Design and Implementation of a Linear Active Disturbance Rejection Control-Based Position Servo Control System of an Electromotive Valve for Exhaust Gas Recirculation
Abstract
1. Introduction
- A novel type of electromotive valve driven by LATM is introduced. We analyze the dynamics of the system through the models of LATM and transmission.
- For the EM valve application in exhaust gas recirculation, we propose a new approach to estimate and compensate for the uncertainties of both internal model mismatch and external disturbances.
- The parameters of the EM valve are obtained from the laboratory.
- The proposed approach introduces a disturbance rejection technique to ensure the accuracy and real-time performance of the EM valve under slowly varying plant dynamics and uncertain disturbances.
2. Structure and Model of EM EGR Valve
2.1. Structure of LTAM-Driven EM EGR Valve
2.2. Plant Modeling
2.2.1. Modeling LATM with Torsion Spring
2.2.2. Modeling the Transmission Mechanism
3. Linear ADRC Based Position Servo Control System
3.1. Overall Design of Position Controller Based on LADRC
3.2. Order Analysis
3.3. Design of LADRC
3.4. Parameter Tuning
3.5. Simulation Verification
4. Design and Implement of Position Servo System
5. Experimental Verification
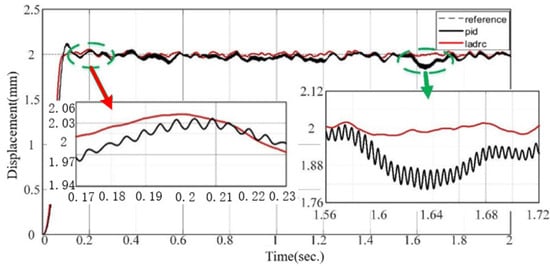
5.1. Gate Position Accuracy Verification under Slow-Varying Plant Dynamics
5.2. Step Response and Shock-Type Disturbance Rejection
5.3. Gas Flow Control Performance of EM Valve under Inner and External Uncertainties
6. Conclusions
- (1)
- This paper proposes a design scheme for a LADRC-based position servo control system that can effectively guarantee the performance of the electromotive valve under slowly varying plant dynamics and uncertain disturbances.
- (2)
- The method presented in this paper exhibits good real-time response capability and strong suppression capability against external shock-type disturbances. The EM valve quickly returns to the desired position after the occurrence of a shock response, with a maximum deviation of 1.07 mm. In addition, the steady-state error after recovery is less than 0.001 mm, and the recovery time after the shock-type disturbance is about 240 ms.
- (3)
- The flow characteristics of different parts under different valve openings are very close to each other, and there is no noticeable difference in the error performance, and the airflow and the valve opening present a very close linear relationship, which indicates that the method in this paper has a good suppression effect on the internal and external uncertainties, and it can achieve accurate control of airflow at different valve openings.
- (4)
- The system design has good performance in terms of airflow control. The repeatability of airflow control is generally within 5%, and its standard deviation is less than 0.2 m3/h.
Author Contributions
Funding
Institutional Review Board Statement
Informed Consent Statement
Data Availability Statement
Acknowledgments
Conflicts of Interest
References
- Mourad, M.; Mahmoud, K.; Mohamed, S. Improving diesel engine performance and emissions characteristics fuelled with biodiesel. Fuel 2021, 302, 121097. [Google Scholar] [CrossRef]
- Jiang, X.; Wei, H.; Zhou, L.; Chen, R. Numerical Study on the Effects of Multiple-Injection Coupled with EGR on Combustion and NOx Emissions in a Marine Diesel Engine. Energy Procedia 2019, 158, 4429–4434. [Google Scholar] [CrossRef]
- Reddy, E.; Keerthana, B.V.S.; Raju, V.D.; Sai, M.; Dhanush, B. Mitigation of NOx emissions with application of exhaust gas recir-culation on diesel engine fuelled with diesel-corn seed oil biodiesel blend. Int. J. Ambient Energy 2020, 43, 1–34. [Google Scholar]
- Sun, C.; Liu, Y.; Qiao, X.; Ju, D.; Tang, Q.; Fang, X.; Zhou, F. Experimental study of effects of exhaust gas recirculation on combustion, performance, and emissions of DME-biodiesel fueled engine. Energy 2020, 197, 117233. [Google Scholar] [CrossRef]
- Lu, D.; Theotokatos, G.; Zhang, J.; Zeng, H.; Cui, K. Comparative Assessment and Parametric Optimisation of Large Marine Two-Stroke Engines with Exhaust Gas Recirculation and Alternative Turbocharging Systems. J. Mar. Sci. Eng. 2022, 10, 351. [Google Scholar] [CrossRef]
- Nag, S.; Sharma, P.; Gupta, A.; Dhar, A. Experimental study of engine performance and emissions for hydrogen diesel dual fuel engine with exhaust gas recirculation. Int. J. Hydrogen Energy 2019, 44, 12163–12175. [Google Scholar] [CrossRef]
- Wu, H.W.; Hsu, T.T.; He, J.Y.; Fan, C.M. Optimal performance and emissions of diesel/hydrogen-rich gas engine varying intake air temperature and EGR ratio. Appl. Therm. Eng. 2017, 124, 381–392. [Google Scholar] [CrossRef]
- Öztürk, E.; Can, Ö. Effects of EGR, injection retardation and ethanol addition on combustion, performance and emissions of a DI diesel engine fueled with canola biodiesel/diesel fuel blend. Energy 2022, 244, 123129. [Google Scholar] [CrossRef]
- Aravind, M.A.; Dinesh, N.S.; Rajanna, K. Application of empc for precise position control of dc-motor system with backlash. Control Eng. Pract. 2020, 100, 104422. [Google Scholar]
- Altan, A.; Hacioglu, R. Model predictive control of three-axis gimbal system mounted on UAV for real-time target tracking under external disturbances. Mech. Syst. Signal Process. 2020, 138, 106548. [Google Scholar] [CrossRef]
- Kumar, S.S.; Anitha, G. A novel self-tuning fuzzy logic-based PID controllers for two-axis gimbal stabilization in a missile seeker. Int. J. Aerosp. Eng. 2021, 2021, 8897556. [Google Scholar]
- Lee, D.H.; Tran, D.Q.; Kim, Y.B.; Chakir, S. A robust double active control system design for disturbance suppression of a two-Axis gimbal system. Electronics 2020, 9, 1638. [Google Scholar] [CrossRef]
- Shen, T.; Kang, M.; Gao, J.; Zhang, J.; Wu, Y. Challenges and solutions in automotive powertrain systems. J. Control Decis. 2018, 5, 61–93. [Google Scholar] [CrossRef]
- Oltean, S.E.; Dulau, M.; Duka, A.V. Model reference adaptive control design for slow processes. A case study on level process control. Proc. Technol. 2016, 22, 629–636. [Google Scholar] [CrossRef][Green Version]
- Lu, J.; Chang, S. Precise motion control of an electromagnetic valve actuator with adaptive robust compensation of combustion force. J. Frankl. Inst. 2019, 356, 1750–1770. [Google Scholar] [CrossRef]
- Choi, S.Y.; Lee, S.H.; Lee, S.B. A study on the electronic EGR valve control method. J. Korea Acad. Ind. Coop. Soc. 2014, 15, 2594–2602. [Google Scholar]
- Kim, H.J.; Son, Y.D.; Kim, J.M. Improved Position Control for an EGR Valve System with Low Control for an EGR Valve System with Low Control Frequency. Energies 2020, 13, 457. [Google Scholar] [CrossRef]
- Bhuiyan, H.; Lee, J.-H. Low cost position controller for exhaust gas recirculation valve system. Energies 2018, 11, 2171. [Google Scholar] [CrossRef]
- Ashok, B.; Denis, A.S.; Ramesh, K.C. An Integrated Pedal Follower and Torque Based Approach for Electronic Throttle Control in a Motorcycle Engine. Eng. J. 2017, 21, 63–80. [Google Scholar]
- Sheng, W.; Bao, Y. Fruit fly optimization algorithm based fractional order fuzzy-PID controller for electronic throttle. Nonlinear Dyn. 2013, 73, 611–619. [Google Scholar] [CrossRef]
- Rajaei, N.; Han, X.; Chen, X.; Zheng, M. Model Predictive Control of Exhaust Gas Recirculation Valve; SAE Technical Paper 2010-01-0240; SAE International: Warrendale, PA, USA, 2010. [Google Scholar]
- Cheng, W.; Tan, Y.; Lu, Y.; Dong, R.; Tan, Q.; Chen, X. Nonlinear internal model control of EGR valve. In Proceedings of the 2019 12th Asian Control Conference (ASCC), Kitakyushu, Japan, 9–12 June 2019; pp. 1233–1236. [Google Scholar]
- Tan, Y.; Cheng, W.; Dong, R.; Tan, Q.; Cao, Q. Online optimizing positioning control with model error compensator for LEGRV system. IEEE/ASME Trans. Mechatron. 2020, 25, 594–603. [Google Scholar] [CrossRef]
- Rajaei, N. Model Based Control of Exhaust Gas Recirculation Valves and Estimation of Spring Torque. Master’s Thesis, University of Windsor, Windsor, ON, Canada, 2010. (In Canada). [Google Scholar]
- Gao, J.; Feng, K.; Wang, Y.; Wu, Y.; Chen, H. Design, implementation and experimental verification of a compensator-based triple-step model reference controller for an automotive electronic throttle. Control Eng. Pract. 2020, 100, 104447. [Google Scholar] [CrossRef]
- Li, Y.; Yang, B.; Zheng, T.; Peeta, S. Extended-State-Observer-Based Double-Loop Integral Sliding Mode Control of Electronic Throttle Valve. IEEE Trans. Intell. Transp. Syst. 2015, 16, 2501–2510. [Google Scholar] [CrossRef]
- Liu, J.; Zhao, Y.; Fan, X.; Zhang, X. The Invention Relates to a Stator Double Excitation Torque Motor with Limited Turning Angle. Micromotors 2019, 52, 20–22. [Google Scholar]
- Guo, L.; Zheng, C.L.; Wang, H. Design and Simulation of Semi-Immersed Limited Angle Torque Motor. Small Spec. Electr. Mach. 2021, 49, 22–25. [Google Scholar]
- Yu, G.; Xu, Y.; Zou, J.; Xiao, L.; Zheng, B. Modeling and analysis of limited-angle torque motor considering nonlinear effects. IEEE Trans. Transp. Electr. 2020, 6, 1457–1465. [Google Scholar] [CrossRef]
- Yang, Y.; Wang, J.; Zhou, S.; Huang, T. Design of a novel coaxial eccentric indexing cam mechanism. Mech. Mach. Theory 2019, 132, 1–12. [Google Scholar] [CrossRef]
- Han, J. From PID to active disturbance rejection control. IEEE Trans. Ind. Electron. 2009, 56, 900–906. [Google Scholar] [CrossRef]
- Wang, Z.; Gong, Z.; Chen, Y.; Sun, M.; Xu, J. Practical control implementation of tri-tiltRotor flying wing unmanned aerial vehicles based upon active disturbance rejection control. Proc. Inst. Mech. Eng. Part G J. Aerosp. Eng. 2020, 234, 943–960. [Google Scholar] [CrossRef]
- Fu, T.; Gao, Y.; Guan, L.; Qin, C. An LADRC Controller to Improve the Robustness of the Visual Tracking and Inertial Stabilized System in Luminance Variation Conditions. Actuators 2022, 11, 118. [Google Scholar] [CrossRef]
- Gao, Z. Scaling and bandwidth-parameterization based controller tuning. In Proceedings of the 2003 American Control Conference, New York, NY, USA, 9–13 July 2003; Volume 1–6, pp. 4989–4996. [Google Scholar]
















| Symbol | Parameter | Value |
|---|---|---|
| Equivalent resistance of armature winding | 3.5 | |
| Winding inductance | 32 | |
| Input voltage of power stage | 12 | |
| Back electromotive force coefficient | 0.126 | |
| Motor shaft moment of inertia | 0.0019 | |
| Spring torque coefficient | 0.051 | |
| Motor shaft viscous damping coefficient | 0.0025 | |
| Proportional coefficient of transmission | 0.0008 -- | |
| Proportional coefficient of transmission | 0.0486 -- | |
| Torque spring initial torque | 0.04 | |
| Equivalent viscous friction coefficient | 0.013 |
Disclaimer/Publisher’s Note: The statements, opinions and data contained in all publications are solely those of the individual author(s) and contributor(s) and not of MDPI and/or the editor(s). MDPI and/or the editor(s) disclaim responsibility for any injury to people or property resulting from any ideas, methods, instructions or products referred to in the content. |
© 2024 by the authors. Licensee MDPI, Basel, Switzerland. This article is an open access article distributed under the terms and conditions of the Creative Commons Attribution (CC BY) license (https://creativecommons.org/licenses/by/4.0/).
Share and Cite
Cheng, X.; Yin, J.; Li, X.; Zhou, R.; Fu, C. Design and Implementation of a Linear Active Disturbance Rejection Control-Based Position Servo Control System of an Electromotive Valve for Exhaust Gas Recirculation. Sensors 2024, 24, 1393. https://doi.org/10.3390/s24051393
Cheng X, Yin J, Li X, Zhou R, Fu C. Design and Implementation of a Linear Active Disturbance Rejection Control-Based Position Servo Control System of an Electromotive Valve for Exhaust Gas Recirculation. Sensors. 2024; 24(5):1393. https://doi.org/10.3390/s24051393
Chicago/Turabian StyleCheng, Xin, Jianzhong Yin, Xiaokang Li, Rougang Zhou, and Chong Fu. 2024. "Design and Implementation of a Linear Active Disturbance Rejection Control-Based Position Servo Control System of an Electromotive Valve for Exhaust Gas Recirculation" Sensors 24, no. 5: 1393. https://doi.org/10.3390/s24051393
APA StyleCheng, X., Yin, J., Li, X., Zhou, R., & Fu, C. (2024). Design and Implementation of a Linear Active Disturbance Rejection Control-Based Position Servo Control System of an Electromotive Valve for Exhaust Gas Recirculation. Sensors, 24(5), 1393. https://doi.org/10.3390/s24051393

