Energetic and Neuromuscular Demands of Unresisted, Parachute- and Sled-Resisted Sprints in Youth Soccer Players: Differences Between Two Novel Determination Methods
Abstract
1. Introduction
2. Materials and Methods
2.1. Study Design
2.2. Participants
2.3. Procedures
2.4. Statistical Analysis
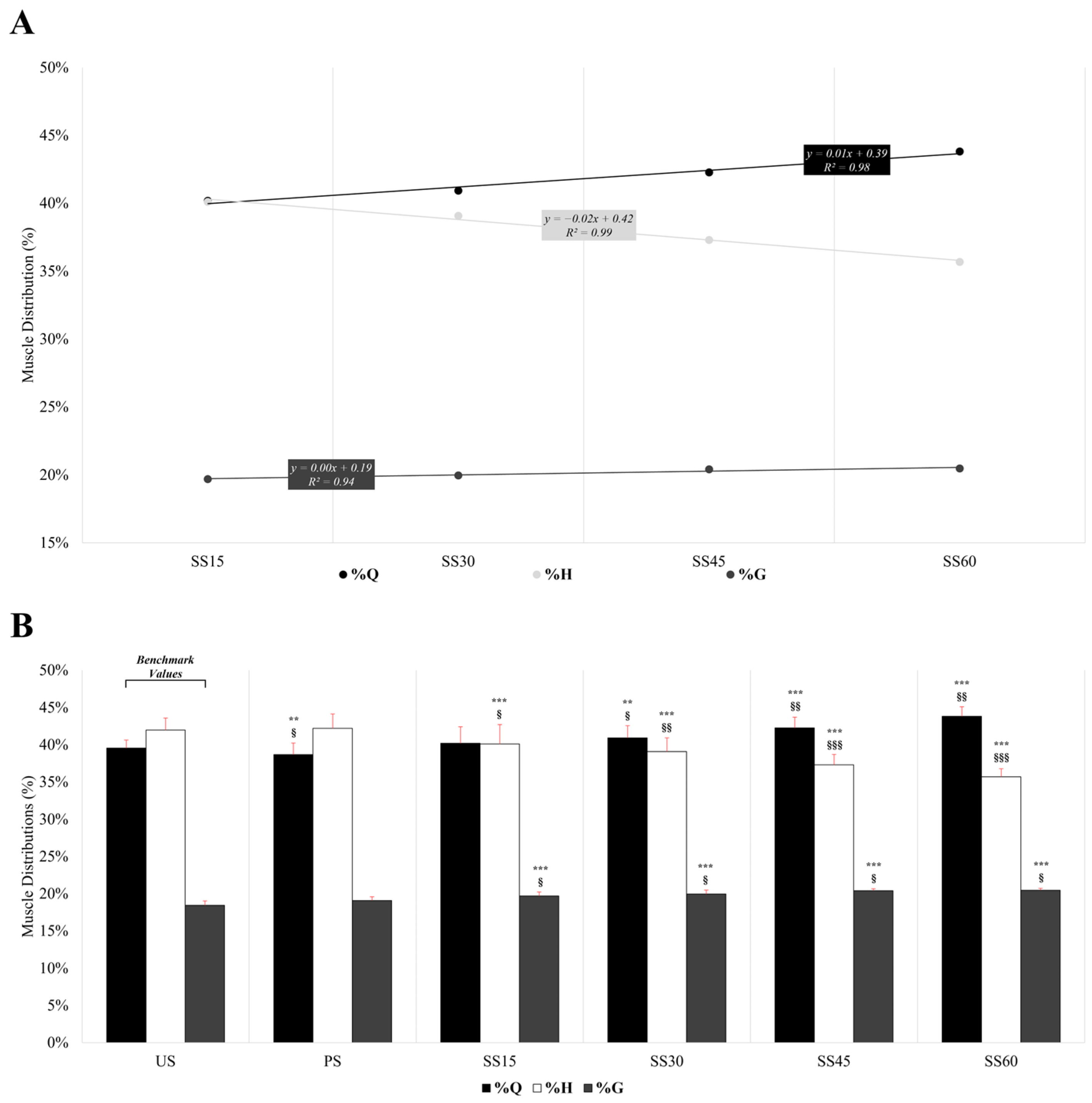
3. Results
4. Discussion
5. Conclusions
Author Contributions
Funding
Institutional Review Board Statement
Informed Consent Statement
Data Availability Statement
Conflicts of Interest
References
- Zatsiorsky, V. Biomechanics in Sport: Performance Enhancement and Injury Prevention: Olympic Encyclopaedia of Sports Medicine; John Wiley & Sons Incorporated: Hoboken, NJ, USA, 2000. [Google Scholar]
- Zafeiridis, A.; Saraslanidis, P.; Manou, V.; Ioakimidis, P.; Dipla, K.; Kellis, S. The effects of resisted sled-pulling sprint training on acceleration and maximum speed performance. J. Sports Med. Phys. Fit. 2005, 45, 284–290. [Google Scholar]
- Alcaraz, P.E.; Palao, J.M.; Elvira, J.L.L.; Linthorne, N.P. Effects of Three Types of Resisted Sprint Training Devices on the Kinematics of Sprinting at Maximum Velocity. J. Strength Cond. Res. 2008, 22, 890–897. [Google Scholar] [CrossRef] [PubMed]
- Alcaraz, P.E.; Palao, J.M.; Elvira, J.L.L. Determining the Optimal Load for Resisted Sprint Training With Sled Towing. J. Strength Cond. Res. 2009, 23, 480–485. [Google Scholar] [CrossRef] [PubMed]
- Zabaloy, S.; Carlos-Vivas, J.; Freitas, T.T.; Pareja-Blanco, F.; Pereira, L.; Loturco, I.; Comyns, T.; Gálvez-González, J.; Alcaraz, P.E. Relationships between Resisted Sprint Performance and Different Strength and Power Measures in Rugby Players. Sports 2020, 8, 34. [Google Scholar] [CrossRef]
- Sinclair, J.; Edmundson, C.J.; Metcalfe, J.; Bottoms, L.; Atkins, S.; Bentley, I. The Effects of Sprint vs. Resisted Sled-Based Training; an 8-Week in-Season Randomized Control Intervention in Elite Rugby League Players. Int. J. Environ. Res. Public Health 2021, 18, 9241. [Google Scholar] [CrossRef]
- Alcaraz, P.E.; Carlos-Vivas, J.; Oponjuru, B.O.; Martínez-Rodríguez, A. The Effectiveness of Resisted Sled Training (RST) for Sprint Performance: A Systematic Review and Meta-analysis. Sports Med. 2018, 48, 2143–2165. [Google Scholar] [CrossRef]
- Zabaloy, S.; Carlos-Vivas, J.; Freitas, T.T.; Pareja-Blanco, F.; Loturco, I.; Comyns, T.; Gálvez-González, J.; Alcaraz, P.E. Muscle Activity, Leg Stiffness, and Kinematics During Unresisted and Resisted Sprinting Conditions. J. Strength Cond. Res. 2022, 36, 1839–1846. [Google Scholar] [CrossRef]
- Zagatto, A.M.; Claus, G.M.; Dutra, Y.M.; De Poli, R.A.; Lopes, V.H.F.; Goodall, S.; Loturco, I.; Boullosa, D. Drop jumps versus sled towing and their effects on repeated sprint ability in young basketball players. BMC Sports Sci. Med. Rehabil. 2022, 14, 4. [Google Scholar] [CrossRef]
- Zisi, M.; Stavridis, I.; Agilara, G.-O.; Economou, T.; Paradisis, G. The Acute Effects of Heavy Sled Towing on Acceleration Performance and Sprint Mechanical and Kinematic Characteristics. Sports 2022, 10, 77. [Google Scholar] [CrossRef]
- Zabaloy, S.; Freitas, T.T.; Pareja-Blanco, F.; Alcaraz, P.E.; Loturco, I. Narrative Review on the Use of Sled Training to Improve Sprint Performance in Team Sport Athletes. Strength Cond. J. 2023, 45, 13–28. [Google Scholar] [CrossRef]
- Lockie, R.G.; Murphy, A.J.; Spinks, C.D. Effects of resisted sled towing on sprint kinematics in field-sport athletes. J. Strength Cond. Res. 2003, 17, 760–767. [Google Scholar] [CrossRef] [PubMed]
- Linthorne, N.P.; Cooper, J.E. Effect of the coefficient of friction of a running surface on sprint time in a sled-towing exercise. Sports Biomech. 2013, 12, 175–185. [Google Scholar] [CrossRef] [PubMed][Green Version]
- Martínez-Valencia, M.A.; González-Ravé, J.M.; Santos-García, D.J.; Alcaraz Ramon, P.E.; Navarro-Valdivielso, F. Interrelationships between different loads in resisted sprints, half-squat 1 RM and kinematic variables in trained athletes. Eur. J. Sport Sci. 2014, 14, S18–S24. [Google Scholar] [CrossRef] [PubMed]
- Martínez-Serrano, A.; Marín-Cascales, E.; Spyrou, K.; Freitas, T.T.; Alcaraz, P.E. Electromyography, stiffness and kinematics of resisted sprint training in the specialized SKILLRUN® treadmill using different load conditions in rugby players. Sensors 2021, 21, 7482. [Google Scholar] [CrossRef]
- Grazioli, R.; Loturco, I.; Lopez, P.; Setuain, I.; Goulart, J.; Veeck, F.; Inácio, M.; Izquierdo, M.; Pinto, R.S.; Cadore, E.L. Effects of moderate-to-heavy sled training using different magnitudes of velocity loss in professional soccer players. J. Strength Cond. Res. 2023, 37, 629–635. [Google Scholar] [CrossRef]
- Grazioli, R.; Loturco, I.; Veeck, F.; Setuain, I.; Zandavalli, L.A.; Inácio, M.; Pinto, R.S.; Cadore, E.L. Speed-related abilities are similarly improved after sled training under different magnitudes of velocity loss in highly trained soccer players. Int. J. Sports Physiol. Perform. 2023, 18, 420–427. [Google Scholar] [CrossRef]
- Cronin, J.; Hansen, K.; Kawamori, N.; Mcnair, P. Effects of weighted vests and sled towing on sprint kinematics. Sports Biomech. 2008, 7, 160–172. [Google Scholar] [CrossRef]
- Pareja-Blanco, F.; Pereira, L.A.; Freitas, T.T.; Alcaraz, P.E.; Reis, V.P.; Guerriero, A.; Arruda, A.F.; Zabaloy, S.; De Villarreal, E.S.; Loturco, I. Acute effects of progressive sled loading on resisted sprint performance and kinematics. J. Strength Cond. Res. 2022, 36, 1524–1531. [Google Scholar] [CrossRef]
- Pareja-Blanco, F.; Pereira, L.A.; Reis, V.P.; Fernandes, V.; Arruda, A.F.; Guerriero, A.; Alcaraz, P.E.; Freitas, T.T.; Loturco, I. Impact of sled loads on performance and kinematics of elite sprinters and rugby players. Int. J. Sports Physiol. Perform. 2021, 17, 465–473. [Google Scholar] [CrossRef]
- Hinrichs, R.N. Upper extremity function in running. II: Angular momentum considerations. J. Appl. Biomech. 1987, 3, 242–263. [Google Scholar] [CrossRef]
- Hinrichs, R.N.; Cavanagh, P.R.; Williams, K.R. Upper Extremity Function in Running. I: Center of Mass and Propulsion Considerations. Int. J. Sport Biomech. 1987, 3, 222–241. [Google Scholar] [CrossRef]
- Seitz, L.B.; Reyes, A.; Tran, T.T.; De Villarreal, E.S.; Haff, G.G. Increases in Lower-Body Strength Transfer Positively to Sprint Performance: A Systematic Review with Meta-Analysis. Sports Med. 2014, 44, 1693–1702. [Google Scholar] [CrossRef] [PubMed]
- Bosch, F.; Klomp, R. Running: Biomechanics and Exercise Physiology in Practice; Elsevier Churchill Livingstone: London, UK, 2005. [Google Scholar]
- Bosch, F. Strength Training and Coordination: An integrative Approach; 2010 Uitgevers: Rotterdam, The Netherlands, 2015. [Google Scholar]
- Alcaraz, P.E.; Elvira, J.L.; Palao, J.M. Kinematic, strength, and stiffness adaptations after a short-term sled towing training in athletes. Scand. J. Med. Sci. Sports 2014, 24, 279–290. [Google Scholar] [CrossRef] [PubMed]
- McMorrow, B.J.; Ditroilo, M.; Egan, B. Effect of heavy resisted sled sprint training during the competitive season on sprint and change-of-direction performance in professional soccer players. Int. J. Sports Physiol. Perform. 2019, 14, 1066–1073. [Google Scholar] [CrossRef] [PubMed]
- Bosco, C.; Vittori, C. Biomechanical characteristics of sprint running during maximal and supra-maximal speed. IAAF New Stud. Athl. 1986, 39–45. [Google Scholar]
- Péronnet, F.; Thibault, G. Mathematical analysis of running performance and world running records. J. Appl. Physiol. 1989, 67, 453–465. [Google Scholar] [CrossRef]
- Lacour, R. Physiological analysis of qualities required in sprinting. New Stud. Athl. 1996, 11, 59–62. [Google Scholar]
- Verkoshanky, Y. Principles for a rational organization of the training process aimed at speed development. New Stud. Athl. 1996, 11, 155–160. [Google Scholar]
- Savoia, C.; Padulo, J.; Colli, R.; Marra, E.; McRobert, A.; Chester, N.; Azzone, V.; Pullinger, S.A.; Doran, D.A. The Validity of an Updated Metabolic Power Algorithm Based upon di Prampero’s Theoretical Model in Elite Soccer Players. Int. J. Environ. Res. Public Health 2020, 17, 9554. [Google Scholar] [CrossRef]
- Buglione, A.; di Prampero, P.E. Energy cost of elite soccer players before and during season. In Proceedings of the XXXII World Congress of Sports Medicine, Rome, Italy, 27–30 September 2012; pp. 27–30. [Google Scholar]
- di Prampero, P.E.; Fusi, S.; Sepulcri, L.; Morin, J.-B.; Belli, A.; Antonutto, G. Sprint running: A new energetic approach. J. Exp. Biol. 2005, 208, 2809–2816. [Google Scholar] [CrossRef]
- Minetti, A.E.; Moia, C.; Roi, G.S.; Susta, D.; Ferretti, G. Energy cost of walking and running at extreme uphill and downhill slopes. J. Appl. Physiol. 2002, 93, 1039–1046. [Google Scholar] [CrossRef] [PubMed]
- Grassadonia, G.; Alcaraz, P.E.; Freitas, T.T. Comparison of Metabolic Power and Energy Cost of Submaximal and Sprint Running Efforts Using Different Methods in Elite Youth Soccer Players: A Novel Energetic Approach. Sensors 2024, 24, 2577. [Google Scholar] [CrossRef] [PubMed]
- Asmussen, E.; Bonde-Petersen, F. Apparent Efficiency and Storage of Elastic Energy in Human Muscles during Exercise. Acta Physiol. Scand. 1974, 92, 537–545. [Google Scholar] [CrossRef] [PubMed]
- Kaneko, M. Mechanics and energetics in running with special reference to efficiency. J. Biomech. 1990, 23, 57–63. [Google Scholar] [CrossRef] [PubMed]
- Alexander, R. Energy-Saving Mechanisms in Walking and Running. J. Exp. Biol. 1991, 160, 55–69. [Google Scholar] [CrossRef]
- Kyröläinen, H.; Komi, P.V.; Belli, A. Mechanical efficiency in athletes during running. Scand. J. Med. Sci. Sports 1995, 5, 200–208. [Google Scholar] [CrossRef]
- Monte, A.; Maganaris, C.; Baltzopoulos, V.; Zamparo, P. The influence of Achilles tendon mechanical behaviour on “apparent” efficiency during running at different speeds. Eur. J. Appl. Physiol. 2020, 120, 2495–2505. [Google Scholar] [CrossRef]
- Willems, P.A.; Cavagna, G.A.; Heglund, N.C. External, Internal and Total Work in Human Locomotion. J. Exp. Biol. 1995, 198, 379–393. [Google Scholar] [CrossRef]
- Farris, D.J.; Sawicki, G.S. The mechanics and energetics of human walking and running: A joint level perspective. J. R. Soc. Interface 2012, 9, 110–118. [Google Scholar] [CrossRef]
- Voigt, M.; Bojsen-Møller, F.; Simonsen, E.B.; Dyhre-Poulsen, P. The influence of tendon youngs modulus, dimensions and instantaneous moment arms on the efficiency of human movement. J. Biomech. 1995, 28, 281–291. [Google Scholar] [CrossRef]
- Grassadonia, G.; Sacchetta, L.; Rosati, V.; Locuratolo, N. A New Integrated Approach in the Postural Evaluation of an U16 Elite Soccer Player: A Case Report. Ita. J. Sports Reh. Po. 2023, 10, 2810–2828. [Google Scholar]
- Pugh, L.G. Oxygen intake in track and treadmill running with observations on the effect of air resistance. J. Physiol. 1970, 207, 823–835. [Google Scholar] [CrossRef] [PubMed]
- Colyer, S.L.; McGuigan, P.M. Textile electrodes embedded in clothing: A practical alternative to traditional surface electromyography when assessing muscle excitation during functional movements. J. Sports Sci. Med. 2018, 17, 101. [Google Scholar]
- Finni, T.; Hu, M.; Kettunen, P.; Vilavuo, T.; Cheng, S. Measurement of EMG activity with textile electrodes embedded into clothing. Physiol. Meas. 2007, 28, 1405. [Google Scholar] [CrossRef]
- Padulo, J.; Iuliano, E.; Brisola, G.; Iacono, A.D.; Zagatto, A.M.; Lupo, C.; Fuglsang, T.; Ardigò, L.P.; Cular, D. Validity and reliability of a standalone low-end 50-Hz GNSS receiver during running. Biol. Sport 2019, 36, 75–80. [Google Scholar] [CrossRef]
- Colyer, S.L.; Nagahara, R.; Salo, A.I.T. Kinetic demands of sprinting shift across the acceleration phase: Novel analysis of entire force waveforms. Scand. J. Med. Sci. Sports 2018, 28, 1784–1792. [Google Scholar] [CrossRef]
- Colyer, S.L.; Nagahara, R.; Takai, Y.; Salo, A.I.T. How sprinters accelerate beyond the velocity plateau of soccer players: Waveform analysis of ground reaction forces. Scand. J. Med. Sci. Sports 2018, 28, 2527–2535. [Google Scholar] [CrossRef]
- Priyantono, W.I.; Tinduh, D.; Prawitri, Y.D.; Pawana, I.P.A.; Melaniani, S. Effects of modified hybrid resistance training on concentric quadriceps femoris peak torque and eccentric hamstring peak torque in untrained healthy subjects. Bali Med. J. 2023, 12, 959–965. [Google Scholar] [CrossRef]
- van den Tillaar, R. Effect of active resisted 30 m sprints upon step and joint kinematics and muscle activity in experienced male and female sprinters. J. Sports Sci. 2021, 39, 1060–1069. [Google Scholar] [CrossRef]
- van den Tillaar, R. Comparison of development of step-kinematics of assisted 60 m sprints with different pulling forces between experienced male and female sprinters. PLoS ONE 2021, 16, e0255302. [Google Scholar] [CrossRef]
- van den Tillaar, R.; Nagahara, R.; Gleadhill, S.; Jiménez-Reyes, P. Step-to-Step Kinematic Validation Between an Inertial Measurement Unit (IMU) 3D System, a Combined Laser+IMU System and Force Plates During a 50 M Sprint in a Cohort of Sprinters. Sensors 2021, 21, 6560. [Google Scholar] [CrossRef] [PubMed]
- Osgnach, C.; Poser, S.; Bernardini, R.; Rinaldo, R.; di Prampero, P.E. Energy cost and metabolic power in elite soccer: A new match analysis approach. Med. Sci. Sports Exerc. 2010, 42, 170–178. [Google Scholar] [CrossRef] [PubMed]
- Sonderegger, K.; Tschopp, M.; Taube, W. The Challenge of Evaluating the Intensity of Short Actions in Soccer: A New Methodological Approach Using Percentage Acceleration. PLoS ONE 2016, 11, e0166534. [Google Scholar] [CrossRef]
- Piras, A.; Raffi, M.; Atmatzidis, C.; Merni, F.; Di Michele, R. The Energy Cost of Running with the Ball in Soccer. Int. J. Sports Med. 2017, 38, 877–882. [Google Scholar] [CrossRef]
- Licciardi, A.; Grassadonia, G.; Monte, A.; Ardigò, L.P. Match metabolic power over different playing phases in a young professional soccer team. J. Sports Med. Phys. Fit. 2020, 60, 1170–1171. [Google Scholar] [CrossRef]
- Douglas, J.; Pearson, S.; Ross, A.; McGuigan, M. Kinetic Determinants of Reactive Strength in Highly Trained Sprint Athletes. J. Strength Cond. Res. 2018, 32, 1562–1570. [Google Scholar] [CrossRef]
- Douglas, J.; Pearson, S.; Ross, A.; McGuigan, M. Reactive and eccentric strength contribute to stiffness regulation during maximum velocity sprinting in team sport athletes and highly trained sprinters. J. Sports Sci. 2020, 38, 1678363. [Google Scholar] [CrossRef]
- Mero, A.; Komi, P.V.; Gregor, R.J. Biomechanics of Sprint Running: A Review. Sports Med. 1992, 13, 376–392. [Google Scholar] [CrossRef]
- Bezodis, N.E.; Willwacher, S.; Salo, A.I.T. The Biomechanics of the Track and Field Sprint Start: A Narrative Review. Sports Med. 2019, 49, 1345–1364. [Google Scholar] [CrossRef]
- Jarvis, P.; Turner, A.; Chavda, S.; Bishop, C. The acute effects of heavy sled towing on subsequent sprint acceleration performance. J. Trainology 2017, 6, 18–25. [Google Scholar] [CrossRef]
- Malone, J.J.; Lovell, R.; Varley, M.C.; Coutts, A.J. Unpacking the Black Box: Applications and Considerations for Using GPS Devices in Sport. Int. J. Sports Physiol. Perform. 2017, 12 (Suppl. S2), S218–S226. [Google Scholar] [CrossRef] [PubMed]
- Novacheck, T.F. The biomechanics of running. Gait Posture 1998, 7, 77–95. [Google Scholar] [CrossRef] [PubMed]
- Winwood, P.W.; Posthumus, L.R.; Cronin, J.B.; Keogh, J.W.L. The Acute Potentiating Effects of Heavy Sled Pulls on Sprint Performance. J. Strength Cond. Res. 2016, 30, 1248–1254. [Google Scholar] [CrossRef] [PubMed]
- Zamparo, P.; Pavei, G.; Nardello, F.; Bartolini, D.; Monte, A.; Minetti, A.E. Mechanical work and efficiency of 5 + 5 m shuttle running. Eur. J. Appl. Physiol. 2016, 116, 1911–1919. [Google Scholar] [CrossRef]




| Abbreviations | |
|---|---|
| AE | Apparent Efficiency |
| EC | Energy Cost |
| EMG | Electromyography |
| G | Gluteus |
| GPS | Global Positioning System |
| H | Hamstrings |
| IMU | Inertial Measurement Unit |
| MP | Metabolic Power |
| PS | Parachute Sprint |
| Q | Quadriceps |
| SS | Sled Sprint |
| SS15 | Sled Sprint with 15 kg of additional mass |
| SS30 | Sled Sprint with 30 kg of additional mass |
| SS45 | Sled Sprint with 45 kg of additional mass |
| SS60 | Sled Sprint with 60 kg of additional mass |
| US | Unresisted Sprint |
| Apparent Efficiency (Arbitrary Unit) | |
|---|---|
| US | 1.14 ± 0.24 |
| PS | 1.08 ± 0.23 |
| SS15 | 0.90 ± 0.22 |
| SS30 | 0.76 ± 0.19 |
| SS45 | 0.60 ± 0.14 |
| SS60 | 0.50 ± 0.12 |
Disclaimer/Publisher’s Note: The statements, opinions and data contained in all publications are solely those of the individual author(s) and contributor(s) and not of MDPI and/or the editor(s). MDPI and/or the editor(s) disclaim responsibility for any injury to people or property resulting from any ideas, methods, instructions or products referred to in the content. |
© 2024 by the authors. Licensee MDPI, Basel, Switzerland. This article is an open access article distributed under the terms and conditions of the Creative Commons Attribution (CC BY) license (https://creativecommons.org/licenses/by/4.0/).
Share and Cite
Grassadonia, G.; Bruni, M.; Alcaraz, P.E.; Freitas, T.T. Energetic and Neuromuscular Demands of Unresisted, Parachute- and Sled-Resisted Sprints in Youth Soccer Players: Differences Between Two Novel Determination Methods. Sensors 2024, 24, 7248. https://doi.org/10.3390/s24227248
Grassadonia G, Bruni M, Alcaraz PE, Freitas TT. Energetic and Neuromuscular Demands of Unresisted, Parachute- and Sled-Resisted Sprints in Youth Soccer Players: Differences Between Two Novel Determination Methods. Sensors. 2024; 24(22):7248. https://doi.org/10.3390/s24227248
Chicago/Turabian StyleGrassadonia, Gabriele, Michele Bruni, Pedro E. Alcaraz, and Tomás T. Freitas. 2024. "Energetic and Neuromuscular Demands of Unresisted, Parachute- and Sled-Resisted Sprints in Youth Soccer Players: Differences Between Two Novel Determination Methods" Sensors 24, no. 22: 7248. https://doi.org/10.3390/s24227248
APA StyleGrassadonia, G., Bruni, M., Alcaraz, P. E., & Freitas, T. T. (2024). Energetic and Neuromuscular Demands of Unresisted, Parachute- and Sled-Resisted Sprints in Youth Soccer Players: Differences Between Two Novel Determination Methods. Sensors, 24(22), 7248. https://doi.org/10.3390/s24227248

