2022, 4, 754–763. [Google Scholar] [CrossRef]
- Zhang, S.; Fan, L.; Ye, J.; Chen, G.; Fu, C.; Leng, Y. An intelligent rehabilitation assessment method for stroke patients based on lower limb exoskeleton robot. IEEE Trans. Neural Syst. Rehabil. Eng. 2023, 31, 3106–3117. [Google Scholar] [CrossRef] [PubMed]
- Zhang, S.; Zhang, Y.; Luan, M.; Peng, A.; Ye, J.; Chen, G.; Fu, C.; Leng, Y.; Wu, X. Generation & clinical validation of individualized gait trajectory for stroke patients based on lower limb exoskeleton robot. IEEE Trans. Autom. Sci. Eng. 2025, 22, 6463–6474. [Google Scholar]
- Kim, H.; Miller, L.; Fedulow, I.; Simkins, M.; Abrams, G.M.; Byl, N.; Rosen, J. Kinematic Data Analysis for Post-Stroke Patients Following Bilateral Versus Unilateral Rehabilitation With an Upper Limb Wearable Robotic System. IEEE Trans. Neural Syst. Rehabil. Eng. 2013, 21, 153–164. [Google Scholar] [CrossRef]
- Wang, X.; Li, X.; Wang, J.; Luo, T. A Kinect-Based Trajectory Capturing and Tracking Scheme for Upper-Limb Robot-Aided Rehabilitation; CYBER: Honolulu, HI, USA, 2017; pp. 249–254. [Google Scholar]
- Liu, T.-H.; Chein, C.-H.; Hsu, H.-Y.; Lin, C.-W. EEG-Based Assessment of Bilateral Brain Activation Comparison and Hand Functional Improvement Using Virtual Reality Mirror Therapy Combined with Robot-Assisted Upper Limb Intervention; i-CREATe: Shanghai, China, 2024; pp. 1–6. [Google Scholar]
- Wang, W.-W.; Fu, L.-C. Mirror therapy with an exoskeleton upper-limb robot based on IMU measurement system. In Proceedings of the 2011 IEEE International Symposium on Medical Measurements and Applications, Bari, Italy, 30–31 May 2011; pp. 370–375. [Google Scholar]
- Lin, H.; Cheng, X.; Wu, X.; Shen, D. CAT: Cross Attention in Vision Transformer. In Proceedings of the 2022 IEEE International Conference on Multimedia and Expo (ICME), Taipei, Taiwan, 18–22 July 2022; pp. 1–6. [Google Scholar]
- Legg, L.A.; Lewis, S.R.; Schofield-Robinson, O.J.; Drummond, A.; Langhorne, P. Occupational therapy for adults with problems in activities of daily living after stroke. Cochrane Database Syst. Rev. 2017, 7, CD003585. [Google Scholar] [CrossRef]
- Ijspeert, A.J.; Nakanishi, J.; Hoffmann, H.; Pastor, P.; Schaal, S. Dynamical Movement Primitives: Learning Attractor Models for Motor Behaviors. Neural Comput. 2013, 25, 328–373. [Google Scholar]
- Gams, A.; Petrič, T. Adapting periodic motion primitives to external feedback: Modulating and changing the motion. In Proceedings of the 23rd International Conference on Robotics in the Alpe-Adria-Danube Region (RAAD), Smolenice, Slovakia, 3–5 September 2014; pp. 1–6. [Google Scholar]
- Xu, J.; Xu, L.; Ji, A.; Li, Y.; Cao, K. A DMP-Based Motion Generation Scheme for Robotic Mirror Therapy. IEEE/ASME Trans. Mechatron. 2023, 28, 3120–3131. [Google Scholar]
- Sul, J.-H.; Piyathilaka, L.; Moratuwage, D.; Dunu Arachchige, S.; Jayawardena, A.; Kahawa, G.; Preethichra, D.M.G. Electromyography Signal Acquisition, Filtering, and Data Analysis for Exoskeleton Development. Sensors 2025, 25, 4004. [Google Scholar] [CrossRef]
- Zangene, A.R.; Abbasi, A.; Nazarpour, K. Estimation of Lower Limb Kinematics during Squat Task in Different Loading Using sEMG Activity and Deep Recurrent Neural Networks. Sensors 2021, 21, 7773. [Google Scholar] [CrossRef]
- Pei, D.; Olikkal, P.; Adali, T.; Vinjamuri, R. Reconstructing Synergy-Based Hand Grasp Kinematics from Electroencephalographic Signals. Sensors 2022, 22, 5349. [Google Scholar] [CrossRef]
- Othman, A.D.; Zakaria, N.A.C.; Hashim, N.M.; Mohamaddan, S. Post-Stroke Rehabilitation Using Exoskeleton Approach in Mirror Therapy Technique. In Human Factors and Ergonomics Toward an Inclusive Sustainable Future; Ng, Y.G., Daruis, D.D., Abdul Wahat, N.W., Eds.; Springer: Berlin/Heidelberg, Germany, 2024; Volume 46, pp. 123–136. [Google Scholar]
- Ait Yous, M.; Agounad, S.; Elbaz, S. Detection, Identification and Removal of Artifacts from sEMG Signals: Current Studies and Future Challenges. Comput. Biol. Med. 2025, 186, 109651. [Google Scholar] [CrossRef]
- McKenzie, L.R.; Pretty, C.G.; Fortune, B.C.; Chatfield, L.T. Low-cost stimulation resistant electromyography. HardwareX 2021, 9, e00178. [Google Scholar] [CrossRef] [PubMed]
- Vaswani, A.; Shazeer, N.M.; Parmar, N.; Uszkoreit, J.; Jones, L.; Gomez, A.N.; Kaiser, Ł.; Polosukhin, I. Attention is All you Need. Adv. Neural. Inf. Process. Syst. 2017, 30, 6000–6010. [Google Scholar]
- Ghosh, A.; Sufian, A.; Sultana, F.; Chakrabarti, A.; De, D. Fundamental Concepts of Convolutional Neural Network. In Recent Trends and Advances in Artificial Intelligence and Internet of Things; Balas, V., Kumar, R., Srivastava, R., Eds.; Springer: Cham, Switzerland, 2020; Volume 172. [Google Scholar]
- Rana, R. Gated Recurrent Unit (GRU) for Emotion Classification from Noisy Speech. arXiv 2016, arXiv:1612.07778. [Google Scholar] [CrossRef]
- Chen, Z.; Zhang, B. Application of Multimodal Deep Learning Algorithm in Image and Text Fusion Recognition. In Proceedings of the 2025 IEEE 5th International Conference on Power, Electronics and Computer Applications (ICPECA), Shenyang, China, 17–19 January 2025; pp. 599–604. [Google Scholar]
- Srivastava, A.P.; Gupta, P.; Raj, V.H.; Gupta, M.; Khare, N.; Almusawi, M. Bridging the Gap Between Modalities with Cross-Modal Generative AI and Large Model. In Proceedings of the 2024 IEEE 13th International Conference on Communication Systems and Network Technologies (CSNT), Jabalpur, India, 6–7 April 2024; pp. 965–971. [Google Scholar]
- Chen, J.C.; Shaw, F.Z. Recent progress in physical therapy of the upper-limb rehabilitation after stroke: Emphasis on thermal intervention. J. Cardiovasc. Nurs. 2006, 21, 469–473. [Google Scholar] [CrossRef]






| Joint Module | DOF Type | Peak Torque | Adjustment Mechanism |
|---|---|---|---|
| Shoulder girdle | 1 Active DOF | 40 Nm | / |
| Shoulder complex | 3 Active DOFs | 27 Nm | Linear slider |
| Elbow joint | 1 Active DOF | 27 Nm | Telescopic sleeve |
| Wrist joint complex | 2 Passive DOFs | / | Telescopic sleeve |
Disclaimer/Publisher’s Note: The statements, opinions and data contained in all publications are solely those of the individual author(s) and contributor(s) and not of MDPI and/or the editor(s). MDPI and/or the editor(s) disclaim responsibility for any injury to people or property resulting from any ideas, methods, instructions or products referred to in the content. |
© 2025 by the authors. Licensee MDPI, Basel, Switzerland. This article is an open access article distributed under the terms and conditions of the Creative Commons Attribution (CC BY) license (https://creativecommons.org/licenses/by/4.0/).
Share and Cite
Chen, J.; Cheng, Z.; Cai, Y.; Zhang, S.; Zhu, C.; Zhang, Y. Robot-Assisted Mirror Rehabilitation for Post-Stroke Upper Limbs: A Personalized Control Strategy. Sensors 2025, 25, 5659. https://doi.org/10.3390/s25185659
Chen J, Cheng Z, Cai Y, Zhang S, Zhu C, Zhang Y. Robot-Assisted Mirror Rehabilitation for Post-Stroke Upper Limbs: A Personalized Control Strategy. Sensors. 2025; 25(18):5659. https://doi.org/10.3390/s25185659
Chicago/Turabian StyleChen, Jiayue, Zhongjiang Cheng, Yutong Cai, Shisheng Zhang, Chi Zhu, and Yang Zhang. 2025. "Robot-Assisted Mirror Rehabilitation for Post-Stroke Upper Limbs: A Personalized Control Strategy" Sensors 25, no. 18: 5659. https://doi.org/10.3390/s25185659
APA StyleChen, J., Cheng, Z., Cai, Y., Zhang, S., Zhu, C., & Zhang, Y. (2025). Robot-Assisted Mirror Rehabilitation for Post-Stroke Upper Limbs: A Personalized Control Strategy. Sensors, 25(18), 5659. https://doi.org/10.3390/s25185659

