Spherical Polar Pattern Matching for Star Identification
Abstract
1. Introduction
2. Star Identification Model
2.1. Database
2.2. Spherical Polar Pattern of Star Spots
2.3. Relative Azimuth Histogram
2.4. SPPM-ADT Algorithm
3. Star Identification Steps
4. Simulation Results Analysis and Discussion
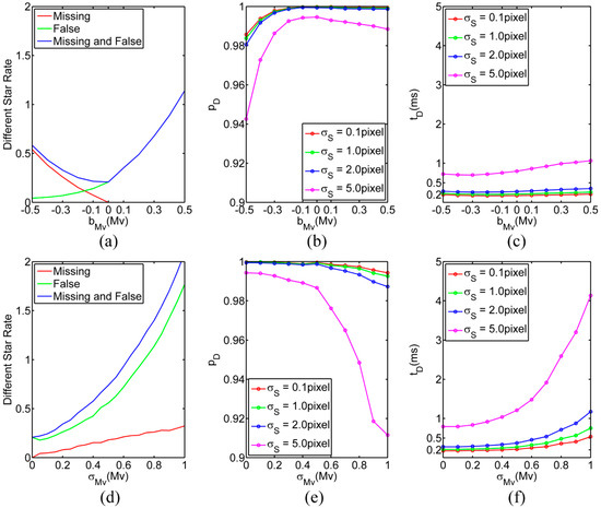
4.1. Proposed Algorithm Performance Analysis
4.2. Comparison with Other Algorithms
4.2.1. Comparison Analysis of SPPM-ADT and SRPM Algorithms
4.2.2. Comparison Analysis of SPPM-ADT and RRPM Algorithms
4.2.3. Comparison Analysis of SPPM-ADT and RTMM Algorithms
4.2.4. Comparison Analysis of SPPM-ADT and ADMST Algorithms
4.3. Discussion
5. Conclusions
Author Contributions
Funding
Data Availability Statement
Acknowledgments
Conflicts of Interest
References
- Yoon, H. Single-frame rolling shutter corrector for star trackers. J. Spacecr. Rocket. 2019, 56, 292–297. [Google Scholar] [CrossRef]
- Chin, T.-J.; Bagchi, S.; Eriksson, A.; Van Schaik, A. Star tracking using an event camera. Comput. Vis. Pattern Recognit. Workshops 2019, 208, 1646–1655. [Google Scholar]
- Hutchin, R.A. Interferometric Tracking Device. U.S. Patent US8045178, 25 October 2011. [Google Scholar]
- Zhang, G. Star Identification: Methods, Techniques and Algorithms, 1st ed.; National Defense Industry Press: Arlington, VA, USA; Springer: Berlin/Heidelberg, Germany, 2017. [Google Scholar]
- Liebe, C. Pattern recognition of star constellations for spacecraft applications. IEEE Aerosp. Electron. Syst. Mag. 1993, 8, 31–39. [Google Scholar] [CrossRef]
- Mortari, D. A fast on-board autonomous attitude determination system based on a new star-ID technique for a wide FOV star tracker. In Proceedings of the AAS/AIAA Space Flight Mechanics Meeting, Austin, TX, USA, 11–15 February 1996; pp. 1–11. [Google Scholar]
- Arnas, D.; Leake, C.; Mortari, D. The n-dimensional k-vector and its application to orthogonal range searching. Appl. Math. Comput. 2020, 372, 125010. [Google Scholar] [CrossRef] [PubMed]
- Mortari, D.; Samaan, M.A.; Bruccoleri, C.; Junkins, J.L. The pyramid star identification technique. J. Inst. Navig. 2004, 51, 171–183. [Google Scholar] [CrossRef]
- Leake, C.; Arnas, D.; Mortari, D. Non-dimensional star identification. Sensors 2020, 20, 2697. [Google Scholar] [CrossRef]
- Zahednamazi, M.; Toloei, A.; Ghasemi, R. Different types of star identification algorithms for satellite attitude determination using star sensor. Aerosp. Syst. 2021, 4, 315–321. [Google Scholar] [CrossRef]
- Padgett, C.; Kreutz-Delgado, K. A grid algorithm for autonomous star identification. IEEE Aerosp. Electron. Syst. Mag. 1997, 33, 202–213. [Google Scholar] [CrossRef]
- Lee, H.; Bang, H. Star pattern identification technique by modified grid algorithm. IEEE Aerosp. Electron. Syst. Mag. 2007, 43, 1112–1116. [Google Scholar]
- Wei, X.; Zhang, G.; Jiang, J. A star identification algorithm based on log-polar transform. AIAA J. Aerosp. Comput. Inf. Commun. 2009, 6, 483–490. [Google Scholar] [CrossRef]
- Zhang, G.; Wei, X.; Jiang, J. Full-sky autonomous star identification based on radial and cyclic features of star pattern. Image Vis. Comput. 2008, 26, 891–897. [Google Scholar] [CrossRef]
- Fan, Q.; Zhong, X.; Sun, J. A voting-based star identification algorithm utilizing local and global distribution. Acta Astronaut. 2018, 144, 126–135. [Google Scholar] [CrossRef]
- Fu, J.; Li, Q.; Lin, L.; Wei, H. Maximum radial pattern matching for minimum star map identification. EURASIP J. Adv. Signal Process. 2024, 83, 1–17. [Google Scholar] [CrossRef]
- Kim, H. Novel Methods for Spacecraft Attitude Estimation. Ph.D. Dissertation, Texas A&M University, College Station, TX, USA, 2002. [Google Scholar]
- Li, J.; Wei, X.; Wang, G.; Zhou, S. Improved grid algorithm based on star pair pattern and two-dimensional angular distances for full-sky star identification. IEEE Access 2019, 8, 1010–1020. [Google Scholar] [CrossRef]
- Du, J.; Wei, X.; Li, J.; Wang, G.; Zang, C. Star identification based on radial triangle mapping matrix. IEEE Sensors J. 2022, 22, 8795–8807. [Google Scholar] [CrossRef]
- Wolberg, G.; Zokai, S. Robust image registration using log-polar transform. In Proceedings of the IEEE International Conference on Image Processing, Vancouver, BC, Canada, 10–13 September 2000; pp. 1–4. [Google Scholar]
- Jiang, J.; Liu, L.; Zhang, G. Star identification based on Spider-Web image and hierarchical CNN. IEEE Aerosp. Electron. Syst. 2020, 56, 3055–3062. [Google Scholar] [CrossRef]
- Wang, B.; Wang, H.; Jin, Z. An Efficient and robust star identification algorithm based on Neural Networks. Sensors 2021, 21, 7686. [Google Scholar] [CrossRef]
- Hepburn-Dickins, F.; Jones, M.W.; Edwards, M.; Morgan, J.P.; Bell, S. SIGNN—Star Identification using Graph Neural Networks. In Proceedings of the IEEE/CVF Winter Conference on Applications of Computer Vision (WACV), Tucson, AZ, USA, 28 February–4 March 2025; pp. 9045–9054. [Google Scholar]
- Markley, F.L.; Crassidis, J.L. Fundamentals of Spacecraft Attitude Determination and Control, 1st ed.; Springer: New York, NY, USA, 2014. [Google Scholar]
- Wahba, G. A least squares estimate of satellite attitude. SIAM Rev. 2006, 7, 409. [Google Scholar] [CrossRef]
- SAO Star Catalog [EB/OL]. 8 November 2004. Available online: https://heasarc.gsfc.nasa.gov/W3Browse/star-catalog/sao.html (accessed on 2 May 2025).
- Zhao, Y.; Wei, X.; Wang, G.; Li, J. Real-time star identification using synthetic radial pattern and its hardware implementation. Acta Astronaut. 2017, 131, 1–9. [Google Scholar] [CrossRef]
- Liu, H.; Wei, X.; Li, J.; Wang, G. A star identification algorithm based on recommended radial pattern. IEEE Sensors J. 2022, 22, 8030–8040. [Google Scholar] [CrossRef]
- Wei, Y.; Wei, X.; Liu, H.; Li, J. A star identification graph algorithm based on angular distance matching score transfer. IEEE Sensors J. 2024, 24, 6539–6547. [Google Scholar] [CrossRef]
- Fu, J.; Zhang, H.; Wei, H.; Gao, X. Small bounding-box filter for small target detection. Opt. Eng. 2021, 60, 033107. [Google Scholar] [CrossRef]





| Parameter | Value |
|---|---|
| FOV | 15° × 15° |
| Focal length | 42.7793 mm |
| Resolution | 1024 × 1024 pixel |
| Principal point | (512, 512) |
| Limiting magnitude | 6.0 Mv |
| Standard deviation of position | ≤5.0 pixel |
| Standard deviation of magnitude | ≤1.0 Mv |
| Simulation image magnitude | ≤9.0 Mv |
| Table Type | Data Type | Number | Size (KB) |
|---|---|---|---|
| Region hash table | Unsigned short | 450 | 0.88 |
| Brightness ranking hash table | Unsigned short | 4224 | 8.25 |
| Spherical polar pattern hash table | Unsigned short | 4224 | 8.25 |
| Celestial coordinate table | Float | 4224 × 2 | 33.00 |
| Spherical polar pattern table | Unsigned char | 56,449 × 2 | 110.25 |
| Total | 160.64 |
| Algorithm | CPU | σS (pixel) | σMv (Mv) | tD (ms) | pD (%) |
|---|---|---|---|---|---|
| SRPM | Intel i5-3210M | 6.5 | 0.4 | 15 | 97.31 |
| SRPM | Intel i5-3210M | 8.0 | 0.4 | 22 | 85 |
| SRPM | Intel i5-3210M | 2.5 | 0.5 | 9.2 | 99.8 |
| SRPM | Intel i5-3210M | 2.5 | 1.0 | 18 | 88 |
| SPPM-ADT | Intel i7-4790 | 6.5 | 0.4 | 0.52 | 99.69 |
| SPPM-ADT | Intel i7-4790 | 8.0 | 0.4 | 0.71 | 99.41 |
| SPPM-ADT | Intel i7-4790 | 2.5 | 0.5 | 0.28 | 99.91 |
| SPPM-ADT | Intel i7-4790 | 2.5 | 1.0 | 0.53 | 98.95 |
| Algorithm | CPU | σS (pixel) | σMv (Mv) | tD (ms) | pD (%) |
|---|---|---|---|---|---|
| RRPM | Intel i3-2350M | 1.0 | 0.4 | 1.80 | 99.91 |
| RRPM | Intel i3-2350M | 4.0 | 0.4 | 3.75 | 98.63 |
| RRPM | Intel i3-2350M | 1.0 | 1.0 | 4.73 | 95.45 |
| SPPM-ADT | Intel i7-4790 | 1.0 | 0.4 | 0.15 | 100 |
| SPPM-ADT | Intel i7-4790 | 4.0 | 0.4 | 0.30 | 99.95 |
| SPPM-ADT | Intel i7-4790 | 1.0 | 1.0 | 0.33 | 99.89 |
| Algorithm | CPU | σS (pixel) | σMv (Mv) | tD (ms) | pD (%) |
|---|---|---|---|---|---|
| RTMM | Intel i5-11600K | 2.0 | 0.3 | 10 | 98.41 |
| RTMM | Intel i5-11600K | 0.4 | 1.2 | 6 | 98.51 |
| SPPM-ADT | Intel i7-4790 | 2.0 | 0.3 | 0.27 | 99.96 |
| SPPM-ADT | Intel i7-4790 | 0.4 | 1.2 | 0.52 | 99.44 |
| Algorithm | CPU | σS (pixel) | σMv (Mv) | tD (ms) | pD (%) |
|---|---|---|---|---|---|
| ADMST | Intel i5-12490F | 5.0 | 0.4 | 12 | 99.8 |
| ADMST | Intel i5-12490F | 1.0 | 0.9 | 13 | 97.5 |
| ADMST | Intel i5-12490F | 1.0 | 1.5 | 18 | 96 |
| SPPM-ADT | Intel i7-4790 | 5.0 | 0.4 | 0.39 | 99.78 |
| SPPM-ADT | Intel i7-4790 | 1.0 | 0.9 | 0.38 | 99.60 |
| SPPM-ADT | Intel i7-4790 | 1.0 | 1.5 | 1.18 | 97.62 |
Disclaimer/Publisher’s Note: The statements, opinions and data contained in all publications are solely those of the individual author(s) and contributor(s) and not of MDPI and/or the editor(s). MDPI and/or the editor(s) disclaim responsibility for any injury to people or property resulting from any ideas, methods, instructions or products referred to in the content. |
© 2025 by the authors. Licensee MDPI, Basel, Switzerland. This article is an open access article distributed under the terms and conditions of the Creative Commons Attribution (CC BY) license (https://creativecommons.org/licenses/by/4.0/).
Share and Cite
Fu, J.; Lin, L.; Li, Q. Spherical Polar Pattern Matching for Star Identification. Sensors 2025, 25, 4201. https://doi.org/10.3390/s25134201
Fu J, Lin L, Li Q. Spherical Polar Pattern Matching for Star Identification. Sensors. 2025; 25(13):4201. https://doi.org/10.3390/s25134201
Chicago/Turabian StyleFu, Jingneng, Ling Lin, and Qiang Li. 2025. "Spherical Polar Pattern Matching for Star Identification" Sensors 25, no. 13: 4201. https://doi.org/10.3390/s25134201
APA StyleFu, J., Lin, L., & Li, Q. (2025). Spherical Polar Pattern Matching for Star Identification. Sensors, 25(13), 4201. https://doi.org/10.3390/s25134201

