BG-YOLO: A Bidirectional-Guided Method for Underwater Object Detection
Abstract
1. Introduction
- We propose an object detection framework in underwater degraded scenes, BG-YOLO. Firstly, the detection tasks are used to guide the training of the image enhancement network, which makes the enhancement network conducive to detection tasks. Subsequently, the image enhancement branch and object detection branch are organized in a parallel manner, and the image enhancement branch is used to guide the training of the object detection branch. Finally, during the detection, only the object detection branch is reserved; thus, no additional computational cost is introduced.
- We imposed constraints on the corresponding convolutional layer of the image enhancement branch and object detection branch, both of which have the same dimensions and underlying semantics. This enables the detection branch to learn more feature information, thereby improving its object detection performance.
- Extensive experiments on URPC2019 and URPC2020 demonstrated that our proposed BG-YOLO significantly improves detection performance compared to the original detection method.
2. Related Work
2.1. Underwater Image Enhancement
2.2. Underwater Image Detection
2.3. Joint Optimization
3. Methods
3.1. Method Overview
3.2. Image Enhancement Branch
3.3. Object Detection Branch
3.4. Feature-Guided Module
3.5. Loss Function
3.5.1. Image Enhancement Loss
3.5.2. Object Detection Loss
3.5.3. Consistency Loss
3.5.4. Total Loss Function
4. Experiments and Discussion
4.1. Datasets
4.2. Implementation Details
4.2.1. Training of the Image Enhancement Branch
4.2.2. Training of the Object Detection Branch
4.2.3. Comparison
4.3. Evaluation Indices
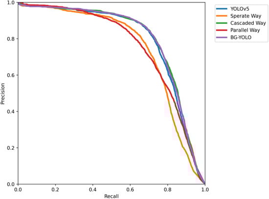
4.4. Visualized Comparison
4.5. Quantitative Comparison
4.5.1. Results for URPC2019 Dataset
4.5.2. Results for URPC2020 Dataset
4.5.3. Comparison with Other Algorithms
4.5.4. Effects of Feature-Guided Layer
4.5.5. Effects of Different
5. Conclusions
Author Contributions
Funding
Institutional Review Board Statement
Informed Consent Statement
Data Availability Statement
Conflicts of Interest
References
- Chen, L.; Jiang, Z.; Tong, L.; Liu, Z.; Zhao, A.; Zhang, Q.; Dong, J.; Zhou, H. Perceptual underwater image enhancement with deep learning and physical priors. IEEE Trans. Circuits Syst. Video Technol. 2020, 31, 3078–3092. [Google Scholar] [CrossRef]
- Xu, S.; Zhang, M.; Song, W.; Mei, H.; He, Q.; Liotta, A. A systematic review and analysis of deep learning-based underwater object detection. Neurocomputing 2023, 527, 204–232. [Google Scholar] [CrossRef]
- Liu, H.; Jin, F.; Zeng, H.; Pu, H.; Fan, B. Image enhancement guided object detection in visually degraded scenes. IEEE Trans. Neural Netw. Learn. Syst. 2023, 35, 14164–14177. [Google Scholar] [CrossRef]
- Liu, H.; Song, P.; Ding, R. Towards domain generalization in underwater object detection. In Proceedings of the 2020 IEEE International Conference on Image Processing (ICIP), Virtual, 25–28 October 2020; pp. 1971–1975. [Google Scholar]
- Qin, Q.; Chang, K.; Huang, M.; Li, G. DENet: Detection-driven enhancement network for object detection under adverse weather conditions. In Proceedings of the Asian Conference on Computer Vision, Macau, China, 4–8 December 2022; pp. 2813–2829. [Google Scholar]
- Liu, R.; Jiang, Z.; Yang, S.; Fan, X. Twin adversarial contrastive learning for underwater image enhancement and beyond. IEEE Trans. Image Process. 2022, 31, 4922–4936. [Google Scholar] [CrossRef]
- Huang, S.C.; Le, T.H.; Jaw, D.W. DSNet: Joint semantic learning for object detection in inclement weather conditions. IEEE Trans. Pattern Anal. Mach. Intell. 2020, 43, 2623–2633. [Google Scholar] [CrossRef]
- Cheng, N.; Xie, H.; Zhu, X.; Wang, H. Joint image enhancement learning for marine object detection in natural scene. Eng. Appl. Artif. Intell. 2023, 120, 105905. [Google Scholar] [CrossRef]
- Vasamsetti, S.; Mittal, N.; Neelapu, B.C.; Sardana, H.K. Wavelet based perspective on variational enhancement technique for underwater imagery. Ocean Eng. 2017, 141, 88–100. [Google Scholar] [CrossRef]
- Hummel, R. Image enhancement by histogram transformation. Unknown 1975. [CrossRef]
- Ketcham, D.J.; Lowe, R.W.; Weber, J.W. Image enhancement techniques for cockpit displays. Hughes Aircraft Co Culver City Ca Display Systems Lab 1974, 6. [Google Scholar] [CrossRef]
- Pizer, S.M.; Amburn, E.P.; Austin, J.D.; Cromartie, R.; Geselowitz, A.; Greer, T.; ter Haar Romeny, B.; Zimmerman, J.B.; Zuiderveld, K. Adaptive histogram equalization and its variations. Comput. Vision Graph. Image Process. 1987, 39, 355–368. [Google Scholar] [CrossRef]
- Land, E.H.; McCann, J.J. Lightness and retinex theory. J. Opt. Soc. Am. 1971, 61, 1–11. [Google Scholar] [CrossRef] [PubMed]
- Iqbal, K.; Odetayo, M.; James, A.; Salam, R.A.; Talib, A.Z.H. Enhancing the low quality images using unsupervised colour correction method. In Proceedings of the 2010 IEEE International Conference on Systems, Man and Cybernetics, Istanbul, Turkey, 10–13 October 2010; pp. 1703–1709. [Google Scholar]
- Huang, D.; Wang, Y.; Song, W.; Sequeira, J.; Mavromatis, S. Shallow-water image enhancement using relative global histogram stretching based on adaptive parameter acquisition. In Proceedings of the MultiMedia Modeling: 24th International Conference, MMM 2018, Bangkok, Thailand, February 5–7, 2018, Proceedings, Part I 24; Springer: Berlin/Heidelberg, Germany, 2018; pp. 453–465. [Google Scholar]
- Zhang, S.; Wang, T.; Dong, J.; Yu, H. Underwater image enhancement via extended multi-scale Retinex. Neurocomputing 2017, 245, 1–9. [Google Scholar] [CrossRef]
- Liu, K.; Li, X. De-hazing and enhancement method for underwater and low-light images. Multimed. Tools Appl. 2021, 80, 19421–19439. [Google Scholar] [CrossRef]
- Zhang, W.; Dong, L.; Xu, W. Retinex-inspired color correction and detail preserved fusion for underwater image enhancement. Comput. Electron. Agric. 2022, 192, 106585. [Google Scholar] [CrossRef]
- He, K.; Sun, J.; Tang, X. Single image haze removal using dark channel prior. IEEE Trans. Pattern Anal. Mach. Intell. 2010, 33, 2341–2353. [Google Scholar]
- Galdran, A.; Pardo, D.; Picón, A.; Alvarez-Gila, A. Automatic red-channel underwater image restoration. J. Vis. Commun. Image Represent. 2015, 26, 132–145. [Google Scholar] [CrossRef]
- Drews, P.; Nascimento, E.; Moraes, F.; Botelho, S.; Campos, M. Transmission estimation in underwater single images. In Proceedings of the IEEE International Conference on Computer Vision Workshops, Sydney, Australia, 2–8 December 2013; pp. 825–830. [Google Scholar]
- Guo, P.; Zeng, D.; Tian, Y.; Liu, S.; Liu, H.; Li, D. Multi-scale enhancement fusion for underwater sea cucumber images based on human visual system modelling. Comput. Electron. Agric. 2020, 175, 105608. [Google Scholar] [CrossRef]
- Gangisetty, S.; Rai, R.R. FloodNet: Underwater image restoration based on residual dense learning. Signal Process. Image Commun. 2022, 104, 116647. [Google Scholar] [CrossRef]
- Xu, S.; Zhang, J.; Qin, X.; Xiao, Y.; Qian, J.; Bo, L.; Zhang, H.; Li, H.; Zhong, Z. Deep retinex decomposition network for underwater image enhancement. Comput. Electr. Eng. 2022, 100, 107822. [Google Scholar] [CrossRef]
- Wu, S.; Luo, T.; Jiang, G.; Yu, M.; Xu, H.; Zhu, Z.; Song, Y. A two-stage underwater enhancement network based on structure decomposition and characteristics of underwater imaging. IEEE J. Ocean. Eng. 2021, 46, 1213–1227. [Google Scholar] [CrossRef]
- Xue, X.; Hao, Z.; Ma, L.; Wang, Y.; Liu, R. Joint luminance and chrominance learning for underwater image enhancement. IEEE Signal Process. Lett. 2021, 28, 818–822. [Google Scholar] [CrossRef]
- Li, C.; Anwar, S.; Porikli, F. Underwater scene prior inspired deep underwater image and video enhancement. Pattern Recognit. 2020, 98, 107038. [Google Scholar] [CrossRef]
- Espinosa, A.R.; McIntosh, D.; Albu, A.B. An efficient approach for underwater image improvement: Deblurring, dehazing, and color correction. In Proceedings of the IEEE/CVF Winter Conference on Applications of Computer Vision, Waikoloa, HI, USA, 2–7 January 2023; pp. 206–215. [Google Scholar]
- Zhang, H.; Sun, L.; Wu, L.; Gu, K. DuGAN: An effective framework for underwater image enhancement. IET Image Process. 2021, 15, 2010–2019. [Google Scholar] [CrossRef]
- Sun, B.; Mei, Y.; Yan, N.; Chen, Y. UMGAN: Underwater image enhancement network for unpaired image-to-image translation. J. Mar. Sci. Eng. 2023, 11, 447. [Google Scholar] [CrossRef]
- Li, J.; Skinner, K.A.; Eustice, R.M.; Johnson-Roberson, M. WaterGAN: Unsupervised generative network to enable real-time color correction of monocular underwater images. IEEE Robot. Autom. Lett. 2017, 3, 387–394. [Google Scholar] [CrossRef]
- Jiang, Q.; Zhang, Y.; Bao, F.; Zhao, X.; Zhang, C.; Liu, P. Two-step domain adaptation for underwater image enhancement. Pattern Recognit. 2022, 122, 108324. [Google Scholar] [CrossRef]
- Zhu, J.Y.; Park, T.; Isola, P.; Efros, A.A. Unpaired image-to-image translation using cycle-consistent adversarial networks. In Proceedings of the IEEE International Conference on Computer Vision, Venice, Italy, 22–29 October 2017; pp. 2223–2232. [Google Scholar]
- Huang, H.; Zhou, H.; Yang, X.; Zhang, L.; Qi, L.; Zang, A.Y. Faster R-CNN for marine organisms detection and recognition using data augmentation. Neurocomputing 2019, 337, 372–384. [Google Scholar] [CrossRef]
- Hu, K.; Lu, F.; Lu, M.; Deng, Z.; Liu, Y. A marine object detection algorithm based on SSD and feature enhancement. Complexity 2020, 2020, 5476142. [Google Scholar] [CrossRef]
- Wang, L.; Ye, X.; Xing, H.; Wang, Z.; Li, P. Yolo nano underwater: A fast and compact object detector for embedded device. In Proceedings of the Global Oceans 2020: Singapore–US Gulf Coast, Biloxi, MS, USA, 5–30 October 2020; pp. 1–4. [Google Scholar]
- Zeng, L.; Sun, B.; Zhu, D. Underwater target detection based on Faster R-CNN and adversarial occlusion network. Eng. Appl. Artif. Intell. 2021, 100, 104190. [Google Scholar] [CrossRef]
- Cao, S.; Zhao, D.; Liu, X.; Sun, Y. Real-time robust detector for underwater live crabs based on deep learning. Comput. Electron. Agric. 2020, 172, 105339. [Google Scholar] [CrossRef]
- Liu, T.; Li, P.; Liu, H.; Deng, X.; Liu, H.; Zhai, F. Multi-class fish stock statistics technology based on object classification and tracking algorithm. Ecol. Inform. 2021, 63, 101240. [Google Scholar] [CrossRef]
- Yu, G.; Cai, R.; Su, J.; Hou, M.; Deng, R. U-YOLOv7: A network for underwater organism detection. Ecol. Inform. 2023, 75, 102108. [Google Scholar] [CrossRef]
- Zhang, X.; Fang, X.; Pan, M.; Yuan, L.; Zhang, Y.; Yuan, M.; Lv, S.; Yu, H. A marine organism detection framework based on the joint optimization of image enhancement and object detection. Sensors 2021, 21, 7205. [Google Scholar] [CrossRef] [PubMed]
- Yeh, C.H.; Lin, C.H.; Kang, L.W.; Huang, C.H.; Lin, M.H.; Chang, C.Y.; Wang, C.C. Lightweight deep neural network for joint learning of underwater object detection and color conversion. IEEE Trans. Neural Netw. Learn. Syst. 2021, 33, 6129–6143. [Google Scholar] [CrossRef] [PubMed]
- Liu, W.; Ren, G.; Yu, R.; Guo, S.; Zhu, J.; Zhang, L. Image-adaptive YOLO for object detection in adverse weather conditions. In Proceedings of the AAAI Conference on Artificial Intelligence, Online, 22 February–1 March 2022; Volume 36, pp. 1792–1800. [Google Scholar]
- Terven, J.; Córdova-Esparza, D.M.; Romero-González, J.A. A comprehensive review of yolo architectures in computer vision: From yolov1 to yolov8 and yolo-nas. Mach. Learn. Knowl. Extr. 2023, 5, 1680–1716. [Google Scholar] [CrossRef]
- Gašparović, B.; Mauša, G.; Rukavina, J.; Lerga, J. Evaluating Yolov5, Yolov6, Yolov7, and Yolov8 in underwater environment: Is there real improvement? In Proceedings of the 2023 8th International Conference on Smart and Sustainable Technologies (SpliTech), Split, Croatia, 20–23 June 2023; pp. 1–4. [Google Scholar]
- Jocher, G.; Stoken, A.; Chaurasia, A.; Borovec, J.; Kwon, Y.; Michael, K.; Changyu, L.; Fang, J.; Skalski, P.; Hogan, A.; et al. ultralytics/yolov5: v6. 0-YOLOv5n’Nano’models, Roboflow integration, TensorFlow export, OpenCV DNN support. Zenodo 2021. [Google Scholar] [CrossRef]
- Engin, D.; Genç, A.; Kemal Ekenel, H. Cycle-dehaze: Enhanced cyclegan for single image dehazing. In Proceedings of the IEEE Conference on Computer Vision and Pattern Recognition Workshops, Salt Lake City, UT, USA, 18–22 June 2018; pp. 825–833. [Google Scholar]
- Ancuti, C.; Ancuti, C.O.; Haber, T.; Bekaert, P. Enhancing underwater images and videos by fusion. In Proceedings of the 2012 IEEE Conference on Computer Vision and Pattern Recognition, Providence, RI, USA, 16–21 June 2012; pp. 81–88. [Google Scholar]
- Islam, M.J.; Xia, Y.; Sattar, J. Fast underwater image enhancement for improved visual perception. IEEE Robot. Autom. Lett. 2020, 5, 3227–3234. [Google Scholar] [CrossRef]








| Method | mAP@0.5 (%) | mAP@0.5–0.95 (%) | Recall (%) | F1-Score (%) | Precision (%) | FPS (fps) |
|---|---|---|---|---|---|---|
| YOLOv5s | 75.3 | 42.0 | 72.6 | 74.0 | 74.8 | 130 |
| Separate Way | 74.7 | 39.6 | 68.6 | 75.0 | 83.4 | 130 |
| Cascaded Way | 76.9 | 42.8 | 72.7 | 76.0 | 81.0 | 42 |
| Parallel Way | 73.1 | 41.7 | 66.3 | 72.0 | 78.7 | 130 |
| BG-YOLO | 78.4 | 44.7 | 70.1 | 77.0 | 88.3 | 130 |
| Method | mAP@0.5 (%) | mAP@0.5–0.95 (%) | Recall (%) | F1-Score (%) | Precision (%) | FPS (fps) |
|---|---|---|---|---|---|---|
| YOLOv5s | 79.5 | 44.9 | 73.8 | 78.0 | 83.7 | 132 |
| Separate Way | 74.8 | 40.3 | 69.1 | 75.0 | 81.1 | 132 |
| Cascaded Way | 80.4 | 44.8 | 75.7 | 79.0 | 82.0 | 42 |
| Parallel Way | 75.9 | 38.4 | 68.1 | 73.0 | 79.7 | 132 |
| BG-YOLO | 80.2 | 44.6 | 75.2 | 79.0 | 82.7 | 132 |
| Method | URPC2019-mAP@0.5 (%) | URPC2019-mAP@0.5–0.95 (%) | URPC2020–mAP@0.5 (%) | URPC2020-mAP@0.5–0.95 (%) |
|---|---|---|---|---|
| YOLOv5s | 75.3 | 42.0 | 79.5 | 44.9 |
| Algorithm in [6] | 76.9 | 42.8 | 80.4 | 44.8 |
| Algorithm in [3] | 73.1 | 41.7 | 75.9 | 38.4 |
| YOLOv7 | 77.5 | 43.2 | 81.3 | 44.1 |
| YOLOv8 | 77.9 | 45.5 | 81.8 | 47.6 |
| BG-YOLO | 78.4 | 44.7 | 80.2 | 44.6 |
| conv1 | conv2 | C3 | mAP@0.5 (%) | mAP@0.5–0.95 (%) |
|---|---|---|---|---|
| 75.3 | 42.0 | |||
| √ | 78.0 | 43.8 | ||
| √ | 77.7 | 44.2 | ||
| √ | 77.0 | 43.8 | ||
| √ | √ | 76.0 | 43.5 | |
| √ | √ | 76.8 | 41.6 | |
| √ | √ | 76.6 | 43.5 | |
| √ | √ | √ | 76.6 | 43.6 |
| mAP@0.5 | mAP@0.5–0.95 | |
|---|---|---|
| 1.0 | 78.0 | 43.8 |
| 0.5 | 77.4 | 44.6 |
| 0.1 | 77.6 | 43.6 |
| 0.05 | 78.4 | 44.7 |
| 0.01 | 76.6 | 44.8 |
Disclaimer/Publisher’s Note: The statements, opinions and data contained in all publications are solely those of the individual author(s) and contributor(s) and not of MDPI and/or the editor(s). MDPI and/or the editor(s) disclaim responsibility for any injury to people or property resulting from any ideas, methods, instructions or products referred to in the content. |
© 2024 by the authors. Licensee MDPI, Basel, Switzerland. This article is an open access article distributed under the terms and conditions of the Creative Commons Attribution (CC BY) license (https://creativecommons.org/licenses/by/4.0/).
Share and Cite
Cao, R.; Zhang, R.; Yan, X.; Zhang, J. BG-YOLO: A Bidirectional-Guided Method for Underwater Object Detection. Sensors 2024, 24, 7411. https://doi.org/10.3390/s24227411
Cao R, Zhang R, Yan X, Zhang J. BG-YOLO: A Bidirectional-Guided Method for Underwater Object Detection. Sensors. 2024; 24(22):7411. https://doi.org/10.3390/s24227411
Chicago/Turabian StyleCao, Ruicheng, Ruiteng Zhang, Xinyue Yan, and Jian Zhang. 2024. "BG-YOLO: A Bidirectional-Guided Method for Underwater Object Detection" Sensors 24, no. 22: 7411. https://doi.org/10.3390/s24227411
APA StyleCao, R., Zhang, R., Yan, X., & Zhang, J. (2024). BG-YOLO: A Bidirectional-Guided Method for Underwater Object Detection. Sensors, 24(22), 7411. https://doi.org/10.3390/s24227411

