Towards Tamper-Proof Trust Evaluation of Internet of Things Nodes Leveraging IOTA Ledger
Abstract
1. Introduction
- Development of a decentralized trust evaluation framework utilizing IOTA technology to mitigate risks associated with centralized trust evaluation methods, such as single points of failure and privacy breaches.
- Incorporation of IOTA-based trust metrics, which evaluate a node’s activity in creating and validating transactions on the Tangle. This enhances the accuracy and resilience of trust computation.
- Implementation of secure and immutable storage for trust scores, ensuring data integrity and confidentiality.
2. Literature Review
2.1. Direct and Indirect Metrics for Trust Assessment
2.2. Centralized and Semi-Centralized Trust Evaluation Methods
2.3. Decentralized Trust Management Algorithms
3. Network Model
Adversary Model
- Sybil Attack: Malicious entities create multiple fake identities (Sybil nodes) to overwhelm the network, manipulate trust scores, and gain an unfair advantage. This leads to trust dilution and misleading reputation values.
- Self-Promotion Attack: A malicious node falsely increases its own trust score by injecting fake transactions or repeatedly reattaching its own transactions to the Tangle. This can compromise decision-making in the trust evaluation process.
- Bad-Mouthing Attack: Malicious nodes deliberately assign low trust scores to legitimate nodes to reduce their reputation and cause network disruption. This can result in honest nodes being falsely labeled as untrustworthy.
- Collusion Attack: A group of compromised nodes coordinate to unfairly boost each other’s trust scores while degrading others. This introduces bias in trust evaluation and allows attackers to manipulate network behavior.
- Resource Depletion Attack (DoS on Trust Evaluation): Attackers attempt to overload the trust evaluation process by flooding the network with excessive transaction verification requests. This increases computation and communication costs.
4. Proposed Methodology
4.1. Node Reliability
4.1.1. Communication Consistency
4.1.2. Bit Error Rate (BER)
4.1.3. Reliability Score
4.2. Quality of Service Measures
4.2.1. Latency
4.2.2. Throughput
4.2.3. Jitter
4.2.4. QoS Score
- : Given the highest weight since low latency is critical for real-time communication and network responsiveness.
- : Moderately weighted because higher throughput improves performance but is not as critical as latency in determining reliability.
- : Given the lowest weight since minor fluctuations in delay do not significantly impact trust unless excessive. While jitter reflects variation in packet delivery time, it is less critical in some applications of IoT. Accordingly, the weight assigned to jitter is the smallest value.
4.3. Importance of a Node
4.4. IOTA-Based Trust
4.4.1. Transaction Confirmation Rate
4.4.2. Cumulative Weight Contribution
4.4.3. Reattachment Frequency
4.4.4. Cumulative Transaction Contribution
4.4.5. IOTA-Based Trust Score (ITS)
- : Since transaction confirmation rate is a direct indicator of a node’s reliability in handling transactions, it is given the highest weight.
- : Cumulative weight contribution reflects the node’s role in transaction validation and propagation, making it the second most important factor.
- : Reattachment frequency is assigned a moderate weight to discourage excessive reattachments, which may indicate unreliability or malicious behavior.
- : Cumulative transaction contribution is given the lowest weight, as transaction volume alone does not necessarily equate to trustworthiness.
4.5. Trustworthiness Evaluation
| Algorithm 1: Optimized Trustworthiness Evaluation |
|
- represents the normalized score of each metric.
- denotes the weight assigned to each metric, reflecting its importance in the overall assessment of trustworthiness.
- The exponential function is applied to each score, enhancing the distinction between varying performance levels.
| Algorithm 2: Consensus Mechanism for Trust Scores |
|
4.6. Distributed Storage of Trust Values
- Transaction Creation:
- Encoding the agreed trust score data into a suitable format for IOTA transactions. This ensures that the data payload adheres to the protocol’s requirements.
- Creating a transaction object in the IOTA SDK to embed the encoded trust score data into the transaction message.
- Attaching the metadata about the respective node to the transaction to facilitate easy retrieval and identification.
- Transaction Submission:
- Submitting the transaction to the IOTA network via the IOTA SDK client.
- Monitoring the network response to ensure that the transaction is successfully broadcasted and confirmed by the network.
- Verification and Confirmation:
- Verifying the transaction status using the transaction ID provided by the IOTA network.
- Confirming the immutability of the trust score data by ensuring it is included in a milestone, making it a permanent part of the IOTA ledger.
- Broadcasting and Retrieval:
- Broadcasting the transaction ID to the stored trust score to all nodes within the network.
- Nodes can retrieve and verify the trust score directly from the IOTA ledger using the provided transaction ID, ensuring transparency and trust in the stored trust data.
5. Results and Discussion
5.1. Simulation Setup
5.2. Sensitivity Analysis
5.3. IOTA Block Generation and Retrieval Costs
FTS Computation Cost
5.4. Performance Comparison
5.4.1. Malicious Node Detection Accuracy
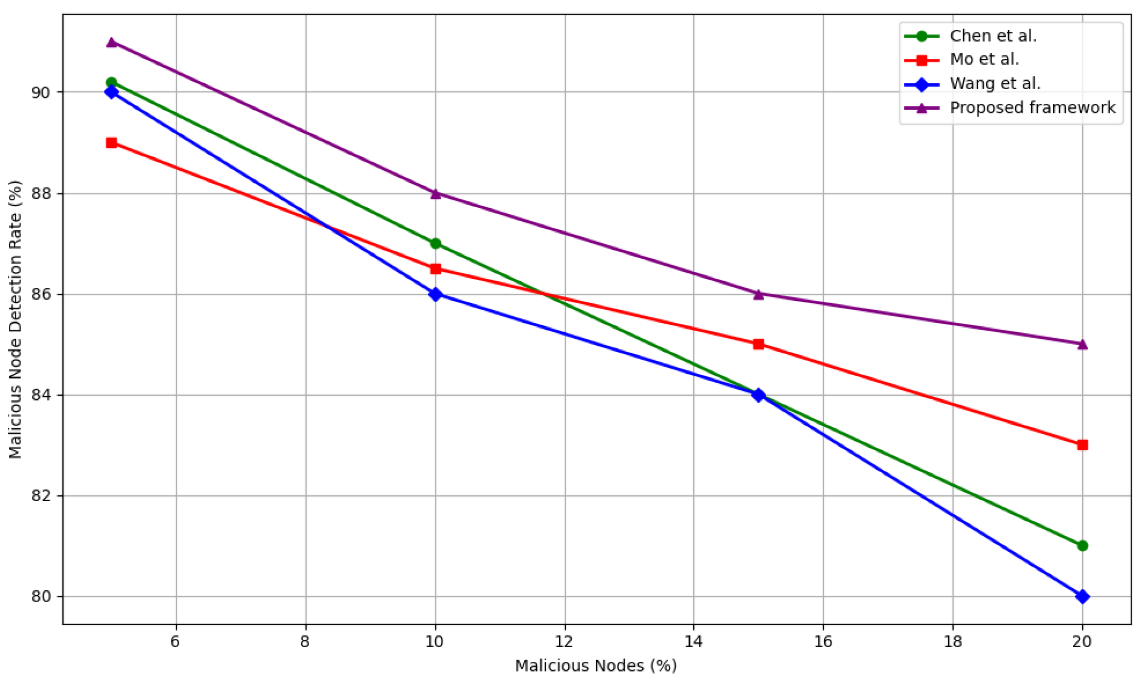
5.4.2. Malicious Node Detection vs. Adversarial Density
5.4.3. Throughput Scalability with Network Size
5.4.4. Energy Consumption Analysis
5.4.5. End-to-End Delay Analysis
5.5. Informal Security Analysis
5.5.1. Sybil Attack
5.5.2. Self-Promotion Attack
5.5.3. Bad-Mouthing Attack
5.5.4. Collusion Attack
5.5.5. Resource Depletion Attack
6. Conclusions
Author Contributions
Funding
Institutional Review Board Statement
Informed Consent Statement
Data Availability Statement
Conflicts of Interest
References
- Ullah, F.; Salam, A.; Amin, F.; Khan, I.A.; Ahmed, J.; Zaib, S.A.; Choi, G.S. Deep trust: A novel framework for dynamic trust and reputation management in the internet of things (iot) based networks. IEEE Access 2024, 21, 87407–87419. [Google Scholar] [CrossRef]
- Minani, J.B.; Sabir, F.; Moha, N.; Guéhéneuc, Y.G. A systematic review of IoT systems testing: Objectives, approaches, tools, and challenges. IEEE Trans. Softw. Eng. 2024, 50, 785–815. [Google Scholar] [CrossRef]
- Souri, A.; Zhao, Y.; Gao, M.; Mohammadian, A.; Shen, J.; Al-Masri, E. A trust-aware and authentication-based collaborative method for resource management of cloud-edge computing in social internet of things. IEEE Trans. Comput. Soc. Syst. 2023, 11, 4899–4908. [Google Scholar] [CrossRef]
- Illi, E.; Qaraqe, M.; Althunibat, S.; Alhasanat, A.; Alsafasfeh, M.; de Ree, M.; Mantas, G.; Rodriguez, J.; Aman, W.; Al-Kuwari, S. Physical layer security for authentication, confidentiality, and malicious node detection: A paradigm shift in securing IoT networks. IEEE Commun. Surv. Tutor. 2023, 26, 347–388. [Google Scholar] [CrossRef]
- Becherer, M.; Hussain, O.K.; Zhang, Y.; den Hartog, F.; Chang, E. On trust recommendations in the social internet of things—A survey. ACM Comput. Surv. 2024, 56, 1–35. [Google Scholar] [CrossRef]
- Zhao, Y.; Qu, Y.; Xiang, Y.; Zhang, Y.; Gao, L. A lightweight model-based evolutionary consensus protocol in blockchain as a service for IoT. IEEE Trans. Serv. Comput. 2023, 16, 2343–2358. [Google Scholar] [CrossRef]
- Wang, C.; Wang, D.; Duan, Y.; Tao, X. Secure and lightweight user authentication scheme for cloud-assisted internet of things. IEEE Trans. Inf. Forensics Secur. 2023, 18, 2961–2976. [Google Scholar] [CrossRef]
- Gangwani, P.; Perez-Pons, A.; Upadhyay, H. Evaluating trust management frameworks for wireless sensor networks. Sensors 2024, 24, 2852. [Google Scholar] [CrossRef]
- Awan, K.A.; Din, I.U.; Zareei, M.; Almogren, A.; Seo-Kim, B.; Pérez-Díaz, J.A. Securing iot with deep federated learning: A trust-based malicious node identification approach. IEEE Access 2023, 11, 58901–58914. [Google Scholar] [CrossRef]
- Wu, X.; Liu, Y.; Tian, J.; Li, Y. Privacy-preserving trust management method based on blockchain for cross-domain industrial IoT. Knowl.-Based Syst. 2024, 283, 111166. [Google Scholar] [CrossRef]
- Sagar, S.; Mahmood, A.; Sheng, Q.Z.; Zaib, M.; Sufyan, F. Can we quantify trust? Towards a trust-based resilient SIoT network. Computing 2024, 106, 557–577. [Google Scholar] [CrossRef]
- Almarri, S.; Aljughaiman, A. Blockchain technology for IoT security and trust: A comprehensive SLR. Sustainability 2024, 16, 10177. [Google Scholar] [CrossRef]
- Alalwany, E.; Mahgoub, I. Security and trust management in the internet of vehicles (IoV): Challenges and machine learning solutions. Sensors 2024, 24, 368. [Google Scholar] [CrossRef] [PubMed]
- Iftikhar, Z.; Javed, Y.; Zaidi, S.Y.A.; Shah, M.A.; Iqbal Khan, Z.; Mussadiq, S.; Abbasi, K. Privacy preservation in resource-constrained IoT devices using blockchain—A survey. Electronics 2021, 10, 1732. [Google Scholar] [CrossRef]
- Panda, S.S.; Jena, D.; Mohanta, B.K.; Ramasubbareddy, S.; Daneshmand, M.; Gandomi, A. Authentication and Key Management in Distributed IoT Using Blockchain Technology. IEEE Internet Things J. 2021, 8, 12947–12954. [Google Scholar] [CrossRef]
- Karale, A. The Challenges of IoT Addressing Security, Ethics, Privacy, and Laws. Internet Things 2021, 15, 100420. [Google Scholar] [CrossRef]
- Liu, Y.; Hao, X.; Ren, W.; Xiong, R.; Zhu, T.; Choo, K.; Min, G. A Blockchain-Based Decentralized, Fair and Authenticated Information Sharing Scheme in Zero Trust Internet-of-Things. IEEE Trans. Comput. 2023, 72, 501–512. [Google Scholar] [CrossRef]
- Wei, L.; Yang, Y.; Wu, J.; Long, C.; Li, B. Trust Management for Internet of Things: A Comprehensive Study. IEEE Internet Things J. 2022, 9, 7664–7679. [Google Scholar] [CrossRef]
- Sagar, S.; Mahmood, A.; Sheng, Q.Z.; Zhang, W.E.; Zhang, Y.; Pabani, J.K. Understanding the trustworthiness management in the social internet of things: A survey. Comput. Netw. 2024, 251, 110611. [Google Scholar] [CrossRef]
- Iftikhar, Z.; Anjum, A.; Khan, A.; Shah, M.A.; Jeon, G. Privacy preservation in the internet of vehicles using local differential privacy and IOTA ledger. Clust. Comput. 2023, 26, 3361–3377. [Google Scholar] [CrossRef]
- Altaf, A.; Abbas, H.; Iqbal, F.; Khan, F.A.; Rubab, S.; Derhab, A. Context-oriented trust computation model for industrial Internet of Things. Comput. Electr. Eng. 2021, 92, 107123. [Google Scholar] [CrossRef]
- Guo, J.; Liu, A.; Ota, K.; Dong, M.; Deng, X.; Xiong, N.N. ITCN: An Intelligent Trust Collaboration Network System in IoT. IEEE Trans. Netw. Sci. Eng. 2022, 9, 203–218. [Google Scholar] [CrossRef]
- Djedjig, N.; Tandjaoui, D.; Medjek, F.; Romdhani, I. Trust-aware and cooperative routing protocol for IoT security. J. Inf. Secur. Appl. 2020, 52, 102467. [Google Scholar] [CrossRef]
- Dass, P.; Misra, S.; Roy, C. T-Safe: Trustworthy Service Provisioning for IoT-Based Intelligent Transport Systems. IEEE Trans. Veh. Technol. 2020, 69, 9509–9517. [Google Scholar] [CrossRef]
- Liu, Y.; Zhang, C.; Yan, Y.; Zhou, X.; Tian, Z.; Zhang, J. A Semi-Centralized Trust Management Model Based on Blockchain for Data Exchange in IoT System. IEEE Trans. Serv. Comput. 2023, 16, 858–871. [Google Scholar] [CrossRef]
- Boudagdigue, C.; Benslimane, A.; Kobbane, A.; Liu, J. Trust Management in Industrial Internet of Things. IEEE Trans. Inf. Forensics Secur. 2020, 15, 3667–3682. [Google Scholar] [CrossRef]
- Wu, D.; Ansari, N. A trust-evaluation-enhanced blockchain-secured industrial IoT system. IEEE Internet Things J. 2020, 8, 5510–5517. [Google Scholar] [CrossRef]
- Chen, Z.; Chen, X.; Li, Y. Performance and Security Analysis of Distributed Ledger Under the Internet of Things Environments With Network Instability. IEEE Internet Things J. 2023, 10, 4213–4225. [Google Scholar] [CrossRef]
- Huang, S.; Liu, A.; Zhang, S.; Wang, T.; Xiong, N.N. BD-VTE: A Novel Baseline Data Based Verifiable Trust Evaluation Scheme for Smart Network Systems. IEEE Trans. Netw. Sci. Eng. 2021, 8, 2087–2105. [Google Scholar] [CrossRef]
- Al-Shamaileh, M.; Anthony, P.; Charters, S. Agent-Based Trust and Reputation Model in Smart IoT Environments. Technologies 2024, 12, 208. [Google Scholar] [CrossRef]
- Jiang, J.; Zhu, X.; Han, G.; Guizani, M.; Shu, L. A Dynamic Trust Evaluation and Update Mechanism Based on C4.5 Decision Tree in Underwater Wireless Sensor Networks. IEEE Trans. Veh. Technol. 2020, 69, 9031–9040. [Google Scholar] [CrossRef]
- Ud Din, I.; Bano, A.; Awan, K.A.; Almogren, A.; Altameem, A.; Guizani, M. LightTrust: Lightweight Trust Management for Edge Devices in Industrial Internet of Things. IEEE Internet Things J. 2023, 10, 2776–2783. [Google Scholar] [CrossRef]
- Wang, T.; Wang, P.; Cai, S.; Zheng, X.; Ma, Y.; Jia, W.; Wang, G. Mobile edge-enabled trust evaluation for the Internet of Things. Inf. Fusion 2021, 75, 90–100. [Google Scholar] [CrossRef]
- Kouicem, D.E.; Imine, Y.; Bouabdallah, A.; Lakhlef, H. Decentralized Blockchain-Based Trust Management Protocol for the Internet of Things. IEEE Trans. Dependable Secur. Comput. 2022, 19, 1292–1306. [Google Scholar] [CrossRef]
- Putra, G.D.; Dedeoglu, V.; Kanhere, S.S.; Jurdak, R.; Ignjatovic, A. Trust-Based Blockchain Authorization for IoT. IEEE Trans. Netw. Serv. Manag. 2021, 18, 1646–1658. [Google Scholar] [CrossRef]
- Chen, X.; Ding, J.; Lu, Z. A Decentralized Trust Management System for Intelligent Transportation Environments. IEEE Trans. Intell. Transp. Syst. 2022, 23, 558–571. [Google Scholar] [CrossRef]
- Sun, L.; Liu, D.; Wang, M.; Han, Y.; Zhang, Y.; Zhou, B.; Ren, Y. Taming Unleashed Large Language Models with Blockchain for Massive Personalized Reliable Healthcare. IEEE J. Biomed. Health Inform. 2025. [Google Scholar] [CrossRef]
- Zhu, P.; Zhang, H.; Shi, Y.; Xie, W.; Pang, M.; Shi, Y. A novel discrete conformable fractional grey system model for forecasting carbon dioxide emissions. Environ. Dev. Sustain. 2024, 1–29. [Google Scholar] [CrossRef]
- Chen, J.; Tian, Z.; Cui, X.; Yin, L.; Wang, X. Trust architecture and reputation evaluation for internet of things. J. Ambient Intell. Humaniz. Comput. 2019, 10, 3099–3107. [Google Scholar] [CrossRef]
- Mo, W.; Wang, T.; Zhang, S.; Zhang, J. An active and verifiable trust evaluation approach for edge computing. J. Cloud Comput. 2020, 9, 51. [Google Scholar] [CrossRef]








| Trust Model | Storage | Ledger/Platform | Metrics Used | Consensus/Update Mechanism | Attack Resilience |
|---|---|---|---|---|---|
| [21] | Local | None | User satisfaction, node recommendations | Weighted sum with context adjustment | Low (context spoofing possible) |
| [22] | Local | None | Cross-validation between UAV and vehicle data | Distributed reputation propagation | Medium (dependent on honest majority) |
| [23] | Local | None | Honesty, energy level, recommendations | Continuous updates with neighbor reports | Low (lacks attack modeling) |
| [24] | Local | None | Data quality, security, referral trust | Sliding time window-based updates | Medium (filtering included) |
| [25] | Blockchain-based | Ethereum | Service quality, history of data interactions | PoW-based consensus (Ethereum) | Medium (secure but resource-intensive) |
| [26] | Local | None | Community leader ratings, node reputation | Centralized cluster aggregation | Medium (leader compromise risk) |
| [27] | Blockchain | Hyperledger | Behavioral history, trust contracts | Smart contracts (PoA) | High (ledger-backed trust) |
| [28] | Blockchain | Custom DLT | Routing behavior, transport delay, consistency | Decentralized updates + DLT logs | Medium–high (immutable audit trail) |
| [29] | Verifiable logs | Blockchain | Historical baseline deviation | Cryptographic + statistical verification | High (tamper-evident logs) |
| Proposed scheme | Fully decentralized | IOTA Tangle | Reliability, QoS, centrality, Tangle-based trust | Local mean–median consensus | High (Sybil, collusion, eclipse resilience) |
| Modules | Parameters | Values |
|---|---|---|
| Operating system | Ubuntu | 22.04.1 |
| NS3 (ns-3.36.1) | ||
| Network topology | Node placement | Random disc position (radius = 300 m) |
| Traffic pattern | Constant Bit Rate (CBR) | |
| Communication range | 250 m | |
| Number of nodes | 50-250 | |
| Mobility model | ConstantPositionMobilityModel | |
| Node mobility | Base station mobility | Constant position |
| Node mobility | Constant position | |
| Position allocation | Random disc position allocator | |
| Propagation | Packet size | 1000 bytes |
| Constant rate | 100 Kbps | |
| Physical layer modulation and coding scheme | DsssRate11Mbps | |
| Data rate | 5 Mbps | |
| Propagation loss model | Friis propagation loss model | |
| Wi-Fi configuration | Wi-Fi standard | 802.11b |
| Transmit power start | 20.0 dBm | |
| Transmit power end | 20.0 d | |
| Receiver gain | 30 dB |
Disclaimer/Publisher’s Note: The statements, opinions and data contained in all publications are solely those of the individual author(s) and contributor(s) and not of MDPI and/or the editor(s). MDPI and/or the editor(s) disclaim responsibility for any injury to people or property resulting from any ideas, methods, instructions or products referred to in the content. |
© 2025 by the authors. Licensee MDPI, Basel, Switzerland. This article is an open access article distributed under the terms and conditions of the Creative Commons Attribution (CC BY) license (https://creativecommons.org/licenses/by/4.0/).
Share and Cite
Akli, A.; Chougdali , K. Towards Tamper-Proof Trust Evaluation of Internet of Things Nodes Leveraging IOTA Ledger. Sensors 2025, 25, 4697. https://doi.org/10.3390/s25154697
Akli A, Chougdali K. Towards Tamper-Proof Trust Evaluation of Internet of Things Nodes Leveraging IOTA Ledger. Sensors. 2025; 25(15):4697. https://doi.org/10.3390/s25154697
Chicago/Turabian StyleAkli, Assiya, and Khalid Chougdali . 2025. "Towards Tamper-Proof Trust Evaluation of Internet of Things Nodes Leveraging IOTA Ledger" Sensors 25, no. 15: 4697. https://doi.org/10.3390/s25154697
APA StyleAkli, A., & Chougdali , K. (2025). Towards Tamper-Proof Trust Evaluation of Internet of Things Nodes Leveraging IOTA Ledger. Sensors, 25(15), 4697. https://doi.org/10.3390/s25154697

