Deformation Monitoring and Analysis of Baige Landslide (China) Based on the Fusion Monitoring of Multi-Orbit Time-Series InSAR Technology
Abstract
1. Introduction
2. Study Area and Datasets
2.1. Overview of the Study Area
2.2. Data Sources
3. Methodology
3.1. Time-Series InSAR Technology
3.2. Computational Method for Extracting Landslide’s Downslope Direction Deformation by Fusing Multi-Orbit LOS Direction Deformation
3.3. Landslide Sliding Stage Classification Method
4. Results
4.1. Time–Series InSAR Processing Results
4.2. Landslide’s Downslope Direction Deformations Extracted by Fusion of Multi-Orbit Time-Series Deformations
5. Discussion
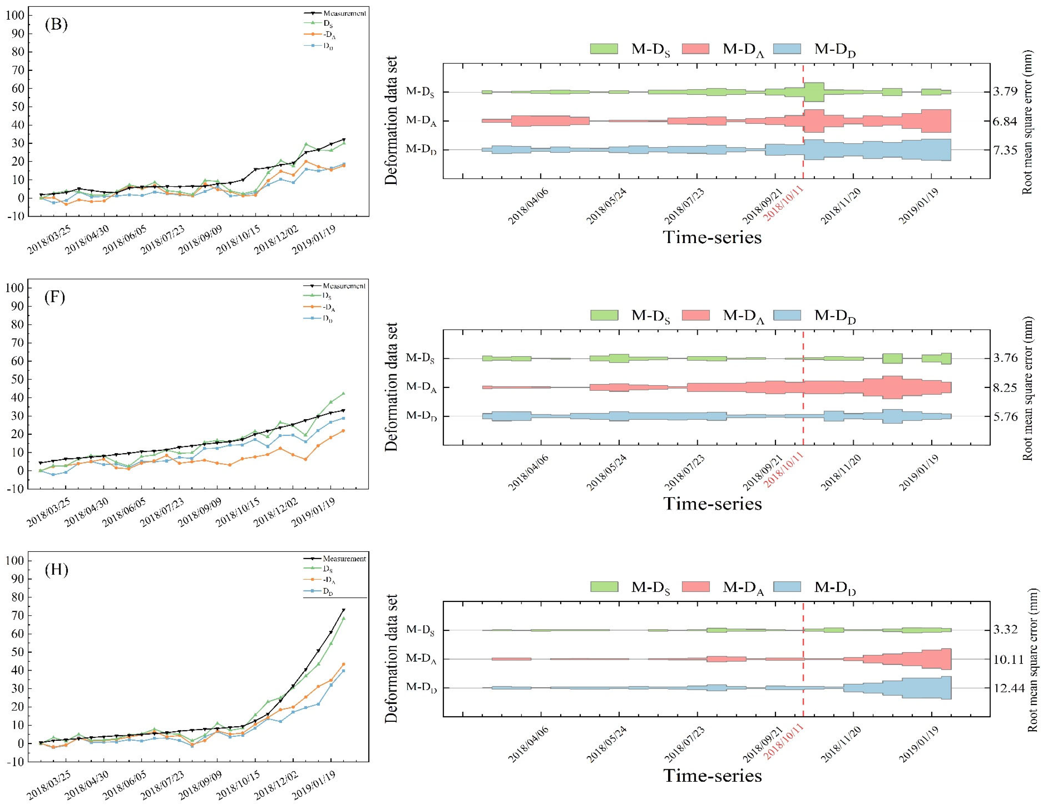
5.1. Accuracy Verification of the Fusion Method for Extracting the Landslide’s Downslope Direction Deformation Ds
5.2. Deformation and Causative Factors Analysis of the Baige Landslide
6. Conclusions
Author Contributions
Funding
Institutional Review Board Statement
Informed Consent Statement
Data Availability Statement
Acknowledgments
Conflicts of Interest
Appendix A


Appendix B

References
- Zhao, B.; Yuan, L.; Geng, X.; Su, L.; Qian, J.; Wu, H.; Liu, M.; Li, J. Deformation characteristics of a large landslide reactivated by human activity in Wanyuan city, Sichuan Province, China. Landslides 2022, 19, 1131–1141. [Google Scholar] [CrossRef]
- Zhang, Y.; Hu, X.; Tannant, D.D.; Zhang, G.; Tan, F. Field monitoring and deformation characteristics of a landslide with piles in the Three Gorges Reservoir area. Landslides 2018, 15, 581–592. [Google Scholar] [CrossRef]
- Liu, X.; Zhu, W.; Lian, X.; Xu, X. Monitoring Mining Surface Subsidence with Multi-Temporal Three-Dimensional Unmanned Aerial Vehicle Point Cloud. Remote Sens. 2023, 15, 374. [Google Scholar] [CrossRef]
- Turner, D.; Lucieer, A.; de Jong, S.M. Time Series Analysis of Landslide Dynamics Using an Unmanned Aerial Vehicle (UAV). Remote Sens. 2015, 7, 1736–1757. [Google Scholar] [CrossRef]
- Casagli, N.; Intrieri, E.; Tofani, V.; Gigli, G.; Raspini, F. Landslide detection, monitoring and prediction with remote-sensing techniques. Nat. Rev. Earth Environ. 2023, 4, 51–64. [Google Scholar] [CrossRef]
- Jin, S.; Camps, A.; Jia, Y.; Wang, F.; Martin-Neira, M.; Huang, F.; Yan, Q.; Zhang, S.; Li, Z.; Edokossi, K.; et al. Remote sensing and its applications using GNSS reflected signals: Advances and prospects. Satell. Navig. 2024, 5, 19. [Google Scholar] [CrossRef]
- Intrieri, E.; Raspini, F.; Fumagalli, A.; Lu, P.; Conte, S.D.; Farina, P.; Allievi, J.; Ferretti, A.; Casagli, N. The Maoxian landslide as seen from space: Detecting precursors of failure with Sentinel-1 data. Landslides 2018, 15, 123–133. [Google Scholar] [CrossRef]
- Maurya, V.K.; Dwivedi, R.; Martha, T.R. Site scale landslide deformation and strain analysis using MT-InSAR and GNSS approach—A case study. Adv. Space Res. 2022, 70, 3932–3947. [Google Scholar] [CrossRef]
- Yi, S.; Wu, C.; Cui, P.; Li, Y.; Lei, M. Cause of the Baige Landslides: Long-Term Cumulative Coupled Effect of Tectonic Action and Surface Erosion. Lithosphere 2021, 2021, 7784535. [Google Scholar] [CrossRef]
- Li, B.; Jiang, W.; Li, Y.; Luo, Y.; Jiao, Q.; Zhang, Q. Monitoring and analysis of Woda landslide (China) using InSAR and Sentinel-1 data. Adv. Space Res. 2023, 72, 1789–1802. [Google Scholar] [CrossRef]
- Zheng, Z.; Xie, C.; He, Y.; Zhu, M.; Huang, W.; Shao, T. Monitoring Potential Geological Hazards with Different InSAR Algorithms: The Case of Western Sichuan. Remote Sens. 2022, 14, 2049. [Google Scholar] [CrossRef]
- Chang, Z.; Wang, Y.; Qian, S.; Zhu, J.; Wang, W.; Liu, X.; Yu, J. An approach for retrieving complete three-dimensional ground displacement components from two parallel-track InSAR measurements. J. Geodesy 2020, 94, 111. [Google Scholar] [CrossRef]
- Ao, M.; Zhang, L.; Liao, M.S.; Zhang, L. Deformation monitoring with adaptive integration of multi-source InSAR data based on variance component estimation. Chinese J. Geophys. 2020, 63, 2901–2911. [Google Scholar] [CrossRef]
- Fuhrmann, T.; Garthwaite, M.C. Resolving Three-Dimensional Surface Motion with InSAR: Constraints from Multi-Geometry Data Fusion. Remote Sens. 2019, 11, 241. [Google Scholar] [CrossRef]
- Falabella, F.; Pepe, A.; Perrone, A.; Stabile, T.A. A Variance-Covariance method to estimating the errors of 3-D ground displacement time-series using small baseline InSAR algorithms and multi-platform SAR data. ISPRS J. Photogramm. 2024, 211, 208–227. [Google Scholar] [CrossRef]
- Gao, Y.J.; Zhao, S.Y.; Deng, J.H.; Yu, Z.Q.; Rahman, M. Flood assessment and early warning of the reoccurrence of river blockage at the Baige landslide. J. Geogr. Sci. 2021, 31, 1694–1712. [Google Scholar] [CrossRef]
- Chen, Z.; Song, D. A large landslide on the upper reach of the Jinsha River, SE Tibetan Plateau: Characteristics, influencing factors, and mechanism. Nat. Hazards 2024, 120, 153–179. [Google Scholar] [CrossRef]
- Chen, Z.; Zhou, H.; Ye, F.; Liu, B.; Fu, W. The characteristics, induced factors, and formation mechanism of the 2018 Baige landslide in Jinsha River, Southwest China. Catena 2021, 203, 105337. [Google Scholar] [CrossRef]
- Cui, Y.; Bao, P.; Xu, C.; Fu, G.; Jiao, Q.; Luo, Y.; Shen, L.; Xu, X.; Liu, F.; Lyu, Y.; et al. A big landslide on the Jinsha River, Tibet, China: Geometric characteristics, causes, and future stability. Nat. Hazards 2020, 104, 2051–2070. [Google Scholar] [CrossRef]
- Tian, S.; Chen, N.; Wu, H.; Yang, C.; Zhong, Z.; Rahman, M. New insights into the occurrence of the Baige landslide along the Jinsha River in Tibet. Landslides 2020, 17, 1207–1216. [Google Scholar] [CrossRef]
- An, H.; Ouyang, C.; Zhou, S. Dynamic process analysis of the Baige landslide by the combination of DEM and long-period seismic waves. Landslides 2021, 18, 1625–1639. [Google Scholar] [CrossRef]
- Li, Y.; Jiao, Q.; Hu, X.; Li, Z.; Li, B.; Zhang, J.; Jiang, W.; Luo, Y.; Li, Q.; Ba, R. Detecting the slope movement after the 2018 Baige Landslides based on ground—Based and space-borne radar observations. Int. J. Appl. Earth Obs. 2020, 84, 101949. [Google Scholar] [CrossRef]
- Dai, S.; Zhang, Z.; Li, Z.; Liu, X.; Chen, Q. Prediction of Mining-Induced 3-D Deformation by Integrating Single-Orbit SBAS-InSAR, GNSS, and Log-Logistic Model (LL-SIG). IEEE Trans. Geosci. Remote Sens. 2023, 61, 1–13. [Google Scholar] [CrossRef]
- Ding, C.; Feng, G.; Zhang, L.; Wang, W. Retrospect on the Ground Deformation Process and Potential Triggering Mechanism of the Traditional Steel Production Base in Laiwu with ALOS PALSAR and Sentinel-1 SAR Sensors. Sensors 2024, 24, 4872. [Google Scholar] [CrossRef]
- Guo, J.; Xi, W.; Yang, Z.; Huang, G.; Xiao, B.; Jin, T.; Hong, W.; Gui, F.; Ma, Y. Study on Optimization Method for InSAR Baseline Considering Changes in Vegetation Coverage. Sensors 2024, 24, 4783. [Google Scholar] [CrossRef]
- Zhao, D.; Yao, H.; Gu, X. Highway Deformation Monitoring by Multiple InSAR Technology. Sensors 2024, 24, 2988. [Google Scholar] [CrossRef]
- Ferretti, A.; Prati, C.; Rocca, F. Permanent scatterers in SAR interferometry. IEEE Trans. Geosci. Remote Sens. 2001, 39, 8–20. [Google Scholar] [CrossRef]
- Berardino, P.; Fornaro, G.; Lanari, R.; Sansosti, E. A new algorithm for surface deformation monitoring based on small baseline differential SAR interferograms. IEEE Trans. Geosci. Remote Sens. 2002, 40, 2375–2383. [Google Scholar] [CrossRef]
- Chen, Y.; Ding, C.; Huang, P.; Yin, B.; Tan, W.; Qi, Y.; Xu, W.; Du, S. Research on Time Series Monitoring of Surface Deformation in Tongliao Urban Area Based on SBAS-PS-DS-InSAR. Sensors 2024, 24, 1169. [Google Scholar] [CrossRef]
- Gezgin, C. The influence of groundwater levels on land subsidence in Karaman (Turkey) using the PS-InSAR technique. Adv. Space Res. 2022, 70, 3568–3581. [Google Scholar] [CrossRef]
- Li, Y.; Feng, X.; Li, Y.; Jiang, W.; Yu, W. Detection and analysis of potential landslides based on SBAS-InSAR technology in alpine canyon region. Environ. Sci. Pollut. Res. 2024, 31, 6492–6510. [Google Scholar] [CrossRef] [PubMed]
- Wang, Z.; Dai, H.; Yan, Y.; Liu, J.; Ren, J. Combination of InSAR with a Depression Angle Model for 3D Deformation Monitoring in Mining Areas. Remote Sens. 2023, 15, 1834. [Google Scholar] [CrossRef]
- Jiang, C.; Wang, L.; Yu, X. Retrieving 3D Large Gradient Deformation Induced to Mining Subsidence Based on Fusion of Boltzmann Prediction Model and Single-Track InSAR Earth Observation Technology. IEEE Access 2021, 9, 87156–87172. [Google Scholar] [CrossRef]
- Jiang, C.; Wang, L.; Yu, X.; Chi, S.; Wei, T.; Wang, X. DPIM-Based InSAR Phase Unwrapping Model and a 3D Mining—Induced Surface Deformation Extracting Method: A Case of Huainan Mining Area. Ksce J. Civ. Eng. 2021, 25, 654–668. [Google Scholar] [CrossRef]
- Hu, X.; Lu, Z.; Pierson, T.C.; Kramer, R.; George, D.L. Combining InSAR and GPS to Determine Transient Movement and Thickness of a Seasonally Active Low-Gradient Translational Landslide. Geophys. Res. Lett. 2018, 45, 1453–1462. [Google Scholar] [CrossRef]
- Hu, Y.; Liu, L.; Wang, X.; Zhao, L.; Wu, T.; Cai, J.; Zhu, X.; Hao, J. Quantification of permafrost creep provides kinematic evidence for classifying a puzzling periglacial landform. Earth Surf. Proc. Landf. 2021, 46, 465–477. [Google Scholar] [CrossRef]
- Cai, J.; Liu, G.; Jia, H.; Zhang, B.; Wu, R.; Fu, Y.; Xiang, W.; Mao, W.; Wang, X.; Zhang, R. A new algorithm for landslide dynamic monitoring with high temporal resolution by Kalman filter integration of multiplatform time-series InSAR processing. Int. J. Appl. Earth Obs. Geoinf. 2022, 110, 102812. [Google Scholar] [CrossRef]
- Lindsey, E.O.; Fialko, Y.; Bock, Y.; Sandwell, D.T.; Bilham, R. Localized and distributed creep along the southern San Andreas Fault. J. Geophys. Res.-Solid Earth 2014, 119, 7909–7922. [Google Scholar] [CrossRef]
- Liu, G.X.; Zhang, R.; Li, T.; Yu, B.; Li, T.; Jia, H.G.; Nie, Y.J. Extracting 3D ground deformation velocity field by multi-platform persistent scatterer SAR interferometry. Chinese J. Geophys. 2012, 55, 2598–2610. [Google Scholar] [CrossRef]
- Wei, H.; Ou, O.; Wang, W.; Ruan, J.; Zhong, B.; Lao, L.; Li, Z.; Du, X.; Leng, X. Study on rainfall early warning model for Xiangmi Lake slope based on unsaturated soil mechanics. Open Geosci. 2022, 14, 1434–1443. [Google Scholar] [CrossRef]
- Zhang, S.; Jiang, T.; Pei, X.; Huang, R.; Xu, Q.; Xie, Y.; Pan, X.; Zhi, L. A new forecasting method for failure time of creep landslide based on nonlinear creep behavior and new pre-warning criterion. Front. Earth Sci. 2022, 10, 1018432. [Google Scholar] [CrossRef]
- Guo, P.; Zhang, J.; Liu, F.; Liu, W.; Wang, Z.; Chen, J. Experimental Study on Shear Creep and Long-Term Strength of Clay-Type Muddy Interlayer. Appl. Sci. 2023, 13, 12151. [Google Scholar] [CrossRef]
- Li, S.; Sun, Q.; Zhang, Z.; Luo, X. Physical modelling and numerical analysis of slope instability subjected to reservoir impoundment of the Three Gorges. Environ. Earth Sci. 2018, 77, 138. [Google Scholar] [CrossRef]
- Jia, H.; Wang, Y.; Ge, D.; Deng, Y.; Wang, R. Improved offset tracking for predisaster deformation monitoring of the 2018 Jinsha River landslide (Tibet, China). Remote Sens. Environ. 2020, 247, 111899. [Google Scholar] [CrossRef]
- Xiong, Z.; Feng, G.; Feng, Z.; Miao, L.; Wang, Y.; Yang, D.; Luo, S. Pre- and post-failure spatial-temporal deformation pattern of the Baige landslide retrieved from multiple radar and optical satellite images. Eng. Geol. 2020, 279, 105880. [Google Scholar] [CrossRef]
- Xu, F.; Li, Z.; Du, J.; Han, B.; Chen, B.; Li, Y.; Peng, J. Post-Event Surface Deformation of the 2018 Baige Landslide Revealed by Ground-Based and Spaceborne Radar Observations. Remote Sens. 2023, 15, 3996. [Google Scholar] [CrossRef]
- Wang, X.; Liu, G.; Yu, B.; Dai, K.; Zhang, R.; Chen, Q.; Li, Z. 3D coseismic deformations and source parameters of the 2010 Yushu earthquake (China) inferred from DInSAR and multiple-aperture InSAR measurements. Remote Sens. Environ. 2014, 152, 174–189. [Google Scholar] [CrossRef]
- Ran, P.; Li, S.; Zhuo, G.; Wang, X.; Meng, M.; Liu, L.; Chen, Y.; Huang, H.; Ye, Y.; Lei, X. Early Identification and Influencing Factors Analysis of Active Landslides in Mountainous Areas of Southwest China Using SBAS-InSAR. Sustainability 2023, 15, 4366. [Google Scholar] [CrossRef]
- Wang, R.; Lu, Y.; Lu, D.; Li, G. Improving extraction of forest canopy height through reprocessing ICESat-2 ATLAS and GEDI data in sparsely forested plain regions. GIScience Remote Sens. 2024, 61, 2396807. [Google Scholar] [CrossRef]
- Zeng, P.; Wang, S.; Sun, X.; Fan, X.; Li, T.; Wang, D.; Feng, B.; Zhu, X. Probabilistic hazard assessment of landslide-induced river damming. Eng. Geol. 2022, 304, 106678. [Google Scholar] [CrossRef]












| SAR Data Source | Image Time Interval | Scene Heading | Wave Length/cm | Regression Cycle | Image Quantity |
|---|---|---|---|---|---|
| Sentinel-1A (Ascending Orbit) | 5 February 2018 ~ 31 January 2019 | 347.28° | 5.6 (C Wave band) | 12 Days | 30 m |
| Sentinel-1A (Descending Orbit) | 24 February 2018 ~ 3 March 2019 | 192.84° | 5.6 (C Wave band) | 12 Days | 30 m |
| Satellite Orbit | Incidence Angle | Scene Heading | Azimuth Angle |
|---|---|---|---|
| Ascending Orbit | 34.439° | 347.28° | 12.72° |
| Descending Orbit | 34.428° | 192.84° | 167.16° |
Disclaimer/Publisher’s Note: The statements, opinions and data contained in all publications are solely those of the individual author(s) and contributor(s) and not of MDPI and/or the editor(s). MDPI and/or the editor(s) disclaim responsibility for any injury to people or property resulting from any ideas, methods, instructions or products referred to in the content. |
© 2024 by the authors. Licensee MDPI, Basel, Switzerland. This article is an open access article distributed under the terms and conditions of the Creative Commons Attribution (CC BY) license (https://creativecommons.org/licenses/by/4.0/).
Share and Cite
Ye, K.; Wang, Z.; Wang, T.; Luo, Y.; Chen, Y.; Zhang, J.; Cai, J. Deformation Monitoring and Analysis of Baige Landslide (China) Based on the Fusion Monitoring of Multi-Orbit Time-Series InSAR Technology. Sensors 2024, 24, 6760. https://doi.org/10.3390/s24206760
Ye K, Wang Z, Wang T, Luo Y, Chen Y, Zhang J, Cai J. Deformation Monitoring and Analysis of Baige Landslide (China) Based on the Fusion Monitoring of Multi-Orbit Time-Series InSAR Technology. Sensors. 2024; 24(20):6760. https://doi.org/10.3390/s24206760
Chicago/Turabian StyleYe, Kai, Zhe Wang, Ting Wang, Ying Luo, Yiming Chen, Jiaqian Zhang, and Jialun Cai. 2024. "Deformation Monitoring and Analysis of Baige Landslide (China) Based on the Fusion Monitoring of Multi-Orbit Time-Series InSAR Technology" Sensors 24, no. 20: 6760. https://doi.org/10.3390/s24206760
APA StyleYe, K., Wang, Z., Wang, T., Luo, Y., Chen, Y., Zhang, J., & Cai, J. (2024). Deformation Monitoring and Analysis of Baige Landslide (China) Based on the Fusion Monitoring of Multi-Orbit Time-Series InSAR Technology. Sensors, 24(20), 6760. https://doi.org/10.3390/s24206760

