Monitoring Off-Shore Fishing in the Northern Indian Ocean Based on Satellite Automatic Identification System and Remote Sensing Data
Abstract
1. Introduction
2. Data and Methods
2.1. Study Area and Data
2.2. Methods
2.2.1. Characterization Indicators and Calculation Methods of the Spatial–Temporal Distribution Characteristics of Fishing Vessels
- Normalized Heat Index
- 2.
- Measurement method of time variations of fishing vessel numbers
2.2.2. Monthly Spatial Distribution Statistics of Fishing Vessels
2.2.3. Oceanographic Factor Spatial Analysis
2.2.4. Oceanographic Factor Preferred Range Calculation
3. Results
3.1. Statistics of Fishing Vessels
3.2. Monthly Spatial Distribution Characteristics of Fishing Vessels
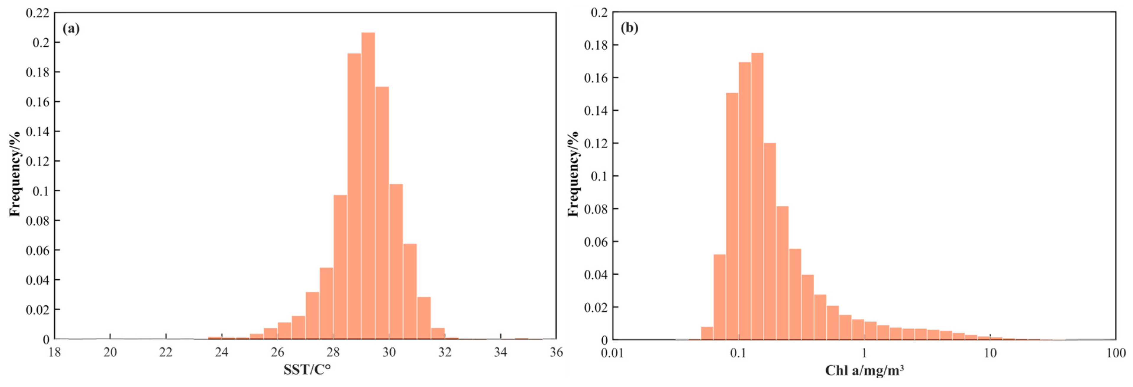
3.3. Fishing Operations with SST
3.4. Fishing Operations with Chl-a Concentration
3.5. Oceanographic Factor Preferred Ranges
4. Discussion
4.1. The Numbers and Spatial–Temporal Distribution Variations of Fishing Vessels
4.2. The Impacts of Oceanographic Factors on Fishing Operations
4.3. Speculations on the Locations and Seasonal Variations of Fishing Grounds in the Northern Indian Ocean
4.4. AIS Data Issues
5. Conclusions
Author Contributions
Funding
Institutional Review Board Statement
Informed Consent Statement
Data Availability Statement
Acknowledgments
Conflicts of Interest
References
- Tickler, D.; Meeuwig, J.J.; Palomares, M.L.; Pauly, D.; Zeller, D. Far from home: Distance patterns of global fishing fleets. Sci. Adv. 2018, 4, eaar3279. [Google Scholar] [CrossRef]
- Wafar, M.; Venkataraman, K.; Ingole, B.; Ajmal Khan, S.; LokaBharathi, P. State of knowledge of coastal and marine biodiversity of Indian Ocean countries. PLoS ONE 2011, 6, e14613. [Google Scholar] [CrossRef]
- Ji, S.; Zhou, W.; Fan, W.; Jin, S.; Cui, X. Sea surface temperature anomaly’s interannual variability in pelagic fishing grounds of China. Mar. Sci. 2016, 40, 85–93. [Google Scholar]
- Van der Elst, R.; Everett, B.; Jiddawi, N.; Mwatha, G.; Afonso, P.S.; Boulle, D. Fish, fishers and fisheries of the Western Indian Ocean: Their diversity and status. A preliminary assessment. Philos. Trans. R. Soc. A Math. Phys. Eng. Sci. 2005, 363, 263–284. [Google Scholar] [CrossRef]
- Karim, M.S.; Techera, E.; Arif, A.A. Ecosystem-based fisheries management and the precautionary approach in the Indian Ocean regional fisheries management organisations. Mar. Pollut. Bull. 2020, 159, 111438. [Google Scholar] [CrossRef]
- Keesing, J.; Irvine, T. Coastal biodiversity in the Indian Ocean: The known, the unknown and the unknowable. Indian J. Mar. Sci. 2005, 34, 11–26. [Google Scholar]
- Mohammed Koya, M.; Rrohit, P.; Abdussamad, E.M.; Vase, V.K.; Dineshbabu, A.P. Longtail tuna fisheries in the northern Arabian Sea off the north-west coast of India: Moving towards developing spatially explicit fisheries management strategy. Indian J. Fish. 2018, 65, 15–27. [Google Scholar] [CrossRef]
- Pang, J. Status of fishery resources in the Indian Ocean. Mar. Inf. 1994, 9, 26–27. [Google Scholar]
- FAO. Fishery and Aquaculture Statistics-Yearbook 2020; FAO Yearbook of Fishery and Aquaculture Statistics: Rome, Italy, 2023; p. 44. [Google Scholar]
- Zhang, H.; Wu, Z.; Zhou, W.; Jin, S.; Zhang, P.; Yan, L.; Chen, M. Species composition, catch rate and occurrence peak time of Thunnidae family in the fishing ground of light falling-net fisheries in the Nansha Islands area of the South China Sea. Mar. Fish. 2016, 38, 140–148. [Google Scholar]
- Lee, J.; South, A.B.; Jennings, S. Developing reliable, repeatable, and accessiblemethods to provide high-resolution estimates of fishing-effort distributions from vessel monitoring system (VMS) data. ICES J. Mar. Sci. 2010, 67, 1260–1271. [Google Scholar] [CrossRef]
- Shepperson, J.L.; Hintzen, N.T.; Szostek, C.L.; Bell, E.; Murray, L.G.; Kaiser, M.J. A comparison of VMS and AIS data: The effect of data coverage and vessel position recording frequency on estimates of fishing footprints. ICES J. Mar. Sci. 2018, 75, 988–998. [Google Scholar] [CrossRef]
- Yuan, Z.; Yang, D.; Fan, W.; Zhang, S. On fishing grounds distribution of tuna longline based on satellite automatic identification system in the Western and Central Pacific. Mar. Fish. 2018, 40, 649–659. [Google Scholar]
- Meng, Q.; Weng, J.; Li, S. Analysis with automatic identification system data of vessel traffic characteristics in the Singapore strait. Transp. Res. Rec. 2014, 2426, 33–43. [Google Scholar] [CrossRef]
- Peng, P.; Cheng, S.; Liu, X.; Mei, Q.; Lu, F. The robustness evaluation of global maritime transportation networks. Acta Geogr. Sin. 2017, 72, 2241–2251. [Google Scholar]
- de Souza, E.N.; Boerder, K.; Matwin, S.; Worm, B. Improving fishing pattern detection from satellite AIS using data mining and machine learning. PLoS ONE 2016, 11, e0158248. [Google Scholar]
- Kroodsma, D.A.; Mayorga, J.; Hochberg, T.; Miller, N.A.; Boerder, K.; Ferretti, F.; Wilson, A.; Bergman, B.; White, T.D.; Block, B.A.; et al. Tracking the global footprint of fisheries. Science 2018, 359, 904–908. [Google Scholar] [CrossRef] [PubMed]
- Wang, Y.; Wang, Y. Estimating catches with automatic identification system (AIS) data: A case study of single otter trawl in Zhoushan fishing ground, China. Iran. J. Fish. Sci. 2016, 15, 75–90. [Google Scholar]
- Le Guyader, D.; Ray, C.; Gourmelon, F.; Brosset, D. Defining high-resolution dredge fishing grounds with Automatic Identification System (AIS) data. Aquat. Living Resour. 2017, 30, 1–10. [Google Scholar] [CrossRef]
- Vespe, M.; Gibin, M.; Alessandrini, A.; Natale, F.; Mazzarella, F.; Osio, G.C. Mapping EU fishing activities using ship tracking data. J. Maps 2016, 12, 520–525. [Google Scholar] [CrossRef]
- Guiet, J.; Galbraith, E.; Kroodsma, D.; Worm, B. Seasonal variability in global industrial fishing effort. PLoS ONE 2019, 14, e0216819. [Google Scholar] [CrossRef]
- Liu, B.; Jia, J.; Wu, X.; Du, P. Spatial-temporal features and potential pressure of marine vessel activities based on AIS and multi-scales spatial model. J. Dalian Marit. Univ. 2018, 44, 115–121, 128. [Google Scholar]
- Russo, T.; D’Andrea, L.; Parisi, A.; Martinelli, M.; Belardinelli, A.; Boccoli, F.; Cignini, I.; Tordoni, M.; Cataudella, S. Assessing the fishing footprint using data integrated from different tracking devices: Issues and opportunities. Ecol. Indic. 2016, 69, 818–827. [Google Scholar] [CrossRef]
- Rao, R.R.; Sivakumar, R. Seasonal variability of near-surface isothermal layer and thermocline characteristics of the Tropical Indian Ocean. Meteorol. Atmos. Phys. 1996, 61, 201–212. [Google Scholar] [CrossRef]
- Tomczak, M.; Godfrey, J.S. Regional Oceanography: An Introduction, 1st ed.; Pergamon Press: Oxford, UK, 1994; pp. 177–198. [Google Scholar]
- Yin, J.; Hou, R.; Tang, X.; Luo, P. Fast distribution method for large data set of spatial data based on tiles pyramid model. J. Jilin Univ. (Sci. Ed.) 2015, 53, 1269–1274. [Google Scholar]
- Yi, W.; Guo, A.; Chen, X. A study on influence of different environmental factors weights on the habitat model for Scomber japonicus. Haiyang Xuebao 2017, 39, 90–97. [Google Scholar]
- Madhupratap, M.; Nair, K.N.V.; Gopalakrishnan, T.C.; Haridas, P.; Nair, K.K.C.; Venugopal, P.; Gauns, M. Arabian sea oceanography and fisheries of the west coast of India. Curr. Sci. 2001, 81, 355–361. [Google Scholar]
- Walton, C.C.; Pichel, W.G.; Sapper, J.F.; May, D.A. The development and operational application of nonlinear algorithms for the measurement of sea surface temperatures with the NOAA polar-orbiting environmental satellites. J. Geophys. Res. Oceans 1998, 103, 27999–28012. [Google Scholar] [CrossRef]
- Hu, C.; Lee, Z.; Franz, B. Chlorophyll a algorithms for oligotrophic oceans: A novel approach based on three-band reflectance difference. J. Geophys. Res. 2012, 117, C01011. [Google Scholar]
- Liang, Y.; Hu, Y.; Han, Y. Spatial distribution and dynamic changes in research hotspots for desertification in China based on big data from CNKI. J. Resour. Ecol. 2019, 10, 692–703. [Google Scholar]
- Wu, J.; Guan, W. Study on the distribution and variation of fishing vessels in East China Sea and Yellow Sea based on the nighttime light remote sensing data from SNPP/VIIRS. J. Fish. Sci. China 2019, 26, 221–231. [Google Scholar] [CrossRef]
- Yang, S.; Zhang, B.; Jin, S.; Fan, W. Relationship between the temporal-spatial distribution of longline fishing grounds of yellowfin tuna (Thunnus albacares) and the thermocline characteristics in the Western and Central Pacific Ocean. Haiyang Xuebao 2015, 37, 78–87. [Google Scholar]
- Zainuddin, M.; Saiton, K.; Saiton, S.I. Albacore (Thunnus alalunga) fishing ground in relation to oceanographic conditions in the western North Pacific Ocean using remotely sensed satellite data. Fish. Oceanogr. 2008, 17, 61–73. [Google Scholar] [CrossRef]
- Andrade, H.A.; Garcia, C.A.E. Skipjack tuna in relation to sea surface temperature off the southern Brazilian coast. Fish. Oceanogr. 1999, 8, 245–254. [Google Scholar] [CrossRef]
- Perry, R.I.; Smith, S.J. Identifying habitat associations of the marine fishes using survey data: An application to the northwest Atlantic. Can. J. Fish. Aquat. Sci. 1994, 51, 589–602. [Google Scholar] [CrossRef]
- Lu, H.; Wang, H.; He, J. The mechanism of influence of monsoon changes on the fisheries biology and oceanography of Sthenoteuthis oualaniensis in northwest Indian Ocean. J. Fish. China 2022, 29, 1669–1678. [Google Scholar]
- Chen, X.; Liu, B. Fishery Resources Biology, 1st ed.; Science Press: Beijing, China, 2017; p. 192. [Google Scholar]
- Wiebinga, C.J.; Veldhuis, M.J.W.; De Baar, H.J.W. Abundance and productivity of bacterioplankton in relation to seasonal upwelling in the northwest Indian Ocean. Deep Sea Res. Part I Oceanogr. Res. Pap. 1997, 44, 451–476. [Google Scholar] [CrossRef][Green Version]
- Chen, J.; Zhao, G.; Zhang, S.; Cui, X.; Tang, F.; Chen, F.; Han, H. Study on temporal and spatial distribution characteristics of Symplectoteuthis oualaniensis in high seas fishing ground of northwest Indian Ocean. J. Fish. China 2023, accepted. [Google Scholar]
- Xing, H.; Chen, S.; Xu, K.; Wang, W. Interannual variability of meridional heat transport and its mechanism in the Indian Ocean during monsoon transitions. Haiyang Xuebao 2021, 43, 26–37. [Google Scholar]
- March, D.; Metcalfe, K.; Tintoré, J.; Godley, B. Tracking the global reduction of marine traffic during the COVID-19 pandemic. Nat. Commun. 2021, 12, 2415. [Google Scholar] [CrossRef] [PubMed]
- Jiang, Q.; Xu, Z.; Zhang, H. Global impacts of COVID-19 on sustainable ocean development. Innovation 2022, 3, 100250. [Google Scholar] [CrossRef]
- Braga, F.; Scarpa, G.M.; Brando, V.E.; Manfè, G.; Zaggia, L. COVID-19 lockdown measures reveal human impact on water transparency in the Venice lagoon. Sci. Total Environ. 2020, 736, 139612. [Google Scholar] [CrossRef]
- Sun, X.; Liu, J.; Wang, J.; Tian, L.; Qu Zhou, Q.; Li, J. Integrated monitoring of lakes’ turbidity in Wuhan, China during the COVID-19 epidemic using multi-sensor satellite observations. Int. J. Digit. Earth 2021, 14, 443–463. [Google Scholar] [CrossRef]
- Prime Minister to Publish Roadmap for Cautiously Easing COVID Restrictions. Available online: https://www.gov.uk/government/news/prime-minister-to-publish-roadmap-for-cautiously-easing-covid-restrictions (accessed on 14 December 2023).
- Lu, Q. Evaluation and Management Countermeasures of Sustainable Utilization of Fishery Resources in the Indian Ocean. Ph.D. Thesis, Shanghai Ocean University, Shanghai, China, 2022. [Google Scholar]
- Lee, P.F.; Chen, I.C.; Tzeng, W.N. Spatial and temporal distribution patterns of bigeye tuna (Thunnus obesus) in the Indian Ocean. Zool. Stud. 2005, 44, 260–270. [Google Scholar]
- Swapna, P.; Jyoti, J.; Krishnan, R.; Sandeep, N.; Griffies, S.M. Multidecadal weakening of Indian summer monsoon circulation induces an increasing northern Indian Ocean sea level. Geophys. Res. Lett. 2017, 44, 10560–10572. [Google Scholar] [CrossRef]
- Xu, G.; Zhu, W.; Zhang, H.; Zhou, Y.; Chen, F. Relationship between fishing grounds of Thunnus obesus and Thunnus albacores with environmental factors in the Indian Ocean based on generalized additive model. Haiyang Xuebao 2018, 40, 68–80. [Google Scholar]
- Annamalai, H.; Xie, S.P.; McCreary, J.P.; Murtugudde, R. Impact of Indian Ocean sea surface temperature on developing El Niño. J. Clim. 2005, 18, 302–319. [Google Scholar] [CrossRef]
- Ke, Z.; Chen, D.; Tan, Y.; Liu, H.; Liu, J. Temporal and spatial variations in primary production in the coastal region of Dongshan-Nan’ao. J. Fish. Sci. China 2019, 26, 44–52. [Google Scholar] [CrossRef]
- Piontkovski, S.A.; Claereboudt, M.R. Interannual changes of the Arabian Sea productivity. Mar. Biol. Res. 2012, 8, 189–194. [Google Scholar] [CrossRef]
- Yang, S.; Fan, X.; Wu, Y.; Zhou, W.; Wang, F.; Wu, Z.; Zhang, B.; Fan, W. The relationship between the fishing ground of mackerel (Scomber australasicus) in Arabian Sea and the environment based on GAM model. Chin. J. Ecol. 2019, 38, 2466–2470. [Google Scholar]
- Kumar, S.P.; Snaith, H.; Challenor, P.; Guymer, H.T. Seasonal and inter-annual sea surface height variations of the northern Indian Ocean from the TOPEX/POSEIDON altimeter. Indian J. Mar. Sci. 1998, 27, 10–16. [Google Scholar]
- Valsala, V. Different spreading of Somali and Arabian coastal upwelled waters in the northern Indian Ocean: A case study. J. Oceanogr. 2009, 65, 803–816. [Google Scholar] [CrossRef]
- Chen, X. Fishery Resources and Fishery Oceanography, 2nd ed.; China Ocean Press: Beijing, China, 2014; pp. 353–364. [Google Scholar]









| Slope | Intercept | R2 |
|---|---|---|
| 268.09 | 6941.11 | 0.60 |
| Time | Year | Spring (March to May) | Summer (June to August) | Autumn (September to November) | Winter (December to February) | ||||
|---|---|---|---|---|---|---|---|---|---|
| Average/Month | Average/Month | Relative Variation Rate/% | Average/Month | Relative Variation Rate/% | Average/Month | Relative Variation Rate/% | Average/Month | Relative Variation Rate/% | |
| 03.2020–02.2021 | 8681 | 9794 | 12.82 | 7098 | −18.24 | 8799 | 1.36 | 9034 | 4.07 |
| 03.2021–02.2022 | 11,859 | 10,049 | −15.26 | 9117 | −23.12 | 12,334 | 4.01 | 15,935 | 34.37 |
| 03.2022–02.2023 | 15,163 | 15,865 | 4.63 | 11,914 | −21.43 | 17,326 | 14.26 | 15,545 | 2.52 |
| 03.2020–02.2023 | 11,901 | 11,903 | 0.02 | 9376 | −21.22 | 12,820 | 7.72 | 13,505 | 13.48 |
| Year | Season | Min (°C) | Max (°C) | Mean (°C) | Var | MSB | MSW | F |
|---|---|---|---|---|---|---|---|---|
| 03.2020–02.2021 | Spring | 20.26 | 34.56 | 29.96 | 1.74 | 5268.02 | 1.42 | 3708.29 |
| Summer | 24.56 | 35.80 | 29.75 | 1.59 | ||||
| Autumn | 25.56 | 34.41 | 29.33 | 0.74 | ||||
| Winter | 18.41 | 32.93 | 28.64 | 1.49 | ||||
| 03.2021–02.2022 | Spring | 20.68 | 33.76 | 29.81 | 1.44 | 5549.84 | 1.17 | 4741.54 |
| Summer | 25.04 | 35.75 | 29.22 | 0.93 | ||||
| Autumn | 23.62 | 33.24 | 29.10 | 0.69 | ||||
| Winter | 18.10 | 32.50 | 28.63 | 1.50 | ||||
| 03.2022–02.2023 | Spring | 20.37 | 33.62 | 29.72 | 1.57 | 8684.58 | 1.07 | 8105.29 |
| Summer | 24.68 | 35.77 | 29.14 | 1.13 | ||||
| Autumn | 24.17 | 33.54 | 28.81 | 0.54 | ||||
| Winter | 18.62 | 31.23 | 28.38 | 1.25 |
| Year | Season | Min (mg/m3) | Max (mg/m3) | Mean (mg/m3) | Var | MSB | MSW | F |
|---|---|---|---|---|---|---|---|---|
| 03.2020–02.2021 | Spring | 0.04 | 20.30 | 0.26 | 0.62 | 1263.56 | 4.33 | 291.80 |
| Summer | 0.05 | 73.04 | 0.86 | 13.98 | ||||
| Autumn | 0.05 | 96.54 | 0.79 | 6.27 | ||||
| Winter | 0.06 | 19.56 | 0.29 | 0.27 | ||||
| 03.2021–02.2022 | Spring | 0.05 | 12.19 | 0.20 | 0.17 | 1102.74 | 2.64 | 417.70 |
| Summer | 0.06 | 50.36 | 0.48 | 2.53 | ||||
| Autumn | 0.05 | 86.98 | 0.77 | 7.14 | ||||
| Winter | 0.06 | 28.75 | 0.39 | 0.99 | ||||
| 03.2022–02.2023 | Spring | 0.05 | 26.89 | 0.38 | 1.11 | 285.41 | 2.60 | 109.91 |
| Summer | 0.04 | 83.91 | 0.53 | 5.16 | ||||
| Autumn | 0.03 | 80.16 | 0.50 | 3.16 | ||||
| Winter | 0.03 | 22.79 | 0.29 | 0.48 |
Disclaimer/Publisher’s Note: The statements, opinions and data contained in all publications are solely those of the individual author(s) and contributor(s) and not of MDPI and/or the editor(s). MDPI and/or the editor(s) disclaim responsibility for any injury to people or property resulting from any ideas, methods, instructions or products referred to in the content. |
© 2024 by the authors. Licensee MDPI, Basel, Switzerland. This article is an open access article distributed under the terms and conditions of the Creative Commons Attribution (CC BY) license (https://creativecommons.org/licenses/by/4.0/).
Share and Cite
Li, J.; Xing, Q.; Li, X.; Arif, M.; Li, J. Monitoring Off-Shore Fishing in the Northern Indian Ocean Based on Satellite Automatic Identification System and Remote Sensing Data. Sensors 2024, 24, 781. https://doi.org/10.3390/s24030781
Li J, Xing Q, Li X, Arif M, Li J. Monitoring Off-Shore Fishing in the Northern Indian Ocean Based on Satellite Automatic Identification System and Remote Sensing Data. Sensors. 2024; 24(3):781. https://doi.org/10.3390/s24030781
Chicago/Turabian StyleLi, Jie, Qianguo Xing, Xuerong Li, Maham Arif, and Jinghu Li. 2024. "Monitoring Off-Shore Fishing in the Northern Indian Ocean Based on Satellite Automatic Identification System and Remote Sensing Data" Sensors 24, no. 3: 781. https://doi.org/10.3390/s24030781
APA StyleLi, J., Xing, Q., Li, X., Arif, M., & Li, J. (2024). Monitoring Off-Shore Fishing in the Northern Indian Ocean Based on Satellite Automatic Identification System and Remote Sensing Data. Sensors, 24(3), 781. https://doi.org/10.3390/s24030781

