Vibration-Based SHM in the Synthetic Mooring Lines of the Semisubmersible OO-Star Wind Floater under Varying Environmental and Operational Conditions
Abstract
1. Introduction
1.1. The General Problem
1.2. Conceptual Approach: Mitigating Uncertainties in Vibration-Based SHM
1.3. Aim and Objectives
- Two Multiple Model (MM)-based methods;
- Two PCA-based MM methods;
- Two Functional Model (FM)-based methods.
2. Case Study
2.1. The OO-Star Wind Floater Semi 10 MW FOWT
2.2. The Monte Carlo Simulations
2.3. The Damage Scenarios
2.4. The Environmental and Operational Conditions
2.5. Influence of the EOCs and Damage on the Structural Dynamics
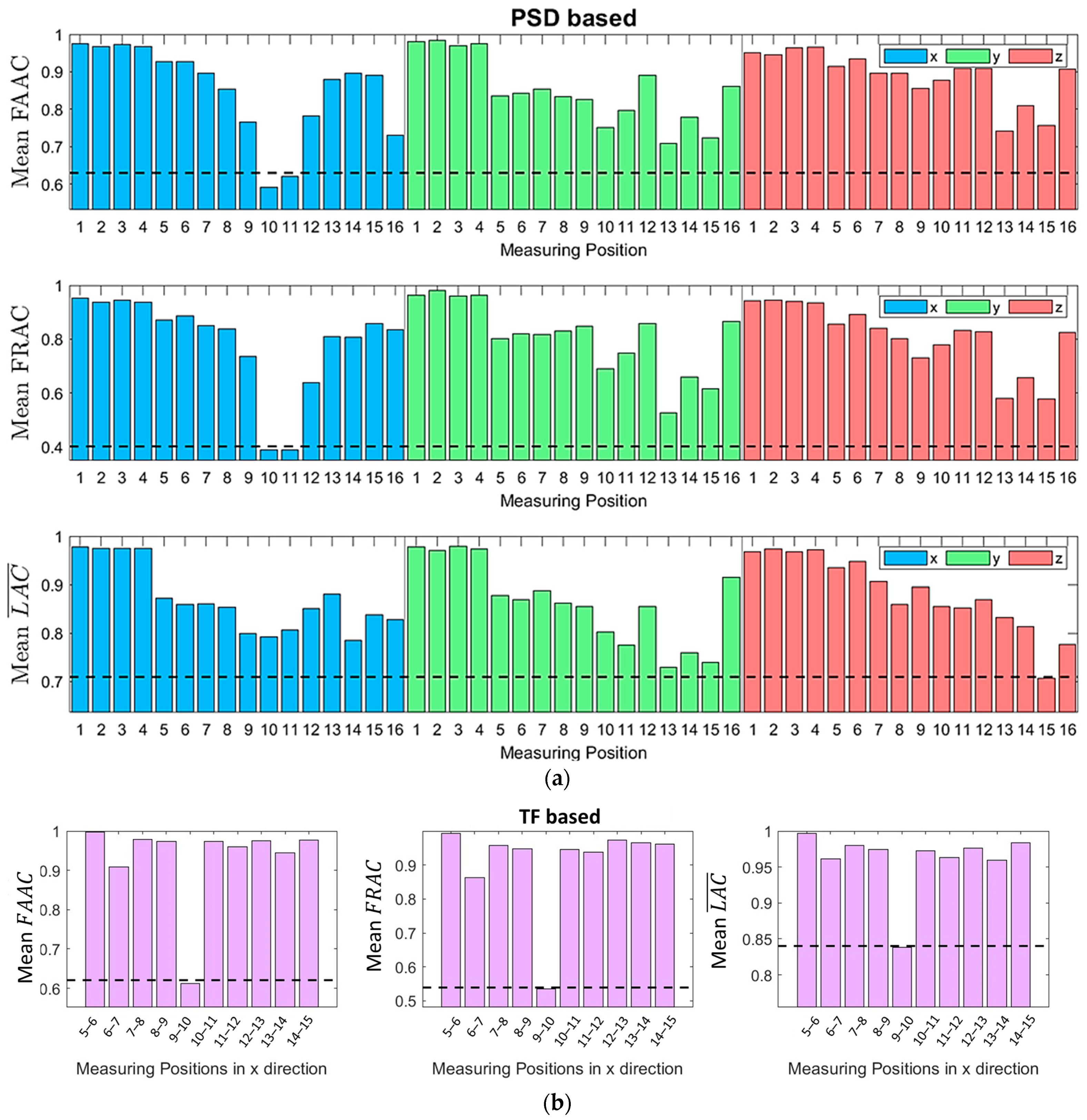
2.6. Selection of the Measuring Positions
3. Damage Detection Methodology
3.1. Baseline/Training Phase
3.1.1. Multiple Models (MM)-Based Methods
VAR Model
TF-ARX Model
3.1.2. Principal Component Analysis (PCA)-Based Variants of the MM Methods
3.1.3. Functional Model (FM)-Based Methods
FP-VAR Model
FP-TF-ARX Model
FP Model Estimation
3.2. Inspection Phase
3.2.1. MM-Based and PCA-MM Methods
3.2.2. FM-Based Method
4. Assessment of Damage Detection Methods through Monte Carlo Simulations
4.1. Baseline/Training Phase
4.1.1. MM-Based Methods
4.1.2. PCA-MM Methods
4.1.3. FM-Based Method
4.2. Inspection Phase
5. Discussion
6. Conclusions
- All methods show excellent results, being able to detect even slight damage with seemingly negligible impact on the structural dynamics;
- Both PCA-MM-based methods and FM-based methods reduce the false alarm rate associated with the simpler MM-based methods;
- The methods utilizing TF-ARX models outperform those using VAR models, achieving perfect detection with zero false alarms;
- The above methods present excellent results even if sensors are used at randomly selected positions on the mooring line. This facilitates robust SHM as sensors at relatively small depths with simple installation may be employed.
Author Contributions
Funding
Data Availability Statement
Acknowledgments
Conflicts of Interest
References
- European Commission Member States Agree New Ambition for Expanding Offshore Renewable Energy. Available online: https://energy.ec.europa.eu/news/member-states-agree-new-ambition-expanding-offshore-renewable-energy-2023-01-19_en (accessed on 25 August 2023).
- U.S. Department of Energy. Offshore Wind Market Report: 2023 Edition; U.S. Department of Energy: Washington, DC, USA, 2023. [Google Scholar]
- Global Wind Energy Council. Global Wind Report 2023; Global Wind Energy Council: Brussels, Belgium, 2023. [Google Scholar]
- Frohböse, P. Offshore Wind 2023: New Ambitions! New Challenges? Available online: https://www.dnv.com/article/offshore-wind-2023-new-ambitions-new-challenges--243462# (accessed on 25 August 2023).
- Shafiee, M.; Brennan, F.; Espinosa, I.A. A Parametric Whole Life Cost Model for Offshore Wind Farms. Int. J. Life Cycle Assess. 2016, 21, 961–975. [Google Scholar] [CrossRef]
- Rinaldi, G.; Garcia-Teruel, A.; Jeffrey, H.; Thies, P.R.; Johanning, L. Incorporating Stochastic Operation and Maintenance Models into the Techno-Economic Analysis of Floating Offshore Wind Farms. Appl. Energy 2021, 301, 117420. [Google Scholar] [CrossRef]
- Ren, Z.; Verma, A.S.; Li, Y.; Teuwen, J.J.E.; Jiang, Z. Offshore Wind Turbine Operations and Maintenance: A State-of-the-Art Review. Renew. Sustain. Energy Rev. 2021, 144, 110886. [Google Scholar] [CrossRef]
- Equinor Hywind Tampen. Available online: https://www.equinor.com/energy/hywind-tampen (accessed on 30 August 2023).
- Ciang, C.C.; Lee, J.R.; Bang, H.J. Structural Health Monitoring for a Wind Turbine System: A Review of Damage Detection Methods. Meas. Sci. Technol. 2008, 19, 122001. [Google Scholar] [CrossRef]
- Li, H.; Díaz, H.; Guedes Soares, C. A Failure Analysis of Floating Offshore Wind Turbines Using AHP-FMEA Methodology. Ocean Eng. 2021, 234, 109261. [Google Scholar] [CrossRef]
- Bae, Y.H.; Kim, M.H.; Kim, H.C. Performance Changes of a Floating Offshore Wind Turbine with Broken Mooring Line. Renew. Energy 2017, 101, 364–375. [Google Scholar] [CrossRef]
- Chaplin, C.; Del Vecchio, C. Appraisal of Lightweight Moorings for Deep Water. In Proceedings of the 24th Offshore Technology Conference, Houston, TX, USA, 4–7 May 1992. [Google Scholar] [CrossRef]
- Nordgård-Hansen, E.; Schlanbusch, R. Condition Monitoring and Maintenance for Fibre Rope Moorings in Offshore Wind WP7 FIRM (Fiber Rope Mooring); Aibel: Stavanger, Norway, 2022. [Google Scholar]
- Deraemaeker, A.; Worden, K. New Trends in Vibration Based Structural Health Monitoring; Springer Science & Business Media: Berlin/Heidelberg, Germany, 2010; Volume 520, ISBN 978-3-7091-0398-2. [Google Scholar]
- Oland, E.; Schlanbusch, R.; Falconer, S. Condition Monitoring Technologies for Synthetic Fiber Ropes—A Review. Int. J. Progn. Health Manag. 2020, 8. [Google Scholar] [CrossRef]
- Gorostidi, N.; Nava, V.; Aristondo, A.; Pardo, D. Predictive Maintenance of Floating Offshore Wind Turbine Mooring Lines Using Deep Neural Networks. J. Phys. Conf. Ser. 2022, 2257, 012008. [Google Scholar] [CrossRef]
- Jamalkia, A.; Ettefagh, M.M.; Mojtahedi, A. Damage Detection of TLP and Spar Floating Wind Turbine Using Dynamic Response of the Structure. Ocean Eng. 2016, 125, 191–202. [Google Scholar] [CrossRef]
- Dehkharghani, P.H.; Ettefagh, M.M.; Hassannejad, R. Mooring Damage Identification of Floating Wind Turbine Using a Non-Probabilistic Approach Under Different Environmental Conditions. J. Mar. Sci. Appl. 2021, 20, 156–169. [Google Scholar] [CrossRef]
- Liu, Y.; Ferrari, R.; Wu, P.; Jiang, X.; Li, S.; van Wingerden, J.-W. Fault Diagnosis of the 10MW Floating Offshore Wind Turbine Benchmark: A Mixed Model and Signal-Based Approach. Renew. Energy 2021, 164, 391–406. [Google Scholar] [CrossRef]
- Fassois, S.D.; Sakellariou, J.S. Statistical Time Series Methods for SHM. In Encyclopedia of Structural Health Monitoring; John Wiley & Sons, Ltd.: Hoboken, NJ, USA, 2009; ISBN 9780470061626. [Google Scholar]
- Zhang, C.; Mousavi, A.A.; Masri, S.F.; Gholipour, G.; Yan, K.; Li, X. Vibration Feature Extraction Using Signal Processing Techniques for Structural Health Monitoring: A Review. Mech. Syst. Signal. Process 2022, 177, 109175. [Google Scholar] [CrossRef]
- Ljung, L. System Identification: Theory for the User, 2nd ed.; Kailath, T., Ed.; PTR PrenticeHall: Upper Saddle River, NJ, USA, 1987. [Google Scholar]
- Poulimenos, A.G.; Sakellariou, J.S. A Transmittance-Based Methodology for Damage Detection under Uncertainty: An Application to a Set of Composite Beams with Manufacturing Variability Subject to Impact Damage and Varying Operating Conditions. Struct. Health Monit. 2019, 18, 318–333. [Google Scholar] [CrossRef]
- Kopsaftopoulos, F.; Apostolellis, P.; Fassois, S. Output-Only Parametric Identification of a Scale Cable-Stayed Bridge Structure: A Comparison of Vector AR and Stochastic Subspace Methods. In Proceedings of the 4th International Operational Modal Analysis Conference (IOMAC), Istanbul, Turkey, 9–11 May 2011. [Google Scholar]
- Kopsaftopoulos, F.; Fassois, S. Scalar and Vector Time Series Methods for Vibration Based Damage Diagnosis in a Scale Aircraft Skeleton Structure. J. Theor. Appl. Mech. 2011, 49, 727–756. [Google Scholar]
- Entezami, A.; Mariani, S.; Shariatmadar, H. Damage Detection in Largely Unobserved Structures under Varying Environmental Conditions: An AutoRegressive Spectrum and Multi-Level Machine Learning Methodology. Sensors 2022, 22, 1400. [Google Scholar] [CrossRef]
- Panagiotopoulos, A.; Dmitri, T.; Spilios, F.D. Damage Detection on the Blade of an Operating Wind Turbine via a Single Vibration Sensor and Statistical Time Series Methods: Exploring the Performance Limits of Robust Methods. Struct. Health Monit. 2022, 22, 433–448. [Google Scholar] [CrossRef]
- Vamvoudakis-Stefanou, K.J.; Sakellariou, J.S.; Fassois, S.D. Vibration-Based Damage Detection for a Population of Nominally Identical Structures: Unsupervised Multiple Model (MM) Statistical Time Series Type Methods. Mech. Syst. Signal. Process 2018, 111, 149–171. [Google Scholar] [CrossRef]
- Sakaris, C.S.; Sakellariou, J.S.; Fassois, S.D. Random-Vibration-Based Damage Detection and Precise Localization on a Lab–Scale Aircraft Stabilizer Structure via the Generalized Functional Model Based Method. Struct. Health Monit. 2017, 16, 594–610. [Google Scholar] [CrossRef]
- Aravanis, T.-C.; Sakellariou, J.; Fassois, S. On the Functional Model–Based Method for Vibration-Based Robust Damage Detection: Versions and Experimental Assessment. Struct. Health Monit. 2020, 20, 456–474. [Google Scholar] [CrossRef]
- Sakaris, C.; Schlanbusch, R.; Nygaard, T.; Sakellariou, J. Statistical Times Series Based Damage Detection in the Fiber Rope Mooring Lines of the Semi-Submersible OO-STAR Wind Floater. In Proceedings of the 62nd IEEE Conference on Decision and Control (CDC), Marina Bay Sands, Singapore, 13–15 December 2023. [Google Scholar]
- Bak, C.; Zahle, F.; Bitsche, R.; Kim, T.; Yde, A.; Henriksen, L.C.; Hansen Morten, H.; Blasques, J.P.A.A.; Gaunaa, M.; Natarajan, A. The DTU 10-MW Reference Wind Turbine; Technical University of Denmark: Kongens Lyngby, Denmark, 2023. [Google Scholar]
- Yu, W.; Müller, K.; Lemmer, F. LIFES50+D4.2: Public Definition of the Two LIFES50+ 10MW Floater Concepts; University of Stuttgart: Stuttgart, Germany, 2018. [Google Scholar]
- Andersen, H.S.; Eirik, D.; Straume, J.G.; Madsen, M.H.; Laukeland, L.; Landbø, T. Flagship D1.2: Concept Description Report. 2021. Available online: https://www.flagshiproject.eu/wp-content/uploads/2021/09/D1.2-Concept-Description-Report-Final.pdf (accessed on 25 August 2023).
- Borisade, F.; Baht, J.; Matha, D. LIFES50+D5.5: Overall Summary of the Industrialization Process; Ramboll: Copenhagen, Denmark, 2019. [Google Scholar]
- Matha, D.; Brons-Illig, C.; Mitzlaff, A.; Scheffler, R. Fabrication and Installation Constraints for Floating Wind and Implications on Current Infrastructure and Design. Energy Procedia 2017, 137, 299–306. [Google Scholar] [CrossRef]
- Pegalajar-Jurado, A.; Bredmose, H.; Borg, M.; Straume, J.G.; Landbø, T.; Andersen, H.S.; Yu, W.; Müller, K.; Lemmer, F. State-of-the-Art Model for the LIFES50+ OO-Star Wind Floater Semi 10MW Floating Wind Turbine. J. Phys. Conf. Ser. 2018, 1104, 012024. [Google Scholar] [CrossRef]
- Nygaard, T.A.; De Vaal, J.; Pierella, F.; Oggiano, L.; Stenbro, R. Development, Verification and Validation of 3DFloat; Aero-Servo-Hydro-Elastic Computations of Offshore Structures. Energy Procedia 2016, 94, 425–433. [Google Scholar] [CrossRef]
- Jonkman, B.J.; Kilcher, L. TurbSim User’s Guide: Version 1.06. 00; National Renewable Energy Laboratory: Golden, CO, USA, 2012. [Google Scholar]
- Chakrabarti, S. Handbook of Offshore Engineering; Elsevier: Amsterdam, The Netherlands, 2005; ISBN 0080523811. [Google Scholar]
- Felippa, C.A.; Haugen, B. A Unified Formulation of Small-Strain Corotational Finite Elements: I. Theory. Comput. Methods Appl. Mech. Eng. 2005, 194, 2285–2335. [Google Scholar] [CrossRef]
- Bendat, J.S.; Piersol, A.G. Random Data: Analysis and Measurement Procedures; John Wiley & Sons: Hoboken, NJ, USA, 2011; ISBN 1118210824. [Google Scholar]
- Sakellariou, J.S.; Fassois, S. A Functional Pooling Framework for the Identification of Systems under Multiple Operating Conditions. In Proceedings of the 2007 Mediterranean Conference on Control & Automation, Athens, Greece, 27–29 July 2007; pp. 1–6. [Google Scholar]
- Sakellariou, J.S.; Fassois, S.D. Functionally Pooled Models for the Global Identification of Stochastic Systems under Different Pseudo-Static Operating Conditions. Mech. Syst. Signal. Process 2016, 72–73, 785–807. [Google Scholar] [CrossRef]
- Hios, J.D.; Fassois, S.D. Stochastic Identification Under Multiple Operating Conditions: Functionally Pooled VARMA Methods. IFAC Proc. Vol. 2009, 15, 1626–1631. [Google Scholar] [CrossRef]
- Lutkepohl, H. New Introduction to Multiple Time Series Analysis; Springer: Berlin, Germany, 2005; ISBN 9783540277521. [Google Scholar]
- Gómez González, A.; Fassois, S.D. A Supervised Vibration-Based Statistical Methodology for Damage Detection under Varying Environmental Conditions & Its Laboratory Assessment with a Scale Wind Turbine Blade. J. Sound Vib. 2016, 366, 484–500. [Google Scholar] [CrossRef]
- Mosavi, A.A.; Dickey, D.; Seracino, R.; Rizkalla, S. Identifying Damage Locations under Ambient Vibrations Utilizing Vector Autoregressive Models and Mahalanobis Distances. Mech. Syst. Signal. Process 2012, 26, 254–267. [Google Scholar] [CrossRef]
- Ljung, G.M.; Box, G.E.P. On a Measure of Lack of Fit in Time Series Models. Biometrika 1978, 65, 297–303. [Google Scholar] [CrossRef]
- Fassois, S.D. Identification, Model-Based Methods. In Encyclopedia of Vibration; Braun, S., Ed.; Elsevier: Amsterdam, The Netherlands, 2001; pp. 673–685. ISBN 978-0-12-227085-7. [Google Scholar]

: accelerometer measuring position.
: accelerometer measuring position.
.
.













| Structural State | Mean Wind Speed (m/s) | No. of Simulations per Scenario | Total No. of Simulations (Sets of Acceleration Signals) | |
|---|---|---|---|---|
| Baseline Phase | Healthy | 7, 8, 9, 10, 11, 12 | 10 | 60 |
| Inspection Phase | Healthy, Mooring line stiffness reduction: {10, 14, 20, 27, 30, 36, 40, 44, 50} % | 7, 7.4, 8, 8.6, 9, 9.5, 10, 10.7, 11, 11.4, 12, | 10 | 1100 |
| samples. | ||||
| (m/s) | 7 | 7.4 | 8 | 8.6 | 9 | 9.5 | 10 | 10.7 | 11 | 11.4 | 12 |
|---|---|---|---|---|---|---|---|---|---|---|---|
| (m) | 1.89 | 1.95 | 2.04 | 2.14 | 2.21 | 2.30 | 2.39 | 2.53 | 2.59 | 2.68 | 2.81 |
| (s) | 9.02 | 9.06 | 9.13 | 9.20 | 9.26 | 9.32 | 9.39 | 9.49 | 9.54 | 9.60 | 9.70 |
| Model Type | Orders | Basis Function Type | Number of Selected Basis Functions | Polynomial Orders | Number of Projection Coefficients | Samples per Projection Coefficient |
|---|---|---|---|---|---|---|
| FP-VAR | Legendre polynomials | 1800 | 566.6 | |||
| FP-TF-ARX | 724 | 1408.9 |
| VAR/FP-VAR | |||||
| Measuring positions 10–11 for x direction | False Alarms | Correct Detections | |||
| Method | Similar to Baseline | Intermediate to Baseline | Total | Stiffness Reduction Levels | |
| MM-VAR | 1/60 | 17/50 | 18/110 | 990/990 | |
| PCA-MM-VAR | 0/60 | 2/50 | 2/110 | 990/990 | |
| FM-VAR | 1/60 | 1/50 | 2/110 | 990/990 | |
| TF-ARX/FP-TF-ARX | |||||
| Measuring positions 10–9 in the x direction | False Alarms | Correct Detections | |||
| Method | Similar to Baseline | Intermediate to Baseline | Total | Stiffness Reduction Levels: | |
| MM-TF-ARX | 0/60 | 0/50 | 0/110 | 990/990 | |
| PCA-MM-TF-ARX | 0/60 | 0/50 | 0/110 | 990/990 | |
| FM-TF-ARX | 0/60 | 0/50 | 0/110 | 990/990 | |
| VAR/FP-VAR | |||||
| Measuring positions 6–5 in the x direction | False Alarms | Correct Detections | |||
| Method Variation | Similar to baseline | Intermediate to baseline | Total | Stiffness reduction levels | |
| MM-VAR | 0/60 | 18/50 | 18/110 | 990/990 | |
| PCA-MM-VAR | 0/60 | 3/50 | 3/110 | 990/990 | |
| FM-VAR | 0/60 | 1/50 | 1/110 | 990/990 | |
| TF-ARX/FP-TF-ARX | |||||
| Measuring positions 6–5 in the x direction | False Alarms | Correct Detections | |||
| Method Variation | Similar to baseline | Intermediate to baseline | Total | Stiffness reduction levels | |
| MM-TF-ARX | 0/60 | 0/50 | 0/110 | 990/990 | |
| PCA-MM-TF-ARX | 0/60 | 0/50 | 0/110 | 990/990 | |
| FM-TF-ARX | 0/60 | 0/50 | 0/110 | 990/990 | |
Disclaimer/Publisher’s Note: The statements, opinions and data contained in all publications are solely those of the individual author(s) and contributor(s) and not of MDPI and/or the editor(s). MDPI and/or the editor(s) disclaim responsibility for any injury to people or property resulting from any ideas, methods, instructions or products referred to in the content. |
© 2024 by the authors. Licensee MDPI, Basel, Switzerland. This article is an open access article distributed under the terms and conditions of the Creative Commons Attribution (CC BY) license (https://creativecommons.org/licenses/by/4.0/).
Share and Cite
Anastasiadis, N.P.; Sakaris, C.S.; Schlanbusch, R.; Sakellariou, J.S. Vibration-Based SHM in the Synthetic Mooring Lines of the Semisubmersible OO-Star Wind Floater under Varying Environmental and Operational Conditions. Sensors 2024, 24, 543. https://doi.org/10.3390/s24020543
Anastasiadis NP, Sakaris CS, Schlanbusch R, Sakellariou JS. Vibration-Based SHM in the Synthetic Mooring Lines of the Semisubmersible OO-Star Wind Floater under Varying Environmental and Operational Conditions. Sensors. 2024; 24(2):543. https://doi.org/10.3390/s24020543
Chicago/Turabian StyleAnastasiadis, Nikolas P., Christos S. Sakaris, Rune Schlanbusch, and John S. Sakellariou. 2024. "Vibration-Based SHM in the Synthetic Mooring Lines of the Semisubmersible OO-Star Wind Floater under Varying Environmental and Operational Conditions" Sensors 24, no. 2: 543. https://doi.org/10.3390/s24020543
APA StyleAnastasiadis, N. P., Sakaris, C. S., Schlanbusch, R., & Sakellariou, J. S. (2024). Vibration-Based SHM in the Synthetic Mooring Lines of the Semisubmersible OO-Star Wind Floater under Varying Environmental and Operational Conditions. Sensors, 24(2), 543. https://doi.org/10.3390/s24020543

