Spatial and Temporal Variation of Urban Heat Islands in French Guiana
Abstract
1. Introduction
2. Materials and Methods
2.1. Study Area

2.2. Land Surface Temperature (LST) Data
2.3. LST Spatial Distribution
2.4. Maximum Daytime and Nighttime LST Temporal Trend
2.5. Assessment of the SUHI Intensity
2.6. Assessment of the Urban Thermal Filed Variance Index (UTFVI)
2.7. Linear Correlation between the LST and Influencing Factors
3. Results
3.1. LST Spatial Distribution
3.2. Daytime and Nighttime Maximum LST Temporal Trend
3.3. Assessment of SUHI Intensity
3.4. Assessment of the UTFVI
3.5. Relation between the SUHI and Some Related Factors
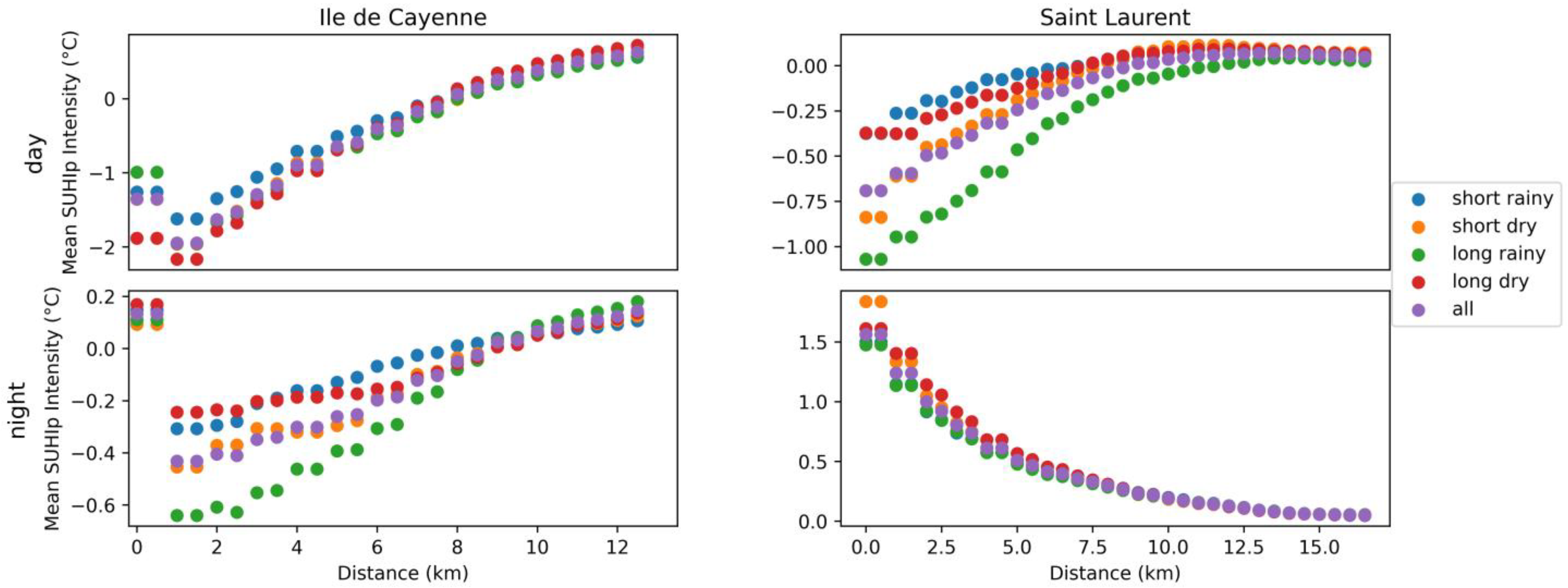
3.5.1. Details on the Related Figures
3.5.2. Presentation of the Results


4. Discussion
5. Conclusions
Author Contributions
Funding
Institutional Review Board Statement
Informed Consent Statement
Data Availability Statement
Acknowledgments
Conflicts of Interest
References
- Liu, Y.; Li, J.; Duan, L.; Dai, M.; Chen, W. Material dependence of cities and implications for regional sustainability. Reg. Sustain. 2020, 1, 31–36. [Google Scholar] [CrossRef]
- Sun, Y.; Li, H.; Andlib, Z.; Genie, M.G. How do renewable energy and urbanization cause carbon emissions? Evidence from advanced panel estimation techniques. Renew. Energy 2022, 185, 996–1005. [Google Scholar] [CrossRef]
- Unies, N. The World’s Cities in 2018: Data Booklet; United Nations: New York, NY, USA, 2018. [Google Scholar] [CrossRef]
- Richards, D.R.; Law, A.; Tan, C.S.Y.; Shaikh, S.F.E.A.; Carrasco, L.R.; Jaung, W.; Oh, R.R.Y. Rapid urbanisation in Singapore causes a shift from local provisioning and regulating to cultural ecosystem services use. Ecosyst. Serv. 2020, 46, 101193. [Google Scholar] [CrossRef]
- Zhou, Q. A Review of Sustainable Urban Drainage Systems Considering the Climate Change and Urbanization Impacts. Water 2014, 6, 976–992. [Google Scholar] [CrossRef]
- Xu, H.; Li, C.; Wang, H.; Zhou, R.; Liu, M.; Hu, Y. Long-Term Spatiotemporal Patterns and Evolution of Regional Heat Islands in the Beijing–Tianjin–Hebei Urban Agglomeration. Remote Sens. 2022, 14, 2478. [Google Scholar] [CrossRef]
- Bhargava, A.; Lakmini, S.; Bhargava, S. Urban Heat Island Effect: It’s Relevance in Urban Planning. J. Biodivers. Endanger. Species 2017, 5, 187. [Google Scholar] [CrossRef]
- Sherafati, S.; Saradjian, M.R.; Rabbani, A. Assessment of Surface Urban Heat Island in Three Cities Surrounded by Different Types of Land-Cover Using Satellite Images. J. Indian Soc. Remote Sens. 2018, 46, 1013–1022. [Google Scholar] [CrossRef]
- Sena, C.A.P.; França, J.R.d.A.; Peres, L.F. Study of Heat Islands in The Metropolitan Area of Rio de Janeiro Using Data from MODIS. Anu. Inst. Geociênc. 2014, 37, 111–122. [Google Scholar] [CrossRef]
- Halder, B.; Bandyopadhyay, J.; Banik, P. Monitoring the effect of urban development on urban heat island based on remote sensing and geo-spatial approach in Kolkata and adjacent areas, India. Sustain. Cities Soc. 2021, 74, 103186. [Google Scholar] [CrossRef]
- Sultana, S.; Satyanarayana, A.N.V. Assessment of urbanisation and urban heat island intensities using Landsat imageries during 2000–2018 over a sub-tropical Indian City. Sustain. Cities Soc. 2020, 52, 101846. [Google Scholar] [CrossRef]
- Churkina, G.; Kuik, F.; Bonn, B.; Lauer, A.; Grote, R.; Tomiak, K.; Butler, T.M. Effect of VOC Emissions from Vegetation on Air Quality in Berlin during a Heatwave. Environ. Sci. Technol. 2017, 51, 6120–6130. [Google Scholar] [CrossRef]
- Shahfahad; Naikoo, M.W.; Towfiqul Islam, A.R.M.; Mallick, J.; Rahman, A. Land use/land cover change and its impact on surface urban heat island and urban thermal comfort in a metropolitan city. Urban Clim. 2022, 41, 101052. [Google Scholar] [CrossRef]
- Sun, Y.; Zhang, X.; Zwiers, F.W.; Song, L.; Wan, H.; Hu, T.; Yin, H.; Ren, G. Rapid increase in the risk of extreme summer heat in Eastern China. Nat. Clim. Chang. 2014, 4, 1082–1085. [Google Scholar] [CrossRef]
- Akbari, H.; Kolokotsa, D. Three decades of urban heat islands and mitigation technologies research. Energy Build. 2016, 133, 834–842. [Google Scholar] [CrossRef]
- Tepanosyan, G.; Muradyan, V.; Hovsepyan, A.; Pinigin, G.; Medvedev, A.; Asmaryan, S. Studying spatial-temporal changes and relationship of land cover and surface Urban Heat Island derived through remote sensing in Yerevan, Armenia. Build. Environ. 2021, 187, 107390. [Google Scholar] [CrossRef]
- Deilami, K.; Kamruzzaman, M.; Liu, Y. Urban heat island effect: A systematic review of spatio-temporal factors, data, methods, and mitigation measures. Int. J. Appl. Earth Obs. Geoinf. 2018, 67, 30–42. [Google Scholar] [CrossRef]
- Naim, M.N.H.; Kafy, A.-A. Assessment of urban thermal field variance index and defining the relationship between land cover and surface temperature in Chattogram city: A remote sensing and statistical approach. Environ. Chall. 2021, 4, 100107. [Google Scholar] [CrossRef]
- Sismanidis, P.; Bechtel, B.; Perry, M.; Ghent, D. The Seasonality of Surface Urban Heat Islands across Climates. Remote Sens. 2022, 14, 2318. [Google Scholar] [CrossRef]
- Wang, W.; Liu, K.; Tang, R.; Wang, S. Remote sensing image-based analysis of the urban heat island effect in Shenzhen, China. Phys. Chem. Earth Parts ABC 2019, 110, 168–175. [Google Scholar] [CrossRef]
- Amorim, M.C.d.C.T.; Dubreuil, V. Intensity of Urban Heat Islands in Tropical and Temperate Climates. Climate 2017, 5, 91. [Google Scholar] [CrossRef]
- dos Santos, A.R.; de Oliveira, F.S.; da Silva, A.G.; Gleriani, J.M.; Gonçalves, W.; Moreira, G.L.; Silva, F.G.; Branco, E.R.F.; Moura, M.M.; da Silva, R.G.; et al. Spatial and temporal distribution of urban heat islands. Sci. Total Environ. 2017, 605–606, 946–956. [Google Scholar] [CrossRef] [PubMed]
- Monteiro, F.F.; Gonçalves, W.A.; Andrade, L.D.M.B.; Villavicencio, L.M.M.; dos Santos Silva, C.M. Assessment of Urban Heat Islands in Brazil based on MODIS remote sensing data. Urban Clim. 2021, 35, 100726. [Google Scholar] [CrossRef]
- Palme, M.; Lobato, A.; Carrasco, C. Quantitative Analysis of Factors Contributing to Urban Heat Island Effect in Cities of Latin-American Pacific Coast. Procedia Eng. 2016, 169, 199–206. [Google Scholar] [CrossRef]
- Ruiz, M.A.; Sosa, M.B.; Correa Cantaloube, E.N.; Cantón, M.A. Suitable configurations for forested urban canyons to mitigate the UHI in the city of Mendoza, Argentina. Urban Clim. 2015, 14, 197–212. [Google Scholar] [CrossRef]
- Silva, J.S.; da Silva, R.M.; Santos, C.A.G. Spatiotemporal impact of land use/land cover changes on urban heat islands: A case study of Paço do Lumiar, Brazil. Build. Environ. 2018, 136, 279–292. [Google Scholar] [CrossRef]
- “Climate Guyane”. Meteo France. Available online: https://meteofrance.gf/fr/climat#:~:text=Le%20climat%20de%20la%20Guyane,d’une%20certaine%20stabilit%C3%A9%20climatique (accessed on 15 June 2022).
- Roger, A.; Nacher, M.; Hanf, M.; Drogoul, A.S.; Adenis, A.; Basurko, C.; Dufour, J.; Marie, D.S.; Blanchet, D.; Simon, S.; et al. Climate and Leishmaniasis in French Guiana. Am. J. Trop. Med. Hyg. 2013, 89, 564–569. [Google Scholar] [CrossRef]
- Les Alizés, d’où Viennent-Ils et où Vont-Ils? Meteo France. Available online: https://meteofrance.gf/fr/climat/les-alizes-dou-viennent-ils-et-ou-vont-ils (accessed on 26 November 2021).
- INSEE. Les Résultats des Recensements de la Population. Available online: https://www.insee.fr/fr/information/2008354 (accessed on 29 December 2021).
- ESRI. Sentinel-2 10-Meter Land Use/Land Cover. 2020. Available online: https://livingatlas.arcgis.com/landcover/ (accessed on 17 February 2024).
- Zhang, T.; Zhou, Y.; Zhu, Z.; Li, X.; Asrar, G.R. A global seamless 1 km resolution daily land surface temperature dataset (2003–2020). Earth Syst. Sci. Data 2022, 14, 651–664. [Google Scholar] [CrossRef]
- Zhang, T.; Zhou, Y.; Zhu, Z.; Li, X.; Asrar, G.R. A Global Seamless 1 km Resolution Daily Land Surface Temperature Dataset (2003–2020); Collection; Iowa State University: Ames, IA, USA, 2021. [Google Scholar] [CrossRef]
- Tabassum, A.; Basak, R.; Shao, W.; Haque, M.M.; Chowdhury, T.A.; Dey, H. Exploring the Relationship between Land Use Land Cover and Land Surface Temperature: A Case Study in Bangladesh and the Policy Implications for the Global South. J. Geovis. Spat. Anal. 2023, 7, 25. [Google Scholar] [CrossRef]
- Zheng, Y.; Li, Y.; Hou, H.; Murayama, Y.; Wang, R.; Hu, T. Quantifying the Cooling Effect and Scale of Large Inner-City Lakes Based on Landscape Patterns: A Case Study of Hangzhou and Nanjing. Remote Sens. 2021, 13, 1526. [Google Scholar] [CrossRef]
- Amatulli, G.; Domisch, S.; Tuanmu, M.-N.; Parmentier, B.; Ranipeta, A.; Malczyk, J.; Jetz, W. A suite of global, cross-scale topographic variables for environmental and biodiversity modeling. Sci. Data 2018, 5, 180040. [Google Scholar] [CrossRef] [PubMed]
- Broadbent, A.M.; Coutts, A.M.; Tapper, N.J.; Demuzere, M.; Beringer, J. The microscale cooling effects of water sensitive urban design and irrigation in a suburban environment. Theor. Appl. Climatol. 2018, 134, 1–23. [Google Scholar] [CrossRef]
- Gross, G. Some effects of water bodies on the n environment—Numerical experiments. J. Heat Isl. Inst. Int. 2017, 12, 2. [Google Scholar]
- Sun, R.; Chen, L. How can urban water bodies be designed for climate adaptation? Landsc. Urban Plan. 2012, 105, 27–33. [Google Scholar] [CrossRef]
- Jacobs, C.; Klok, L.; Bruse, M.; Cortesão, J.; Lenzholzer, S.; Kluck, J. Are urban water bodies really cooling? Urban Clim. 2020, 32, 100607. [Google Scholar] [CrossRef]
- Steeneveld, G.J.; Koopmans, S.; Heusinkveld, B.G.; Theeuwes, N.E. Refreshing the role of open water surfaces on mitigating the maximum urban heat island effect. Landsc. Urban Plan. 2014, 121, 92–96. [Google Scholar] [CrossRef]
- Dewan, A.; Kiselev, G.; Botje, D. Diurnal and seasonal trends and associated determinants of surface urban heat islands in large Bangladesh cities. Appl. Geogr. 2021, 135, 102533. [Google Scholar] [CrossRef]
- Wu, X.; Zhang, L.; Zang, S. Examining seasonal effect of urban heat island in a coastal city. PLoS ONE 2019, 14, e0217850. [Google Scholar] [CrossRef]
- Yuan, Y.; Xi, C.; Jing, Q.; Felix, N. Seasonal Variations of the Urban Thermal Environment Effect in a Tropical Coastal City. Adv. Meteorol. 2017, 2017, e8917310. [Google Scholar] [CrossRef]
- Hasan, M.A.; Mia, M.B.; Khan, M.R.; Alam, M.J.; Chowdury, T.; Al Amin, M.; Ahmed, K.M.U. Temporal Changes in Land Cover, Land Surface Temperature, Soil Moisture, and Evapotranspiration Using Remote Sensing Techniques—A Case Study of Kutupalong Rohingya Refugee Camp in Bangladesh. J. Geovis. Spat. Anal. 2023, 7, 11. [Google Scholar] [CrossRef]













| UTFVI Range | SUHI Phenomenon |
|---|---|
| <0 | None |
| 0.000–0.005 | Weak |
| 0.005–0.010 | Middle |
| 0.010–0.015 | Strong |
| 0.015–0.02 | Stronger |
| ≥0.020 | Strongest |
| Region | Season | Time | LST Max | ∆LST | LST Mean Urban | LST Mean Non-Urban | SUHI Intensity |
|---|---|---|---|---|---|---|---|
| Ile de Cayenne | - | - | 28.3 | 11.5 | 25 | 23.6 | 1.4 |
| Day | 34 | - | 29.6 | 27.3 | 2.6 | ||
| Night | 22.5 | - | 20.5 | 19.9 | 0.6 | ||
| Short rainy | - | 27.1 | 10.7 | 24.3 | 23.2 | 1.2 | |
| Day | 32.5 | - | 28.6 | 26.6 | 2 | ||
| Night | 21.8 | - | 20 | 21.7 | 0.4 | ||
| Short dry | - | 28.2 | 12.3 | 24.6 | 23.1 | 1.5 | |
| Day | 34.3 | - | 29.5 | 27 | 2.5 | ||
| Night | 22 | - | 19.7 | 19.2 | 0.5 | ||
| Long rainy | - | 27.4 | 10.9 | 23.9 | 22.5 | 1.4 | |
| Day | 32.8 | - | 28.2 | 26.1 | 2 | ||
| Night | 21.9 | - | 19.7 | 19 | 0.7 | ||
| Long dry | - | 30.3 | 12.6 | 27.1 | 25.5 | 1.6 | |
| Day | 36.6 | - | 32 | 29.4 | 2.6 | ||
| Night | 24 | - | 22.1 | 21.6 | 0.5 | ||
| Saint-Laurent | - | - | 27.1 | 7.7 | 24.1 | 23.1 | 1 |
| Day | 31 | - | 27.6 | 26.5 | 1.1 | ||
| Night | 23.2 | - | 20.7 | 19.8 | 0.9 | ||
| Short rainy | - | 26.2 | 6.8 | 23.3 | 22.3 | 1 | |
| Day | 29.6 | - | 26.4 | 25.2 | 1.2 | ||
| Night | 22.8 | - | 20.2 | 19.4 | 0.8 | ||
| Short dry | - | 27 | 8.3 | 24 | 22.6 | 1.4 | |
| Day | 31.2 | - | 28.5 | 26.5 | 1.9 | ||
| Night | 22.8 | - | 19.5 | 18.7 | 0.8 | ||
| Long rainy | - | 26.4 | 7.7 | 23.5 | 22.7 | 0.9 | |
| Day | 30.3 | - | 26.9 | 26.1 | 0.7 | ||
| Night | 22.6 | - | 20.2 | 19.2 | 1 | ||
| Long dry | - | 28.7 | 8.1 | 25.6 | 24.5 | 1.1 | |
| Day | 32.7 | - | 29.1 | 27.8 | 1.3 | ||
| Night | 24.6 | - | 22.1 | 21.3 | 0.9 |
Disclaimer/Publisher’s Note: The statements, opinions and data contained in all publications are solely those of the individual author(s) and contributor(s) and not of MDPI and/or the editor(s). MDPI and/or the editor(s) disclaim responsibility for any injury to people or property resulting from any ideas, methods, instructions or products referred to in the content. |
© 2024 by the authors. Licensee MDPI, Basel, Switzerland. This article is an open access article distributed under the terms and conditions of the Creative Commons Attribution (CC BY) license (https://creativecommons.org/licenses/by/4.0/).
Share and Cite
Ilunga, G.; Bechet, J.; Linguet, L.; Zermani, S.; Mahamat, C. Spatial and Temporal Variation of Urban Heat Islands in French Guiana. Sensors 2024, 24, 1931. https://doi.org/10.3390/s24061931
Ilunga G, Bechet J, Linguet L, Zermani S, Mahamat C. Spatial and Temporal Variation of Urban Heat Islands in French Guiana. Sensors. 2024; 24(6):1931. https://doi.org/10.3390/s24061931
Chicago/Turabian StyleIlunga, Gustave, Jessica Bechet, Laurent Linguet, Sara Zermani, and Chabakata Mahamat. 2024. "Spatial and Temporal Variation of Urban Heat Islands in French Guiana" Sensors 24, no. 6: 1931. https://doi.org/10.3390/s24061931
APA StyleIlunga, G., Bechet, J., Linguet, L., Zermani, S., & Mahamat, C. (2024). Spatial and Temporal Variation of Urban Heat Islands in French Guiana. Sensors, 24(6), 1931. https://doi.org/10.3390/s24061931

