An Experimental Investigation on the Dynamic Response of Buried RC Pipes Induced by Falling Impact
Abstract
1. Introduction
2. Materials and Methods
2.1. Experimental Program
2.1.1. Selection of Experiment Site
2.1.2. Selection of Experimental Pipes
2.1.3. Design of the Falling Object
2.2. Operating Procedures
3. Dynamic Signal Sensors and Test Methods
3.1. Measurement of Dynamic Strain
3.2. Measurement of Dynamic Earth Pressure
3.3. Measurement of Vibration Velocity
3.4. Measurement of the Trajectory of Falling Objects
4. Analysis of Experimental Results
4.1. Falling Velocity and Pressure of the Falling Object
4.2. Dynamic Pressure in the Soil Induced by Falling Impact
4.3. Surface Vibration Due to Impact of Falling Impact
4.4. Dynamic Strain in Pipes Due to Falling Impact
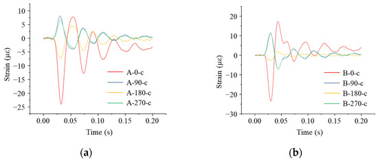
4.4.1. Impact Point Located Directly above the Pipe
4.4.2. Impact Point 1 m away from the Pipe Axis
4.4.3. Impact Point 2 m away from the Pipe Axis
4.4.4. Impact Point 3 m away from the Pipe Axis
4.4.5. Strain Distribution Law of Pipeline under Falling Impact
5. Conclusions
- In the experiment, the earth pressure at 0.5 m directly below the impact point of the falling object could reach 259.2 kPa, and the earth pressure at 1 m directly below the impact point was 88.6 kPa. The dynamic pressure of the soil body decreased more rapidly in the soil. From the characteristics of the soil pressure–time curve, we found that the impact of the falling object generates permanent additional pressure in a certain range of soil.
- The main shock directions of ground vibration under the falling impact load were horizontal and horizontal tangential directions. The vibration caused by the falling impact on the ground attenuation speed was faster. The shock vibration frequency was between 10 Hz and 40 Hz. This frequency is between the natural earthquake and the blasting vibration frequency.
- Under the impact, the dominant dynamic strain of the buried pipeline was the circumferential strain. When the point of impact was located above the pipeline, the maximum strain of the pipeline was the compressive strain. When the point of impact was located diagonally above the pipeline, the dominant strain at the top of the pipeline model was the tensile strain, and the failure mode of the pipeline was tensile damage. The cross-section of the pipe closest to the impact point was the most susceptible to damage.
- In this paper, the experimental process of buried reinforced concrete pipelines under the impact of a falling object was described in detail, and the test data obtained were analyzed to provide a preliminary understanding of the dynamic response characteristics of buried pipelines under surface impact. The study results reveal the possible damage modes of the pipeline under the action of ground impact and provide a direction for the design of the impact resistance of buried reinforced concrete pipelines.
- The experiments conducted in this study have some limitations. The quantity of data obtained in the tests was limited, and the soil around the pipeline inevitably underwent deformation as the test progressed, leading to changes in the initial conditions. In the next step, numerical simulations will be used to more extensively study the dynamic response characteristics of pipelines under the surface impact, and at the same time, other factors such as using a falling object with a different shape, different falling velocities, and different depths of the pipeline and pipe diameters will be taken into account.
Author Contributions
Funding
Institutional Review Board Statement
Informed Consent Statement
Data Availability Statement
Conflicts of Interest
References
- Rathi, S.O.; Khandve, P.V. Demolition of buildings—An overview. Int. J. Adv. Eng. Res. Dev. 2014, 1, 1–8. [Google Scholar]
- Wang, M.; Zhong, M.; Long, Y.; Ding, K.; Xie, X.; Ying, L. Study on Dynamic Strain Regularity and Influencing Factors of Shallow Buried Metal Pipe under Collapse Impact Load. Shock Vib. 2018, 2018, 8792564. [Google Scholar] [CrossRef]
- Yang, L.; Li, S.M.; Chen, D.H.; Wu, Z.M. Impact Dynamics Analysis of Shed Tunnel Structure Hit by Collapse Rock-Fall. Appl. Mech. Mater. 2011, 99, 1023–1026. [Google Scholar] [CrossRef]
- Wyllie, D.C. Rock Fall Engineering; CRC Press: Boca Raton, FL, USA, 2014. [Google Scholar]
- Xiao, S.; Ning, G.; Li, R. Study on geological hazard risk assessment and risk management of oil and gas pipeline projects. In Proceedings of the ICPTT 2012: Better Pipeline Infrastructure for a Better Life, Wuhan, China, 19–22 October 2012; pp. 378–388. [Google Scholar] [CrossRef]
- Liu, M.; Yang, M. Modeling the behavior of natural gas pipeline impacted by falling objects. Eng. Fail. Anal. 2014, 42, 45–59. [Google Scholar] [CrossRef]
- Mehrjardi, G.T.; Karimi, M. Numerical Modeling of Buried Steel Pipe Subjected to Impact Load. J. Pipeline Syst. Eng. Pract. 2021, 12, 04021048. [Google Scholar] [CrossRef]
- Sajid, Z.; Khan, M.K.; Rahnama, A.; Moghaddam, F.S.; Vardhan, K.; Kalani, R. Computational Fluid Dynamics (CFD) Modeling and Analysis of Hydrocarbon Vapor Cloud Explosions (VCEs) in Amuay Refinery and Jaipur Plant Using FLACS. Processes 2021, 9, 960. [Google Scholar] [CrossRef]
- Guo, X.; Godinez, J.; Walla, N.J.; Silaen, A.K.; Oltmann, H.; Thapliyal, V.; Bhansali, A.; Pretorius, E.; Zhou, C.Q. Computational Investigation of Inclusion Removal in the Steel-Refining Ladle Process. Processes 2021, 9, 1048. [Google Scholar] [CrossRef]
- Anil, Ö.; Erdem, R.T.; Kantar, E. Improving the impact behavior of pipes using geofoam layer for protection. Int. J. Press. Vessel. Pip. 2015, 132, 52–64. [Google Scholar] [CrossRef]
- Feng, W.; Huang, R. Quick Assessment on Impact Stress over Buried Pipelines Due to Rockfall. In Engineering Geology for Society and Territory—Volume 2: Landslide Processes; Springer International Publishing: Berlin/Heidelberg, Germany, 2015; pp. 1753–1756. [Google Scholar] [CrossRef]
- Obeid, O.; Alfano, G.; Bahai, H.; Jouhara, H. Mechanical response of a lined pipe under dynamic impact. Eng. Fail. Anal. 2018, 88, 35–53. [Google Scholar] [CrossRef]
- Xia, Y.; Jiang, N.; Zhou, C.; Sun, J.; Luo, X.; Wu, T. Dynamic behaviors of buried reinforced concrete pipelines with gasketed bell-and-spigot joints subjected to tunnel blasting vibration. Tunn. Undergr. Space Technol. 2021, 118, 104172. [Google Scholar] [CrossRef]
- GB/T 11863-2023; Concrete and Reinforced Concrete Drainage Pipes. Standardization Administration of the P.R.C.: Beijing, China, 2023.
- Jiang, N.; Gao, T.; Zhou, C.; Luo, X. Effect of excavation blasting vibration on adjacent buried gas pipeline in a metro tunnel. Tunn. Undergr. Space Technol. 2018, 81, 590–601. [Google Scholar] [CrossRef]
- Huang, X.; Xie, X.; Sun, J.; Zhong, D.; Yao, Y.; Tu, S. Monitoring and analysis of the collapse process in blasting demolition of tall reinforced concrete chimneys. Sensors 2023, 23, 6240. [Google Scholar] [CrossRef] [PubMed]























| No. | Soil Type Name | Measured Values of Geotechnical Experiments | |||
|---|---|---|---|---|---|
| Poisson’s Ratio | Density (ρ/cm3) | Cohesion | Internal Friction Angle | ||
| 1 | Miscellaneous fill | - | 1.80 | 4 | 18 |
| 2 | Silty clay | 0.3 | 1.90 | 34 | 13.8 |
| Inner Diameter (m) | Wall Thickness (m) | External Diameter (m) | Concrete Consumption | ||
|---|---|---|---|---|---|
| Volumetric (m3) | Weight (kg) | ||||
| 1.5 | 0.15 | 1.8 | 0.777 | 1865 | |
| Reinforcing steel consumption (kg) | Weight (kg) | Minimum reinforcing area (mm2) | External pressure load (kN) | ||
| Internal layer | Outer layer | Cracks | Destroy | ||
| 78 | 1943 | 707 | 441 | 99 | 150 |
| Impact Point | Monitoring Point | vX/m·s−1 | fX/Hz | vY/m·s−1 | fY/Hz | vZ/m·s−1 | fZ/Hz |
|---|---|---|---|---|---|---|---|
| 0 m | A | 2.43 | 23.2 | 2.11 | 26.0 | 0.74 | 26.5 |
| B | 1.27 | 27.0 | 1.73 | 27.0 | 0.47 | 30.5 | |
| C | 0.55 | 26.2 | 0.70 | 26.8 | 0.72 | 20.5 | |
| 1 m | A | 2.23 | 22.2 | 2.01 | 26.8 | 0.46 | 27.8 |
| B | 0.98 | 28.2 | 1.44 | 36.0 | 0.42 | 40.2 | |
| C | 0.44 | 27.2 | 0.49 | 27.0 | 0.59 | 30.8 | |
| 2 m | A | 1.54 | 25.0 | 1.37 | 26.6 | 0.38 | 27.5 |
| B | 0.59 | 28.5 | 1.34 | 28.0 | 0.44 | 34.2 | |
| C | 0.21 | 25.8 | 0.15 | 27.4 | 0.29 | 26.6 |
Disclaimer/Publisher’s Note: The statements, opinions and data contained in all publications are solely those of the individual author(s) and contributor(s) and not of MDPI and/or the editor(s). MDPI and/or the editor(s) disclaim responsibility for any injury to people or property resulting from any ideas, methods, instructions or products referred to in the content. |
© 2024 by the authors. Licensee MDPI, Basel, Switzerland. This article is an open access article distributed under the terms and conditions of the Creative Commons Attribution (CC BY) license (https://creativecommons.org/licenses/by/4.0/).
Share and Cite
Yao, Y.; Jiang, N.; Lyu, G.; Sun, J.; Yang, F. An Experimental Investigation on the Dynamic Response of Buried RC Pipes Induced by Falling Impact. Sensors 2024, 24, 929. https://doi.org/10.3390/s24030929
Yao Y, Jiang N, Lyu G, Sun J, Yang F. An Experimental Investigation on the Dynamic Response of Buried RC Pipes Induced by Falling Impact. Sensors. 2024; 24(3):929. https://doi.org/10.3390/s24030929
Chicago/Turabian StyleYao, Yingkang, Nan Jiang, Guopeng Lyu, Jinshan Sun, and Feng Yang. 2024. "An Experimental Investigation on the Dynamic Response of Buried RC Pipes Induced by Falling Impact" Sensors 24, no. 3: 929. https://doi.org/10.3390/s24030929
APA StyleYao, Y., Jiang, N., Lyu, G., Sun, J., & Yang, F. (2024). An Experimental Investigation on the Dynamic Response of Buried RC Pipes Induced by Falling Impact. Sensors, 24(3), 929. https://doi.org/10.3390/s24030929

