Rapid and Non-Destructive Prediction of Moisture Content in Maize Seeds Using Hyperspectral Imaging
Abstract
1. Introduction
2. Materials and Methods
2.1. Samples
2.2. Experimental Equipment
2.3. Data Processing and Modeling Methods
2.3.1. Preprocessing Methods
2.3.2. Successive Projections Algorithm (SPA) Method
- Set the number of selected variables as , and choose any column () in the spectral matrix as the initial wavelength. The position of in the spectral matrix is marked as , hence can be represented as .
- Denote the set of remaining column vector positions as :where is the number of columns in the spectral matrix .
- Compute the projections of onto the remaining column vectors separately:
- Extract the spectral wavelength of the maximum projection vector, denoted as:
- Take the maximum projection value as the initial value for the next iteration, return to step two, and perform cyclic calculations.
- The combination of all bands obtained by dimensional reduction is denoted as :
2.3.3. Competitive Adaptive Reweighted Sampling (CARS) Method
- By employing the MC sampling method, a fixed number of samples is randomly selected each time from the calibration set for the modeling set, while the remaining samples form the prediction set for building the PLS model. The number of MC samples (N) must be predetermined.
- The weight of the absolute value of the regression coefficient in the PLS model for each iteration is calculated, denoted as :where represents the regression coefficient for the th variable, and represents the number of variables remaining in each sample.
- The wavelength with a minor is removed through the Exponential Decay Function (EDF). At the th time when establishing a PLS model through MC sampling, the proportion of retained wavelength points based on EDF is :where is the number of original wavelength points, and are constants, , and .
- During each sampling, the number of wavelength variables selected for PLS modeling using adaptive weighted sampling (ARS) is , and the RMSECV is calculated.
- After repeating times of sampling, the CARS algorithm yields sets of candidate feature wavelength subsets and their corresponding RMSECV values. The subset of wavelength variables corresponding to the minimum RMSECV value is chosen as the feature wavelengths.
2.3.4. Uninformative Variable Elimination (UVE) Method
- is a random noise matrix. Combine and to form a matrix , where the first columns of the matrix are and the last columns are .
- Establish a PLS regression model for and , and obtain the regression coefficient matrix and its regression vector .
- The average value and standard deviation of the regression vector can be obtained through the regression coefficient matrix . The calculation formula for is as follows:
- The threshold value of standard deviation is . If , then the variable is the preferred eigenvector, and the selected subset is the feature wavelength set extracted by the UVE algorithm.
2.3.5. Model Building and Evaluation
3. Results and Discussion
3.1. Sample Division
3.2. Spectral Curve Analysis
3.3. Spectral Preprocessing
3.4. Feature Wavelength Extraction
3.4.1. Feature Wavelengths Extracted by SPA
3.4.2. Feature Wavelength Extracted by CARS
3.4.3. Feature Wavelength Extracted by UVE
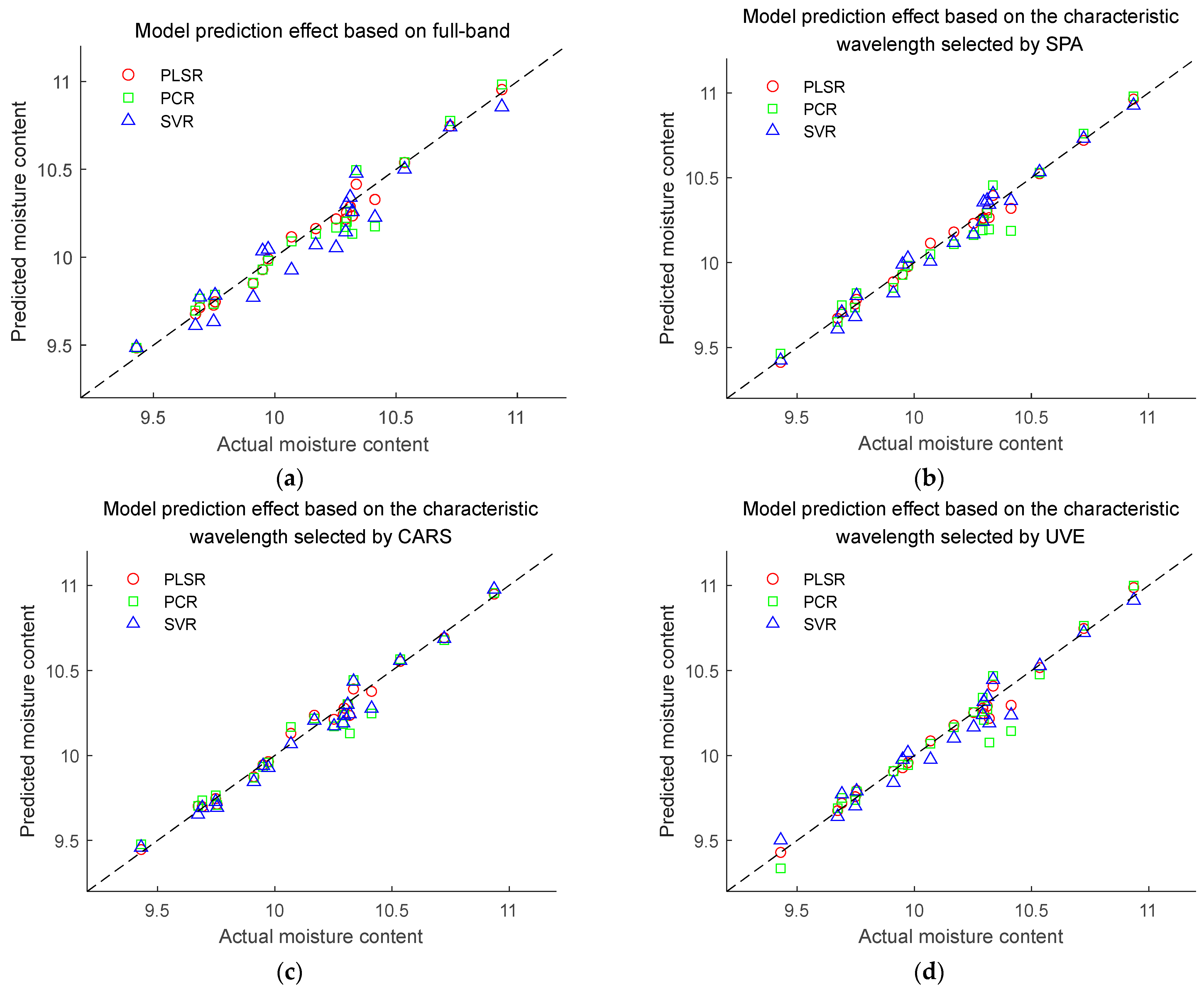
3.5. Establishment of Regression Model
3.6. Visualization Analysis of Moisture Content in Maize Seeds
4. Discussion
5. Conclusions
- Using seven preprocessing methods to establish a PLSR model for spectral data in the 1100–2498 nm band, it was found that the normalization method resulted in the highest value, the lowest value, and the best model stability.
- SPA, CARS, and UVE were employed to extract characteristic wavelengths. These methods resulted in the extraction of 17, 24, and 39 wavelengths, respectively, which constitute 7.8%, 11%, and 17.9% of the spectral data, reducing redundancy and irrelevant information, effectively lowering the dimensionality of the spectral data, speeding up data processing, and facilitating the construction of more accurate and robust prediction models.
- By integrating the feature wavelength extraction method with the modeling approach, we evaluated the efficacy of 12 models. The normalization-SPA-PLSR model exhibited notably high and values of 0.9917 and 0.9914, respectively, along with notably low and values of 0.0343 and 0.0257, respectively. This model demonstrated commendable stability and predictive accuracy, allowing for rapid, accurate, and loss-free detection of the moisture content in maize seeds.
- When we visualized the 20 hyperspectral images in the prediction set, the color of the visualized images of maize seeds varied according to moisture content. The moisture content range of the maize seeds can thus be determined by the color changes in the images.
Author Contributions
Funding
Institutional Review Board Statement
Informed Consent Statement
Data Availability Statement
Acknowledgments
Conflicts of Interest
References
- Zhou, K.C.; He, C.A.; Ji, C.X. Storage techniques and selection methods for maize seeds. Sci. Technol. Innov. 2020, 10, 126–127. [Google Scholar]
- Tenaillon, M.I.; Charcosset, A. A European perspective on maize history. Comptes Rendus Biol. 2011, 334, 221–228. [Google Scholar] [CrossRef] [PubMed]
- Niaz, I.; Dawar, S.; Sitara, U. Effect of different moisture and storage temperature on seed borne mycoflora of maize. Pak. J. Bot. 2011, 43, 2639–2643. [Google Scholar]
- Wang, J.S. A study on the technical conditions for storage of maize seeds. Seed 1994, 01, 6–9. [Google Scholar]
- Bashkir, I.; Defraeye, T.; Kudra, T.; Martynenko, A. Electrohydrodynamic drying of Plant-based foods and food model systems. Food Eng. Rev. 2020, 12, 473–497. [Google Scholar] [CrossRef]
- Yang, L.; Lv, Q.; Zhang, H. Experimental study on direct harvesting of corn kernels. Agriculture 2022, 12, 919. [Google Scholar] [CrossRef]
- An, D.; Zhang, L.; Liu, Z.; Liu, J.; Wei, Y. Advances in infrared spectroscopy and hyperspectral imaging combined with artificial intelligence for the detection of cereals quality. Crit. Rev. Food Sci. Nutr. 2022, 20, 9766–9796. [Google Scholar] [CrossRef]
- Yuan, L.; Yan, P.; Han, W. Detection of anthracnose in tea plants based on hyperspectral imaging. Comput. Electron. Agric. 2019, 167, 105039. [Google Scholar] [CrossRef]
- Deng, S.G.; Xu, Y.F.; Li, X.L.; He, Y. Moisture content prediction in tealeaf with near infrared hyperspectral imaging. Comput. Electron. Agric. 2015, 118, 38–46. [Google Scholar] [CrossRef]
- Wei, Y.Z.; Wu, F.Y.; Xu, J. Visual detection of the moisture content of tea leaves with hyperspectral imaging technology. J. Food Eng. 2019, 248, 89–96. [Google Scholar] [CrossRef]
- Mohammed, K.; Gamal, E.M.; Sun, D.W.; Paul, A. Prediction of some quality attributes of lamb meat using Near-infrared Hyperspectral Imaging and Multivariate Analysis. Anal. Chim. Acta 2011, 714, 57–67. [Google Scholar]
- Wang, Y.L.; Peng, Y.K.; Zhuang, Q.B.; Zhao, X.L. Feasibility analysis of NIR for detecting sweet corn seeds vigor. J. Cereal Sci. 2020, 93, 7. [Google Scholar] [CrossRef]
- Fan, Y.M.; Ma, S.C.; Wu, T.T. Individual wheat kernels vigor assessment based on NIR spectroscopy coupled with machine learning methodologies. Infrared Phys. Technol. 2020, 105, 103213. [Google Scholar] [CrossRef]
- Wang, S.N.; Tan, Y.; Liu, C.Y.; Song, S.Z.; Li, Z. Classification and identification of soybean varieties by density functional theory combined with Raman spectroscopy. J. Sens. Technol. Appl. 2022, 10, 177–186. [Google Scholar]
- Ma, T.; Tsuchikawa, S.; Inagaki, T. Rapid and non-destructive seed viability prediction using near-infrared hyperspectral imaging coupled with a deep learning approach. Comput. Electron. Agric. 2020, 177, 105683. [Google Scholar] [CrossRef]
- Appeltans, S.; Pieters, J.G.; Mouazen, A.M. Potential of laboratory hyperspectral data for in-field detection of Phytophthora infestans on potato. Precis. Agric. 2021, 23, 876–893. [Google Scholar] [CrossRef]
- Ruett, M.; Junker-Frohn, L.V.; Siegmann, B.; Ellenberger, J.; Jaenicke, H.; Whitney, C.; Luedeling, E.; Tiede-Arlt, P.; Rascher, U. Hyperspectral imaging for high-throughput vitality monitoring in ornamental plant production. Sci. Hortic. 2022, 291, 10. [Google Scholar] [CrossRef]
- Nicola, C.; Martin, B.W.; Stephen, G.; Ian, D.F. Rapid prediction of single green coffee bean moisture and lipid content by hyperspectral imaging. J. Food Eng. 2018, 227, 18–29. [Google Scholar]
- Xu, Y.; Zhang, H.; Zhang, C.; Wu, P.; Li, J.; Xia, Y.; Fan, S. Rapid prediction and visualization of moisture content in single cucumber (Cucumis sativus L.) seed using hyperspectral imaging technology. Infrared Phys. Technol. 2019, 102, 103034. [Google Scholar] [CrossRef]
- Jennyfer, J.D.; Jose, D.G.; Kevin, F.Y. Rapid and Non-destructive measurement of moisture content of peanut (Arachis hypogaea L.) kernel using a near-infrared hyperspectral imaging technique. J. Food Meas. Charact. 2021, 15, 3069–3078. [Google Scholar]
- Wakholi, C.; Kandpal, L.M.; Lee, H.; Bae, H.; Park, E.; Kim, M.S.; Mo, C.; Lee, W.H.; Cho, B.K. Rapid assessment of corn seed viability using short wave infrared line-scan hyperspectral imaging and chemometrics. Sens. Actuators B-Chem. 2018, 255, 498–507. [Google Scholar] [CrossRef]
- Zhang, L.; Wang, Y.; Wei, Y.; An, D. Near-infrared hyperspectral imaging technology combined with deep convolutional generative adversarial network to predict oil content of single maize kernel. Food Chem. 2022, 370, 131047. [Google Scholar] [CrossRef] [PubMed]
- Lian, M.; Zhang, S.; Ren, R. Nondestructive detection of moisture content in fresh fruit corn based on hyperspectral technology. Food Mach. 2021, 239, 127–132. [Google Scholar]
- Wang, Z.; Fan, S.X.; Wu, J.Z.; Zhang, C.; Xu, F.Y.; Yang, X.H.; Li, J.B. Application of long-wave near infrared hyperspectral imaging for determination of moisture content of single maize seed. Spectrochim. Acta 2021, 254, 19666–119666. [Google Scholar] [CrossRef] [PubMed]
- GB 5009.3-2016; National Food Safety Standard—Determination of Moisture in Foods. 2016. Available online: https://www.chinesestandard.net/AMP/English.amp.aspx/GB5009.3-2016 (accessed on 13 March 2024).
- Baranowski, P.; Mazurek, W.; Pastuszka-Woźniak, J. Supervised Classification of Bruised Apples with Respect to the Time After bBruising on the Basis of Hyperspectral Imaging Data. Postharvest Biol. Technol. 2013, 86, 249–258. [Google Scholar] [CrossRef]
- Menesatti, P.; Zanella, A.; Andrea, S. Supervised Multivariate Analysis of Hyper-spectral NIR Images to Evaluate the Starch Index of Apples. Food Bioprocess Technol. 2009, 2, 308–314. [Google Scholar] [CrossRef]
- Yu, Z.H.; Chen, X.C.; Zhang, J.C.; Su, Q.; Wang, K.; Liu, W.H. Rapid and non-destructive estimation of moisture content in caragana korshinskii pellet feed using hyperspectral imaging. Sensors 2023, 23, 7592. [Google Scholar] [CrossRef]
- Rinnan, S.; Berg, F.; Engelsen, S.B. Review of the most common pre-processing techniques for near-infrared spectra. TrAC Trends Anal. Chem. 2009, 28, 1201–1222. [Google Scholar] [CrossRef]
- Gerretzen, J.; Szymańska, E.; Bart, J.; Davies, A.N.; Manen, H.J.; Heuvel, E.R.; Jansen, J.J.; Buydens, M.C. Boosting model performance and interpretation by entangling preprocessing selection and variable selection. Anal. Chim. Acta 2016, 938, 44–52. [Google Scholar] [CrossRef]
- Araújo, M.C.U.; Saldanha, T.C.B.; Galvão, R.K.H.; Yoneyama, T.; Chame, H.C.; Visani, V. The successive projections algorithm for variable selection in spectroscopic multicomponent analysis. Chemom. Intell. Lab. Syst. 2001, 57, 65–73. [Google Scholar] [CrossRef]
- Kawakami Harrop Galvão, R.; Fernanda Pimentel, M.; Cesar Ugulino Araujo, M.; Yoneyama, T.; Visani, V. Aspects of the successive projections algorithm for variable selection in multivariate calibration applied to plasma emission spectrometry. Anal. Chim. Acta 2001, 443, 107–115. [Google Scholar] [CrossRef]
- Malley, D.F.; McClure, C.; Martin, P.D.; Buckley, K.; McCaughey, W.P. Compositional analysis of cattle manure during composting using a field-portable near-infrared spectrometer. Commun. Soil. Sci. Plant Anal. 2005, 36, 455–475. [Google Scholar] [CrossRef]
- Li, H.; Liang, Y.; Xu, Q.; Cao, D. Key wavelengths screening using competitive adaptive reweighted sampling method for multivariate calibration. Anal. Chim. Acta 2009, 648, 77–84. [Google Scholar] [CrossRef]
- Miao, X.; Miao, Y.; Gong, H.; Tao, S.; Chen, Z.; Wang, J.; Chen, Y.; Chen, Y. NIR spectroscopy coupled with chemometric algorithms for the prediction of cadmium content in rice samples. Spectrochim. Acta Part A Mol. Biomol. Spectrosc. 2021, 257, 119700. [Google Scholar] [CrossRef] [PubMed]
- Liu, Y.; Wang, Q.; Shi, X.; Gao, X. Hyperspectral nondestructive detection model of chlorogenic acid content during storage of honeysuckle. Trans. Chin. Soc. Agric. Eng. 2019, 35, 291–299. [Google Scholar]
- Qin, C.; Shi, G.; Tao, J.; Yu, H.; Jin, Y.; Xiao, D.; Zhang, Z.; Liu, C. An adaptive hierarchical decomposition-based method for multi-step cutterhead torque forecast of shield machine. Mech. Syst. Signal Process. 2022, 175, 109148. [Google Scholar] [CrossRef]
- Wang, Z.; Li, J.; Zhang, C.; Fan, S. Development of a general prediction model of moisture content in maize seeds based on LW-NIR hyperspectral imaging. Agriculture 2023, 13, 359. [Google Scholar] [CrossRef]
- Chu, X.L.; Chen, P.; Li, J.Y. Progresses and perspectives of near infrared spectroscopy analytical technology. J. Instrum. Anal. 2020, 39, 1181–1188. [Google Scholar]
- David, B.; Heiko, D.; Sina, B.; Wolfgang, F.; Peter, I. Determining particle size and moisture content by near-infrared spectroscopy in the granulation of naproxen sodium. J. Pharmaceut. Biomed. 2018, 151, 209–218. [Google Scholar]








| Sample Set | Number of Samples | Moisture Content % | |||
|---|---|---|---|---|---|
| Maximum Value | Minimum Value | Average Value | Standard Deviation | ||
| Calibration set | 60 | 11.9930 | 7.3770 | 9.118 | 0.3786 |
| Validation set | 20 | 11.9770 | 7.4300 | 9.2719 | 0.3900 |
| Total sample | 80 | 11.9930 | 7.3770 | 9.2335 | 0.3804 |
| Pretreatment Method | PCs | Calibration Set | Validation Set | ||
|---|---|---|---|---|---|
| No pretreatment | 7 | 0.9772 | 0.0571 | 0.9720 | 0.0632 |
| Moving Average | 7 | 0.9789 | 0.0553 | 0.9746 | 0.0589 |
| S–G smoothing | 7 | 0.9792 | 0.0549 | 0.9732 | 0.0596 |
| Normalization | 7 | 0.9890 | 0.0378 | 0.9886 | 0.0375 |
| Baseline | 7 | 0.9835 | 0.0485 | 0.9791 | 0.0548 |
| SNV | 9 | 0.9842 | 0.0526 | 0.9811 | 0.0497 |
| MSC | 7 | 0.9774 | 0.0568 | 0.9723 | 0.0631 |
| Detrending | 8 | 0.9883 | 0.0406 | 0.9730 | 0.0624 |
| Model | Bands | PCs | Calibration Set | Validation Set | Prediction Set | |||
|---|---|---|---|---|---|---|---|---|
| PLSR | 218 | 7 | 0.9878 | 0.0414 | 0.9811 | 0.0525 | 0.9848 | 0.0366 |
| PCR | 218 | 7 | 0.9654 | 0.0699 | 0.9545 | 0.0815 | 0.9371 | 0.0687 |
| SVMR | 218 | 0.9436 | 0.0920 | 0.8701 | 0.1379 | 0.9193 | 0.0895 | |
| SPA-PLSR | 17 | 7 | 0.9917 | 0.0343 | 0.9891 | 0.0401 | 0.9914 | 0.0257 |
| SPA-PCR | 17 | 7 | 0.9719 | 0.0630 | 0.9620 | 0.0742 | 0.9547 | 0.0590 |
| SPA-SVMR | 17 | 0.9853 | 0.0468 | 0.9672 | 0.0691 | 0.9798 | 0.0456 | |
| CARS-PLSR | 24 | 8 | 0.9872 | 0.0426 | 0.9818 | 0.0520 | 0.9889 | 0.0315 |
| CARS-PCR | 24 | 8 | 0.9618 | 0.0735 | 0.9472 | 0.0877 | 0.9550 | 0.0611 |
| CARS-SVMR | 24 | 0.9747 | 0.0619 | 0.9566 | 0.0817 | 0.9738 | 0.0470 | |
| UVE-PLSR | 39 | 9 | 0.9899 | 0.0378 | 0.9878 | 0.0426 | 0.9854 | 0.0309 |
| UVE-PCR | 39 | 8 | 0.9333 | 0.0971 | 0.9210 | 0.1071 | 0.9322 | 0.0617 |
| UVE-SVMR | 39 | 0.9714 | 0.0695 | 0.9634 | 0.0844 | 0.9598 | 0.0605 | |
Disclaimer/Publisher’s Note: The statements, opinions and data contained in all publications are solely those of the individual author(s) and contributor(s) and not of MDPI and/or the editor(s). MDPI and/or the editor(s) disclaim responsibility for any injury to people or property resulting from any ideas, methods, instructions or products referred to in the content. |
© 2024 by the authors. Licensee MDPI, Basel, Switzerland. This article is an open access article distributed under the terms and conditions of the Creative Commons Attribution (CC BY) license (https://creativecommons.org/licenses/by/4.0/).
Share and Cite
Xue, H.; Xu, X.; Yang, Y.; Hu, D.; Niu, G. Rapid and Non-Destructive Prediction of Moisture Content in Maize Seeds Using Hyperspectral Imaging. Sensors 2024, 24, 1855. https://doi.org/10.3390/s24061855
Xue H, Xu X, Yang Y, Hu D, Niu G. Rapid and Non-Destructive Prediction of Moisture Content in Maize Seeds Using Hyperspectral Imaging. Sensors. 2024; 24(6):1855. https://doi.org/10.3390/s24061855
Chicago/Turabian StyleXue, Hang, Xiping Xu, Yang Yang, Dongmei Hu, and Guocheng Niu. 2024. "Rapid and Non-Destructive Prediction of Moisture Content in Maize Seeds Using Hyperspectral Imaging" Sensors 24, no. 6: 1855. https://doi.org/10.3390/s24061855
APA StyleXue, H., Xu, X., Yang, Y., Hu, D., & Niu, G. (2024). Rapid and Non-Destructive Prediction of Moisture Content in Maize Seeds Using Hyperspectral Imaging. Sensors, 24(6), 1855. https://doi.org/10.3390/s24061855
