Predicting Athlete Workload in Women’s Rugby Sevens Using GNSS Sensor Data, Contact Count and Mass
Abstract
1. Introduction
1.1. Monitoring Athlete Workload in Sport
1.2. Athlete Workload in Rugby Sevens–GNSS Metrics
1.3. Athlete Workload in Rugby Sevens–Considerations for Acceleration as Workload
1.4. Athlete Workload in Women’s Rugby Sevens–Combining Multiple Objective Factors
2. Materials and Methods
2.1. Study Design
2.2. Subject Information
2.3. Methodology
2.4. Statistical Analysis
2.5. Supervised Evaluation of LMM
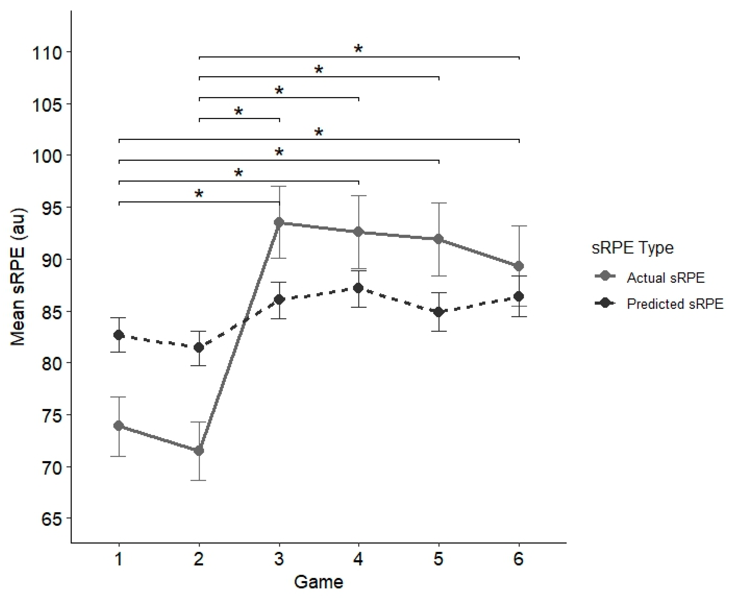
3. Results
3.1. General Summary of Data
3.2. Results of Linear Mixed Model
3.3. Results of Supervised Evaluation of LMM Predicated sRPE Values
4. Discussion
4.1. General Findings
4.2. Distance at Low and Moderate Speed as a Driver of Athlete Load
4.3. Deceleration as a Driver of Athlete Load
4.4. Physical Contact as a Driver of Athlete Load
4.5. Athlete Mass as a Driver of Athlete Load
4.6. Application of Supervised Example
4.7. Future Considerations
4.8. Practical Applications for Coaches and Practitioners
5. Conclusions
Author Contributions
Funding
Institutional Review Board Statement
Informed Consent Statement
Data Availability Statement
Acknowledgments
Conflicts of Interest
References
- Hopkins, W.G. Quantification of training in competitive sports. Methods and applications. Sports Med. 1991, 12, 161–183. [Google Scholar] [CrossRef] [PubMed]
- Mujika, I. Quantification of Training and Competition Loads in Endurance Sports: Methods and Applications. Int. J. Sports Physiol. Perform. 2017, 12 (Suppl. S2), S29–S217. [Google Scholar] [CrossRef] [PubMed]
- Haddad, M.; Stylianides, G.; Djaoui, L.; Dellal, A.; Chamari, K. Session-RPE Method for Training Load Monitoring: Validity, Ecological Usefulness, and Influencing Factors. Front. Neurosci. 2017, 11, 612. [Google Scholar] [CrossRef] [PubMed]
- Foster, C.; Florhaug, J.A.; Franklin, J.; Gottschall, L.; Hrovatin, L.A.; Parker, S.; Doleshal, P.; Dodge, C. A new approach to monitoring exercise training. J. Strength Cond. Res. 2001, 15, 109–115. [Google Scholar]
- Impellizzeri, F.M.; Marcora, S.M.; Coutts, A.J. Internal and external training load: 15 years on. Int. J. Sports Physiol. Perform. 2019, 14, 270–273. [Google Scholar] [CrossRef]
- McLaren, S.J.; Macpherson, T.W.; Coutts, A.J.; Hurst, C.; Spears, I.R.; Weston, M. The Relationships between Internal and External Measures of Training Load and Intensity in Team Sports: A Meta-Analysis. Sports Med. 2018, 48, 641–658. [Google Scholar] [CrossRef]
- Gabbett, T.J.; Nassis, G.P.; Oetter, E.; Pretorius, J.; Johnston, N.; Medina, D.; Rodas, G.; Myslinski, T.; Howells, D.; Beard, A.; et al. The athlete monitoring cycle: A practical guide to interpreting and applying training monitoring data. Br. J. Sports Med. 2017, 51, 1451–1452. [Google Scholar] [CrossRef]
- Epp-Stobbe, A.; Tsai, M.-C.; Klimstra, M. Comparison of Imputation Methods for Missing Rate of Perceived Exertion Data in Rugby. Mach. Learn. Knowl. Extr. 2022, 4, 827–838. [Google Scholar] [CrossRef]
- Hong, S.; Lynn, H.S. Accuracy of random-forest-based imputation of missing data in the presence of non-normality, non-linearity, and interaction. BMC Med. Res. Methodol. 2020, 20, 199. [Google Scholar] [CrossRef]
- Mujika, I. The alphabet of sport science research starts with Q. Int. J. Sports Physiol. Perform. 2013, 8, 465–466. [Google Scholar] [CrossRef]
- Gabbett, T.J. The training-injury prevention paradox: Should athletes be training smarter and harder? Br. J. Sports Med. 2016, 50, 273–280. [Google Scholar] [CrossRef] [PubMed]
- World Rugby. Approved Devices. Available online: https://www.world.rugby/the-game/facilities-equipment/equipment/devices/ (accessed on 10 October 2024).
- Schuster, J.; Howells, D.; Robineau, J.; Couderc, A.; Natera, A.; Lumley, N.; Gabbett, T.J.; Winkelman, N. Physical-Preparation Recommendations for Elite Rugby Sevens Performance. Int. J. Sports Physiol. Perform. 2018, 13, 255–267, Erratum in Int. J. Sports Physiol. Perform. 2018, 13, 536. [Google Scholar] [CrossRef] [PubMed]
- Epp-Stobbe, A.; Tsai, M.C.; Morris, C.; Klimstra, M. The Influence of Physical Contact on Athlete Load in International Female Rugby Sevens. J. Strength Cond. Res. 2022, 37, 383–387. [Google Scholar] [CrossRef] [PubMed]
- Delaney, J.A.; Cummins, C.J.; Thornton, H.R.; Duthie, G.M. Importance, Reliability, and Usefulness of Acceleration Measures in Team Sports. J. Strength Cond. Res. 2018, 32, 3485–3493. [Google Scholar] [CrossRef] [PubMed]
- Delaney, J.A.; Duthie, G.M.; Thornton, H.R.; Scott, T.J.; Gay, D.; Dascombe, B.J. Acceleration-Based Running Intensities of Professional Rugby League Match Play. Int. J. Sports Physiol. Perform. 2016, 11, 802–809. [Google Scholar] [CrossRef]
- Furlan, N.; Waldron, M.; Shorter, K.; Gabbett, T.J.; Mitchell, J.; Fitzgerald, E.; Osborne, M.A.; Gray, A.J. Running-Intensity Fluctuations in Elite Rugby Sevens Performance. Int. J. Sports Physiol. Perform. 2015, 10, 802–807. [Google Scholar] [CrossRef]
- Clarke, A.C.; Anson, J.M.; Pyne, D.B. Proof of Concept of Automated Collision Detection Technology in Rugby Sevens. J. Strength Cond. Res. 2017, 31, 1116–1120. [Google Scholar] [CrossRef]
- Mara, J.K.; Thompson, K.G.; Pumpa, K.L.; Morgan, S. The acceleration and deceleration profiles of elite female soccer players during competitive matches. J. Sci. Med. Sport 2017, 20, 867–872. [Google Scholar] [CrossRef]
- Bureau International des Poids et Mesures. Le Système International D’unités/The International System of Units (‘The SI Brochure’), 9th ed.; Bureau International des Poids et Mesures (BIPM): Paris, France, 2019; ISBN 978-92-822-2272-0. Available online: http://www.bipm.org/en/si/si_brochure/ (accessed on 1 October 2024).
- Harper, D.J.; Carling, C.; Kiely, J. High-Intensity Acceleration and Deceleration Demands in Elite Team Sports Competitive Match Play: A Systematic Review and Meta-Analysis of Observational Studies. Sports Med. 2019, 49, 1923–1947. [Google Scholar] [CrossRef]
- Delves, R.I.M.; Aughey, R.J.; Ball, K.; Duthie, G.M. The Quantification of Acceleration Events in Elite Team Sport: A Systematic Review. Sports Med.—Open 2021, 7, 45. [Google Scholar] [CrossRef]
- World Rugby. Women’s Rugby: About World Rugby. Available online: https://www.world.rugby/organisation/about-us/womens (accessed on 5 September 2023).
- Iannaccone, A.; Conte, D.; Cortis, C.; Fusco, A. Usefulness of Linear Mixed-Effects Models to Assess the Relationship between Objective and Subjective Internal Load in Team Sports. Int. J. Environ. Res. Public Health 2021, 18, 392. [Google Scholar] [CrossRef] [PubMed]
- Roell, M.; Roecker, K.; Gehring, D.; Mahler, H.; Gollhofer, A. Player monitoring in indoor team sports: Concurrent validity of inertial measurement units to quantify average and peak acceleration values. Front. Physiol. 2018, 9, 141. [Google Scholar] [CrossRef] [PubMed]
- Malone, J.J.; Lovell, R.; Varley, M.C.; Coutts, A.J. Unpacking the Black Box: Applications and Considerations for Using GPS Devices in Sport. Int. J. Sports Physiol. Perform. 2017, 12 (Suppl. S2), S218–S226. [Google Scholar] [CrossRef] [PubMed]
- Ihsan, M.; Yeo, V.; Tan, F.; Joseph, R.; Lee, M.; Aziz, A.R. Running Demands and Activity Profile of the New Four-Quarter Match Format in Men’s Field Hockey. J. Strength Cond. Res. 2021, 35, 512–518. [Google Scholar] [CrossRef] [PubMed]
- Sweeting, A.J.; Cormack, S.J.; Morgan, S.; Aughey, R.J. When Is a Sprint a Sprint? A Review of the Analysis of Team-Sport Athlete Activity Profile. Front. Physiol. 2017, 8, 432. [Google Scholar] [CrossRef] [PubMed]
- Gabbett, T.J. Relationship between Accelerometer Load, Collisions, and Repeated High-Intensity Effort Activity in Rugby League Players. J. Strength Cond. Res. 2015, 29, 3424–3431. [Google Scholar] [CrossRef]
- Cunniffe, B.; Proctor, W.; Baker, J.S.; Davies, B. An Evaluation of the Physiological Demands of Elite Rugby Union Using Global Positioning System Tracking Software. J. Strength Cond. Res. 2009, 23, 1195–1203. [Google Scholar] [CrossRef]
- Torres-Ronda, L.; Beanland, E.; Whitehead, S.; Sweeting, A.; Clubb, J. Tracking Systems in Team Sports: A Narrative Review of Applications of the Data and Sport Specific Analysis. Sports Med.—Open 2022, 8, 15. [Google Scholar] [CrossRef]
- Bartlett, J.D.; Drust, B. A framework for effective knowledge translation and performance delivery of Sport Scientists in professional sport. Eur. J. Sport Sci. 2021, 21, 1579–1587. [Google Scholar] [CrossRef]
- Lockie, R.G.; Schultz, A.B.; Callaghan, S.J.; Jeffriess, M.D. The Relationship Between Dynamic Stability and Multidirectional Speed. J. Strength Cond. Res. 2016, 30, 3033–3043. [Google Scholar] [CrossRef]
- Núñez, F.J.; Toscano-Bendala, F.J.; Suarez-Arrones, L.; Martínez-Cabrera, F.I.; De Hoyo, M. Individualized thresholds to analyze acceleration demands in soccer players using GPS (Umbrales individualizados para analizar Las demandas en la aceleración en futbolistas usando GPS). Retos 2018, 35, 75–79. [Google Scholar] [CrossRef]
- World Rugby. Rugby Sevens—Olympic Dreams. Available online: https://www.world.rugby/the-game/beginners-guide/sevens (accessed on 10 October 2024).
- Hendricks, S.; Karpul, D.; Lambert, M. Momentum and kinetic energy before the tackle in rugby union. J. Sports Sci. Med. 2014, 13, 557–563. [Google Scholar] [PubMed]
- Roe, G.; Darrall-Jones, J.; Till, K.; Phibbs, P.; Read, D.; Weakley, J.; Rock, A.; Jones, B. The effect of physical contact on changes in fatigue markers following rugby union field-based training. Eur. J. Sport Sci. 2017, 17, 647–655. [Google Scholar] [CrossRef] [PubMed]
- Tierney, P.; Blake, C.; Delahunt, E. Physical characteristics of different professional rugby union competition levels. J. Sci. Med. Sport 2021, 24, 1267–1271. [Google Scholar] [CrossRef] [PubMed]
- Ross, A.; Gill, N.; Cronin, J. Match analysis and player characteristics in rugby sevens. Sports Med. 2014, 44, 357–367. [Google Scholar] [CrossRef]
- Misseldine, N.D.; Blagrove, R.C.; Goodwin, J.E. Speed demands of women’s rugby sevens match play. J. Strength Cond. Res. 2018, 35, 183–189. [Google Scholar] [CrossRef]
- Ferioli, D.; Scanlan, A.T.; Conte, D.; Tibilette, E.; Rampinini, E. The business end of the season: A comparison between playoff and regular-season workloads in professional basketball players. Int. J. Sports Physiol. Perform. 2021, 16, 655–662. [Google Scholar] [CrossRef]
- Schultz de Arruda, A.F.; Saldana Aoki, M.; Drago, G.; Moreira, A. Salivary testosterone concentration, anxiety, perceived performance and ratings of perceived exertion in basketball players during semi-final and final matches. Physiol. Behav. 2019, 198, 102–107. [Google Scholar] [CrossRef]
- Griffin, A.; Kenny, I.C.; Comyns, T.M.; Purtill, H.; Tiernan, C.; O’Shaughnessy, E.; Lyons, M. Training load monitoring in team sports: A practical approach to addressing missing data. J. Sports Sci. 2021, 39, 2161–2171. [Google Scholar] [CrossRef]
- Mellalieu, S.D.; Neil, R.; Hanton, S.; Fletcher, D. Competition stress in sport performers: Stressors experienced in the competition environment. J. Sports Sci. 2009, 27, 729–744. [Google Scholar] [CrossRef]
- McCall, A.; Wolfberg, A.; Ivarsson, A.; Dupont, G.; Larocque, A.; Bilsborough, J. A qualitative study of 11 world-class team-sport athletes’ experiences answering subjective questionnaires: A key ingredient for ‘visible’ health and performance monitoring? Sports Med. 2023, 53, 1085–1100. [Google Scholar] [CrossRef] [PubMed]
- McBurnie, A.J.; Harper, D.J.; Jones, P.A.; Dos’Santos, T. Deceleration training in team sports: Another potential ‘vaccine’ for sports-related injury? Sports Med. 2022, 52, 1–12. [Google Scholar] [CrossRef] [PubMed]
- Caparrós, T.; Casals, M.; Solana, Á.; Peña, J. Low External Workloads Are Related to Higher Injury Risk in Professional Male Basketball Games. J. Sports Sci. Med. 2018, 17, 289–297. [Google Scholar] [PubMed] [PubMed Central]
- Gabbett, T.J.; Jenkins, D.G. Relationship between training load and injury in professional rugby league players. J. Sci. Med. Sport 2011, 14, 204–209. [Google Scholar] [CrossRef]
- Gabbett, T.J.; Jenkins, D.G.; Abernathy, B. Correlates of tackling ability in high-performance rugby league players. J. Strength Cond. Res. 2011, 25, 72–79. [Google Scholar] [CrossRef]






| Movement Speed | Acceleration Type | Distance Covered (m) |
|---|---|---|
| Low Speed (LS) | Low Acceleration (LA) | 11.24 ± 5.655 |
| High Acceleration (HA) | 1.99 ± 1.300 | |
| Low Deceleration (LD) | 259.39 ± 130.090 | |
| High Deceleration (HD) | 2.85 ± 9.401 | |
| Moderate Speed (MS) | Low Acceleration (LA) | 21.67 ± 9.616 |
| High Acceleration (HA) | 16.82 ± 7.385 | |
| Low Deceleration (LD) | 703.58 ± 298.059 | |
| High Deceleration (HD) | 16.41 ± 6.993 | |
| High Speed (HS) | Low Acceleration (LA) | 2.37 ± 1.603 |
| High Acceleration (HA) | 2.60 ± 1.636 | |
| Low Deceleration (LD) | 82.49 ± 52.290 | |
| High Deceleration (HD) | 1.78 ± 1.314 |
| Authors | Population | Strategy for Data Processing | Data Processing Output |
|---|---|---|---|
| Delaney et al. (2016) [16] | Men’s rugby league | Absolute value (all values expressed as positive acceleration) | Total acceleration distance |
| Delaney et al. (2018) [15] | Men’s rugby league | Accelerations/Decelerations | Acceleration ratio |
| Furlan et al. (2015) [17] | Men’s rugby sevens | Thresholds of acceleration and deceleration | Four bins of acceleration and deceleration distances |
| Current study | Women’s rugby sevens | Thresholds of speed and acceleration and deceleration | Twelve bins of acceleration and deceleration distances |
Disclaimer/Publisher’s Note: The statements, opinions and data contained in all publications are solely those of the individual author(s) and contributor(s) and not of MDPI and/or the editor(s). MDPI and/or the editor(s) disclaim responsibility for any injury to people or property resulting from any ideas, methods, instructions or products referred to in the content. |
© 2024 by the authors. Licensee MDPI, Basel, Switzerland. This article is an open access article distributed under the terms and conditions of the Creative Commons Attribution (CC BY) license (https://creativecommons.org/licenses/by/4.0/).
Share and Cite
Epp-Stobbe, A.; Tsai, M.-C.; Klimstra, M.D. Predicting Athlete Workload in Women’s Rugby Sevens Using GNSS Sensor Data, Contact Count and Mass. Sensors 2024, 24, 6699. https://doi.org/10.3390/s24206699
Epp-Stobbe A, Tsai M-C, Klimstra MD. Predicting Athlete Workload in Women’s Rugby Sevens Using GNSS Sensor Data, Contact Count and Mass. Sensors. 2024; 24(20):6699. https://doi.org/10.3390/s24206699
Chicago/Turabian StyleEpp-Stobbe, Amarah, Ming-Chang Tsai, and Marc D. Klimstra. 2024. "Predicting Athlete Workload in Women’s Rugby Sevens Using GNSS Sensor Data, Contact Count and Mass" Sensors 24, no. 20: 6699. https://doi.org/10.3390/s24206699
APA StyleEpp-Stobbe, A., Tsai, M.-C., & Klimstra, M. D. (2024). Predicting Athlete Workload in Women’s Rugby Sevens Using GNSS Sensor Data, Contact Count and Mass. Sensors, 24(20), 6699. https://doi.org/10.3390/s24206699

