Criterion and Construct Validity of the Pocket-Worn RISE Device to Assess Movement Behaviour in Community-Dwelling People with Stroke
Abstract
1. Introduction
2. Materials and Methods
2.1. Study Design
2.2. Participants
2.3. Measurement Instruments
2.3.1. Laboratory Setting
2.3.2. Free-Living Setting
2.4. Measurement Procedure
2.4.1. Laboratory Setting
2.4.2. Free-Living Setting
2.5. Data Analysis
2.5.1. Laboratory Setting
2.5.2. Free-Living Setting
3. Results
3.1. Participants
3.2. Laboratory Setting
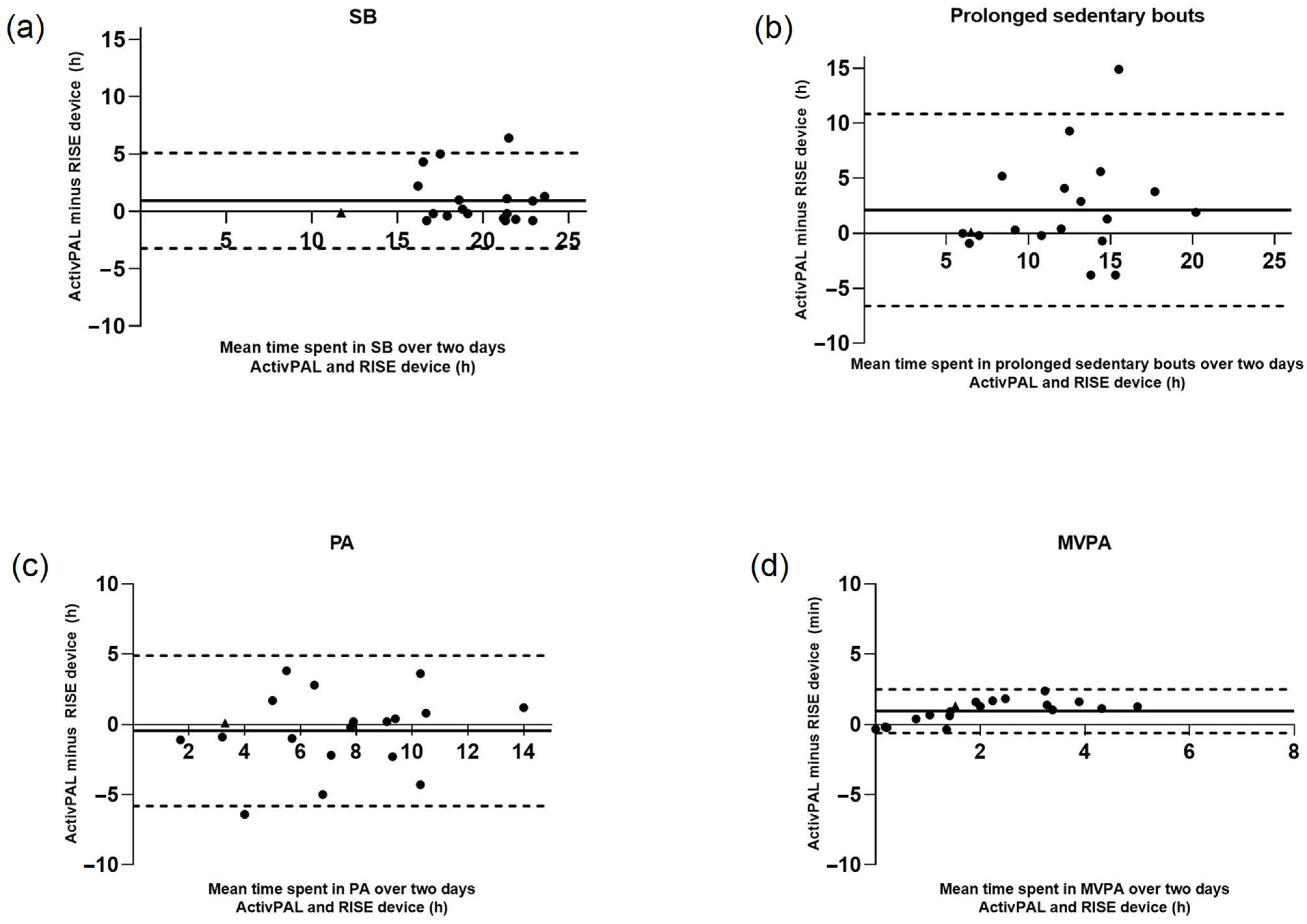
3.3. Free-Living Setting
4. Discussion
4.1. Laboratory Setting
4.2. Free-Living Setting
4.3. Strengths and Limitations
Author Contributions
Funding
Institutional Review Board Statement
Informed Consent Statement
Data Availability Statement
Acknowledgments
Conflicts of Interest
Abbreviations
| PA | Physical activity |
| SB | Sedentary behaviour |
| MVPA | Moderate to vigorous physical activity |
| ICC | Intraclass correlation coefficient |
| MACE | Major cardiovascular event |
| METs | Metabolic equivalents |
| RISE | Reduce and Interrupt sedentary behaviour using a blended behavioural intervention to Empower people at risk towards sustainable 24-h movement behaviour change |
| PPV | Positive predictive value |
| MAPE | Mean absolute percentage error |
| MPE | Mean percentage error |
| LoA | Limits of agreement |
| BMI | Body mass index |
| kg | Kilograms |
| BI | Barthel Index |
| 10 MWT | 10-Metre Walking Test |
| FAC | Functional ambulation category |
| 95%CI | 95% confidence interval |
| h | Hour |
Appendix A
| Activity | Time (Seconds) | Number of Observations |
|---|---|---|
| Walking on a normal surface (self-selected walking speed, typical of their normal walking speed) | 90 | 24 |
| Sitting on a chair | 90 | 25 |
| Standing without support | 90 | 23 |
| Treadmill walking: | ||
| 2 km/h * | 90 | 20 |
| 3 km/h * | 90 | 19 |
| 4 km/h * | 90 | 18 |
| 5 km/h * | 90 | 11 |
| Lying in supine position | 420 | 24 |
| Cycling on a home trainer 65–70 RPM * | 90 | 23 |
References
- Cabot, M.; Daviet, J.C.; Duclos, N.; Bernikier, D.; Salle, J.Y.; Compagnat, M. First Systematic Review and Meta-analysis of the Validity and Test-Retest Reliability of Physical Activity Monitors for Estimating Energy Expenditure During Walking in Individuals with Stroke. Arch. Phys. Med. Rehabil. 2022, 103, 2245–2255. [Google Scholar] [CrossRef] [PubMed]
- Bull, F.C.; Al-Ansari, S.S.; Biddle, S.; Borodulin, K.; Buman, M.P.; Cardon, G.; Carty, C.; Chaput, J.P.; Chastin, S.; Chou, R.; et al. World Health Organization 2020 guidelines on physical activity and sedentary behaviour. Br. J. Sports Med. 2020, 54, 1451–1462. [Google Scholar] [CrossRef]
- Svalbjørg, T.; Askim, T.; Saltvedt, I.; Alme, K.; Lydersen, S.; Eldholm, R. Changes in sedentary behavior in the chronic phase following stroke. J. Stroke Cerebrovasc. Dis. 2024, 33, 107827. [Google Scholar] [CrossRef]
- Wondergem, R.; Veenhof, C.; Wouters, E.M.J.; de Bie, R.A.; Visser-Meily, J.M.A.; Pisters, M.F. Movement Behavior Patterns in People With First-Ever Stroke. Stroke 2019, 50, 3553–3560. [Google Scholar] [CrossRef]
- Fanchamps, M.H.J.; Horemans, H.L.D.; Ribbers, G.M.; Stam, H.J.; Bussmann, J.B.J. The Accuracy of the Detection of Body Postures and Movements Using a Physical Activity Monitor in People after a Stroke. Sensors 2018, 18, 2167. [Google Scholar] [CrossRef]
- Lindemann, U.; Zijlstra, W.; Aminian, K.; Chastin, S.F.; De Bruin, E.D.; Helbostad, J.L.; Bussmann, J.B. Recommendations for standardizing validation procedures assessing physical activity of older persons by monitoring body postures and movements. Sensors 2014, 14, 1267–1277. [Google Scholar] [CrossRef]
- Fini, N.A.; Simpson, D.; Moore, S.A.; Mahendran, N.; Eng, J.J.; Borschmann, K.; Moulaee Conradsson, D.; Chastin, S.; Churilov, L.; English, C. How should we measure physical activity after stroke? An international consensus. Int. J. Stroke 2023, 18, 1132–1142. [Google Scholar] [CrossRef] [PubMed]
- Kastelic, K.; Dobnik, M.; Löfler, S.; Hofer, C.; Šarabon, N. Validity, Reliability and Sensitivity to Change of Three Consumer-Grade Activity Trackers in Controlled and Free-Living Conditions among Older Adults. Sensors 2021, 21, 6245. [Google Scholar] [CrossRef] [PubMed]
- Hendrickx, W.; Wondergem, R.; Veenhof, C.; English, C.; Visser-Meily, J.M.A.; Pisters, M.F. Improving Movement Behavior in People after Stroke with the RISE Intervention: A Randomized Multiple Baseline Study. J. Clin. Med. 2024, 13, 4341. [Google Scholar] [CrossRef]
- Biemans, C.F.M.; Hartman, Y.A.W.; Broers, S.; Pagen, S.; Hendrickx, W.; RISE Study Group; van Dongen, J.M.; Verschuren, O.W.; English, C.; Veenhof, C.; et al. Secondary prevention by striking the balance in 24-hour movement behaviour by empowering people at risk with a stroke: Rationale and Design of the RISE intervention randomised controlled trial. BMJ Open 2025. [Google Scholar]
- Becker, M.L.; Hurkmans, H.L.P.; Verhaar, J.A.N.; Bussmann, J.B.J. Validation of the Activ8 Activity Monitor for Monitoring Postures, Motions, Transfers, and Steps of Hospitalized Patients. Sensors 2023, 24, 180. [Google Scholar] [CrossRef] [PubMed]
- Johnston, W.; Judice, P.B.; García, P.M.; Mühlen, J.M.; Skovgaard, E.L.; Stang, J.; Schumann, M.; Cheng, S.; Bloch, W.; Brønd, J.C.; et al. Recommendations for determining the validity of consumer wearable and smartphone step count: Expert statement and checklist of the INTERLIVE network. Br. J. Sports Med. 2021, 55, 780–793. [Google Scholar] [CrossRef] [PubMed]
- Welk, G.J.; Bai, Y.; Lee, J.M.; Godino, J.; Saint-Maurice, P.F.; Carr, L. Standardizing Analytic Methods and Reporting in Activity Monitor Validation Studies. Med. Sci. Sports Exerc. 2019, 51, 1767–1780. [Google Scholar] [CrossRef]
- Salbach, N.M.; Mayo, N.E.; Higgins, J.; Ahmed, S.; Finch, L.E.; Richards, C.L. Responsiveness and predictability of gait speed and other disability measures in acute stroke. Arch. Phys. Med. Rehabil. 2001, 82, 1204–1212. [Google Scholar] [CrossRef]
- Holden, M.K.; Gill, K.M.; Magliozzi, M.R. Gait assessment for neurologically impaired patients. Standards for outcome assessment. Phys. Ther. 1986, 66, 1530–1539. [Google Scholar] [CrossRef] [PubMed]
- van der Ploeg, H.P.; Streppel, K.R.M.; van der Beek, A.J.; van der Woude, L.H.V.; Vollenbroek-Hutten, M.; van Mechelen, W. The Physical Activity Scale for Individuals with Physical Disabilities: Test-Retest Reliability and Comparison With an Accelerometer. J. Phys. Act. Health 2007, 4, 96–100. [Google Scholar] [CrossRef]
- Valkenet, K.; Veenhof, C. Validity of three accelerometers to investigate lying, sitting, standing and walking. PLoS ONE 2019, 14, e0217545. [Google Scholar] [CrossRef]
- Matthews, C.E.; Chen, K.Y.; Freedson, P.S.; Buchowski, M.S.; Beech, B.M.; Pate, R.R.; Troiano, R.P. Amount of time spent in sedentary behaviors in the United States, 2003–2004. Am. J. Epidemiol. 2008, 167, 875–881. [Google Scholar] [CrossRef]
- Parikh, R.; Mathai, A.; Parikh, S.; Chandra Sekhar, G.; Thomas, R. Understanding and using sensitivity, specificity and predictive values. Indian J. Ophthalmol. 2008, 56, 45–50. [Google Scholar] [CrossRef]
- Winkler, E.A.H.; Bodicoat, D.H.; Healy, G.N.; Bakrania, K.; Yates, T.; Owen, N.; Dunstan, D.W.; Edwardson, C.L. Identifying adults’ valid waking wear time by automated estimation in activPAL data collected with a 24 h wear protocol. Physiol. Meas. 2016, 37, 1653–1668. [Google Scholar] [CrossRef]
- Höchsmann, C.; Knaier, R.; Infanger, D.; Schmidt-Trucksäss, A. Validity of smartphones and activity trackers to measure steps in a free-living setting over three consecutive days. Physiol. Meas. 2020, 41, 015001. [Google Scholar] [CrossRef] [PubMed]
- Hyndman, R.J.; Koehler, A.B. Another look at measures of forecast accuracy. Int. J. Forecast. 2006, 22, 679–688. [Google Scholar] [CrossRef]
- Koo, T.K.; Li, M.Y. A Guideline of Selecting and Reporting Intraclass Correlation Coefficients for Reliability Research. J. Chiropr. Med. 2016, 15, 155–163. [Google Scholar] [CrossRef] [PubMed]
- Fulk, G.D.; Combs, S.A.; Danks, K.A.; Nirider, C.D.; Raja, B.; Reisman, D.S. Accuracy of 2 activity monitors in detecting steps in people with stroke and traumatic brain injury. Phys. Ther. 2014, 94, 222–229. [Google Scholar] [CrossRef]
- Svarre, F.R.; Jensen, M.M.; Nielsen, J.; Villumsen, M. The validity of activity trackers is affected by walking speed: The criterion validity of Garmin Vivosmart(®) HR and StepWatch(™) 3 for measuring steps at various walking speeds under controlled conditions. PeerJ 2020, 8, e9381. [Google Scholar] [CrossRef]
- Martinko, A.; Karuc, J.; Jurić, P.; Podnar, H.; Sorić, M. Accuracy and Precision of Consumer-Grade Wearable Activity Monitors for Assessing Time Spent in Sedentary Behavior in Children and Adolescents: Systematic Review. JMIR Mhealth Uhealth 2022, 10, e37547. [Google Scholar] [CrossRef] [PubMed]
- Dominick, G.M.; Winfree, K.N.; Pohlig, R.T.; Papas, M.A. Physical Activity Assessment Between Consumer- and Research-Grade Accelerometers: A Comparative Study in Free-Living Conditions. JMIR Mhealth Uhealth 2016, 4, e110. [Google Scholar] [CrossRef]
- Claridge, E.A.; van den Berg-Emons, R.J.; Horemans, H.L.; van der Slot, W.M.; van der Stam, N.; Tang, A.; Timmons, B.W.; Gorter, J.W.; Johannes, B.J. Bussmann Detection of body postures and movements in ambulatory adults with cerebral palsy: A novel and valid measure of physical behaviour. J. Neuro Eng. Rehabil. 2019, 16, 125. [Google Scholar] [CrossRef]
- Horemans, H.; Kooijmans, H.; van den Berg-Emons, R.; Bussmann, H. The Activ8 activity monitor: Validation of posture and movement classification. J. Rehabil. Assist. Technol. Eng. 2020, 7, 2055668319890535. [Google Scholar] [CrossRef]


| Laboratory Setting (n = 25) | Free-Living Setting (n = 19) | |
|---|---|---|
| Age (years) | 66 ± 11.8 | 73 ± 10.2 |
| Sex (N (% female)) | 8 (32) | 5 (26) |
| BMI (kg/m2) | 26.1 ± 4.2 | 25.7 ± 4.4 |
| Cause of stroke | ||
| Infarct (%) | 21 (84) | 16 (84) |
| Haemorrhage (%) | 4 (16) | 3 (16) |
| Location | ||
| Left (%) | 11 (44) | 13 (68.4) |
| Right (%) | 13 (52) | 5 (26.3) |
| Cerebellum (%) | 1 (4) | 1 (5.3) |
| Time since stroke (years) | 20 [18–20] | 19.5 [15–20] |
| Walking aid | ||
| Walker (%) | 4 (16) | 2 (10.5) |
| Crutches or cane (%) | 2 (8) | 2 (10.5) |
| None (%) | 19 (76) | 15 (79) |
| BI | 20 [18–20] | 19.5 [15–20] |
| 10 MWT (km/h) | 4.0 ± 1.1 | 3.6 ± 1.1 |
| FAC | 5 [3–5] | 5 [3–5] |
| Movement Category | Sensitivity | Specificity | PPV |
|---|---|---|---|
| SB | 0.93 [0.88–0.97] | 0.96 [0.91–1.01] | 0.95 [0.90–1.00] |
| PA | 0.96 [0.91–1.01] | 0.93 [0.88–0.97] | 0.95 [0.93–0.98] |
| Movement Category Video | Total | Lying | Sitting | Standing | Walking | Cycling |
|---|---|---|---|---|---|---|
| SB | 6.6 | 52.8 | 45.3 | 1.9 | ||
| PA | 1.3 | 5.0 | 95.0 |
| Movement Category | MAPE in % | MPE in % | Mean Time, RISE Device | Mean Time, ActivPAL | Mean Difference | ICC [95% CI] |
|---|---|---|---|---|---|---|
| SB | 9.7 | 11.0 | 19 h and 10.8 min | 19 h and 34.2 min | 0 h and 57.6 min | 0.8 [0.5–0.9] |
| Prolonged sedentary bouts | 19.8 | 1.6 | 11 h and 4.2 min | 13 h and 11.4 min | 2 h and 7.2 min | 0.7 [0.2–0.9] |
| PA | N.A. * | N.A. * | 7 h and 27.6 min | 7 h and 0.6 min | −0 h and 27 min | 0.8 [0.5–0.9] |
| MVPA | N.A. * | N.A. * | 34.8 min | 91.8 min | 0 h and 57.6 min | 0.5 [−0.2–0.8] |
Disclaimer/Publisher’s Note: The statements, opinions and data contained in all publications are solely those of the individual author(s) and contributor(s) and not of MDPI and/or the editor(s). MDPI and/or the editor(s) disclaim responsibility for any injury to people or property resulting from any ideas, methods, instructions or products referred to in the content. |
© 2025 by the authors. Licensee MDPI, Basel, Switzerland. This article is an open access article distributed under the terms and conditions of the Creative Commons Attribution (CC BY) license (https://creativecommons.org/licenses/by/4.0/).
Share and Cite
Biemans, C.F.M.; van der Heiden, L.; Veenhof, C.; Verschuren, O.W.; Visser-Meily, J.M.A.; Pisters, M.F.; Hartman, Y.A.W. Criterion and Construct Validity of the Pocket-Worn RISE Device to Assess Movement Behaviour in Community-Dwelling People with Stroke. Sensors 2025, 25, 3308. https://doi.org/10.3390/s25113308
Biemans CFM, van der Heiden L, Veenhof C, Verschuren OW, Visser-Meily JMA, Pisters MF, Hartman YAW. Criterion and Construct Validity of the Pocket-Worn RISE Device to Assess Movement Behaviour in Community-Dwelling People with Stroke. Sensors. 2025; 25(11):3308. https://doi.org/10.3390/s25113308
Chicago/Turabian StyleBiemans, Camille F. M., Laura van der Heiden, Cindy Veenhof, Olaf W. Verschuren, Johanna M. A. Visser-Meily, Martijn F. Pisters, and Yvonne A. W. Hartman. 2025. "Criterion and Construct Validity of the Pocket-Worn RISE Device to Assess Movement Behaviour in Community-Dwelling People with Stroke" Sensors 25, no. 11: 3308. https://doi.org/10.3390/s25113308
APA StyleBiemans, C. F. M., van der Heiden, L., Veenhof, C., Verschuren, O. W., Visser-Meily, J. M. A., Pisters, M. F., & Hartman, Y. A. W. (2025). Criterion and Construct Validity of the Pocket-Worn RISE Device to Assess Movement Behaviour in Community-Dwelling People with Stroke. Sensors, 25(11), 3308. https://doi.org/10.3390/s25113308

