Tag-Array-Based UHF Passive RFID Tag Attitude Identification of Tracking Methods
Abstract
1. Introduction
2. Related Works
3. System Architecture
3.1. RFID Phase Signal Model
3.2. Double Tag Array
3.3. Error Analysis and Modeling
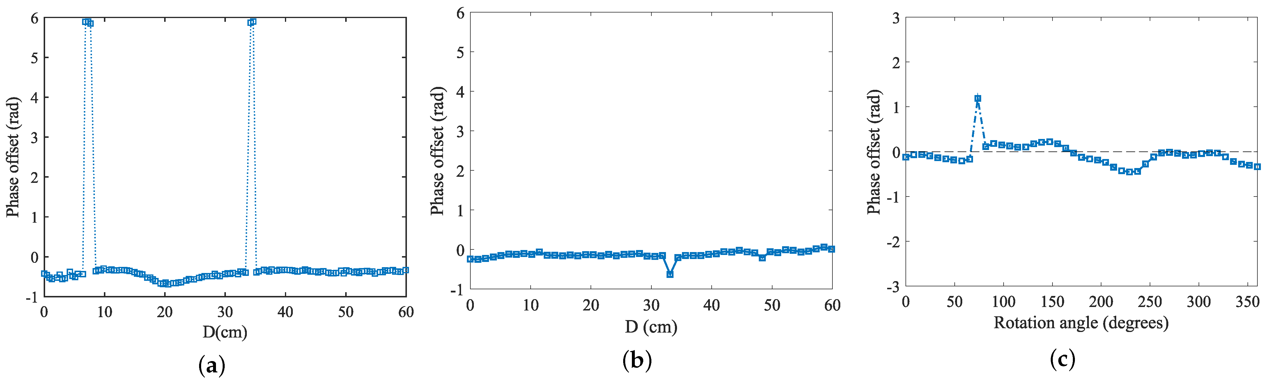
3.3.1. Effect of Tag Rotation Angle on Phase Measurement
3.3.2. Effect of Tag Array Coupling on Phase Measurements
3.3.3. Coupled Model Construction and Experimental Verification
3.4. Decomposition of Motion of Objects
3.4.1. Phase Model Reconstruction
3.4.2. Hyperbolic Construction
3.4.3. Phase Deblurring
3.4.4. Object Motion Tracking Perception Model
3.5. Stochastic Phase Polynomial Regression
3.6. Objective Function Optimization
- Initialize particle swarm: Randomly assign each particle its initial position and velocity, which is limited to the problem space. The initial position of each particle is also the best position of its individual, and the best position in the whole particle swarm is the global best position.
- Evaluate particle performance: For each particle, use the target function to evaluate the performance of the current position. If the current position is better than the best position performance of the particle, the best position performance of the particle is updated.
- Update speed and position: Update the speed and position of each particle based on the best individual position, the best global position, the current speed, and two learning factors (individual and social learning factors).
- Repeat or terminate: Stop the algorithm if the criteria for termination are met (e.g., the maximum number of iterations has been reached or the global best position improvement is less than the threshold); otherwise, repeat steps 2 and 3.
| Algorithm 1 Mobile label orientation perception algorithm |
|
4. Experiment and Result Analysis
4.1. Experimental Setup
- (1)
- Impinj Speedway R420 Reader (Impinj Wireless RF Technology (Shanghai) Co., Ltd., Shanghai, China);
- (2)
- 2 Laird s9028 PCL antennas (Laird Electronic Materials (Shenzhen) Co., Ltd., Shenzhen, China) and AZ-9662 tag array (Shenzhen Aisen IoT Technology Co., Ltd., Shenzhen, China);
- (3)
- Water mobile robot (Beijing Yunji Technology Co., Ltd., Beijing, China);
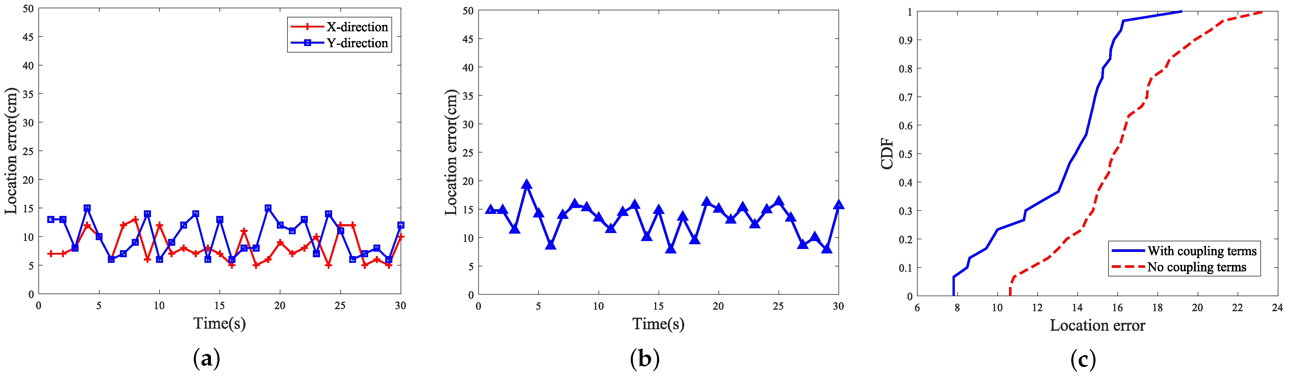
4.2. Analysis of Results
5. Conclusions
Author Contributions
Funding
Institutional Review Board Statement
Informed Consent Statement
Data Availability Statement
Conflicts of Interest
References
- Montanaro, T.; Sergi, I.; Motroni, A.; Buffi, A.; Nepa, P.; Pirozzi, M.; Catarinucci, L.; Colella, R.; Chietera, F.P.; Patrono, L. An IoT-Aware Smart System Exploiting the Electromagnetic Behavior of UHF-RFID Tags to Improve Worker Safety in Outdoor Environments. Electronics 2022, 11, 717. [Google Scholar] [CrossRef]
- Bendavid, Y.; Rostampour, S.; Berrabah, Y.; Bagheri, N.; Safkhani, M. The Rise of Passive RFID RTLS Solutions in Industry 5.0. Sensors 2024, 24, 1711. [Google Scholar] [CrossRef] [PubMed]
- Bu, Y.; Xie, L.; Liu, J.; He, B.; Gong, Y.; Lu, S. 3-Dimensional Reconstruction on Tagged Packages via RFID Systems. In Proceedings of the 14th Annual IEEE International Conference on Sensing, Communication, and Networking (SECON), San Diego, CA, USA, 12–14 June 2017; pp. 1–9. [Google Scholar] [CrossRef]
- Wu, H.; Tao, B.; Gong, Z.; Yin, Z.; Ding, H. A Standalone RFID-Based Mobile Robot Navigation Method Using Single Passive Tag. IEEE Trans. Autom. Sci. Eng. 2021, 18, 1529–1537. [Google Scholar] [CrossRef]
- Hehua, M.; Shi, G. Application of Passive Wireless RFID Asset Management in Warehousing of Cross-Border E-Commerce Enterprises. J. Sens. 2021, 11, 6438057-1–6438057-12. [Google Scholar] [CrossRef]
- Yang, L.; Lin, Q.; Li, X.; Liu, T.; Liu, Y. See Through Walls with COTS RFID System! In Proceedings of the 21st Annual International Conference on Mobile Computing and Networking (MobiCom ’15), Paris, France, 7 September 2015; pp. 487–499. [Google Scholar] [CrossRef]
- Shangguan, L.; Li, Z.; Yang, Z.; Li, M.; Liu, Y. OTrack: Order tracking for luggage in mobile RFID systems. In Proceedings of the 2013 IEEE INFOCOM, Turin, Italy, 14–19 April 2013; pp. 3066–3074. [Google Scholar] [CrossRef]
- Liu, J.; Zhu, F.; Wang, Y.; Wang, X.; Pan, Q.; Chen, L. RF-scanner: Shelf scanning with robot-assisted RFID systems. In Proceedings of the IEEE INFOCOM 2017—IEEE Conference on Computer Communications, Atlanta, GA, USA, 1–4 May 2017; pp. 1–9. [Google Scholar] [CrossRef]
- Hightower, J.; Borriello, G.; Want, R. SpotON: An Indoor 3D Location Sensing Technology Based on RF Signal Strength; UW CSE: Seattle, WA, USA, 2000. [Google Scholar]
- Xiao, X.; Jing, X.; You, S.; Zeng, J. An environmental-adaptive RSSI based indoor positioning approach using RFID. In Proceedings of the 2010 International Conference on Advanced Intelligence and Awareness Internet (AIAI 2010), Beijing, China, 16–18 October 2010; pp. 127–130. [Google Scholar] [CrossRef]
- Yang, L.; Chen, Y.; Li, X.-Y.; Xiao, C.; Li, M.; Liu, Y. Tagoram: Real-time tracking of mobile RFID tags to high precision using COTS devices. In Proceedings of the 20th Annual International Conference on Mobile Computing and Networking (MobiCom’14), Maui, HI, USA, 7–11 September 2014; pp. 237–248. [Google Scholar] [CrossRef]
- Wang, J.; Vasisht, D.; Katabi, D. RF-IDraw: Virtual Touch Screen in the Air Using RF Signals. ACM SIGCOMM Comput. Commun. Rev. 2014, 44, 235–246. [Google Scholar] [CrossRef]
- Wei, T.; Zhang, X. Gyro in the Air: Tracking 3D Orientation of Batteryless Internet of Things. GetMobile 2017, 21, 35–38. [Google Scholar] [CrossRef]
- Jiang, C.; He, Y.; Yang, S.; Guo, J.; Liu, Y. 3D-OmniTrack: 3D Tracking with COTS RFID Systems. In Proceedings of the 2019 18th ACM/IEEE International Conference on Information Processing in Sensor Networks (IPSN), Montreal, QC, Canada, 15–17 April 2019; pp. 25–36. [Google Scholar] [CrossRef]
- Jin, M.; He, Y.; Yang, S.; Liu, Y.; Yan, L.; Sun, Y. Versatile RFID-Based Sensing: Model, Algorithm, and Applications. IEEE Trans. Mob. Comput. 2023, 22, 6223–6236. [Google Scholar] [CrossRef]
- Jiang, C.; He, Y.; Zheng, X.; Liu, Y. OmniTrack: Orientation-Aware RFID Tracking with Centimeter-Level Accuracy. IEEE Trans. Mob. Comput. 2021, 20, 634–646. [Google Scholar] [CrossRef]
- Lai, X.; Cai, Z.; Xie, Z.; Zhu, H. A Novel Displacement and Tilt Detection Method Using Passive UHF RFID Technology. Sensors 2018, 18, 1644. [Google Scholar] [CrossRef]
- Lin, Q.; Yang, L.; Sun, Y.; Liu, T.; Li, X.-Y.; Liu, Y. Beyond One-Dollar Mouse: A Battery-Free Device for 3D Human-Computer Interaction via RFID Tags. In Proceedings of the 2015 IEEE Conference on Computer Communications (INFOCOM), Kowloon, Hong Kong, China, 26–30 April 2015; pp. 1661–1669. [Google Scholar] [CrossRef]
- Ma, H.; Wang, Y.; Wang, K.; Ma, Z. The Optimization for Hyperbolic Positioning of UHF Passive RFID Tags. IEEE Trans. Autom. Sci. Eng. 2017, 14, 1590–1600. [Google Scholar] [CrossRef]
- Zeng, Y.; Chen, X.; Li, R.; Tan, H.-Z. UHF RFID Indoor Positioning System With Phase Interference Model Based on Double Tag Array. IEEE Access 2019, 7, 76768–76778. [Google Scholar] [CrossRef]
- Wang, Z.; Zhang, J.A.; Xiao, F.; Xu, M. Accurate AoA Estimation for RFID Tag Array With Mutual Coupling. IEEE Internet Things J. 2022, 9, 12954–12972. [Google Scholar] [CrossRef]
- Liu, T.; Liu, Y.; Yang, L.; Guo, Y.; Wang, C. BackPos: High Accuracy Backscatter Positioning System. IEEE Trans. Mob. Comput. 2016, 15, 586–598. [Google Scholar] [CrossRef]
- Liu, J.; Chen, M.; Chen, S.; Pan, Q.; Chen, L. Tag-compass: Determining the spatial direction of an object with small dimensions. In Proceedings of the IEEE INFOCOM—2017 Conference on Computer Communications, Atlanta, GA, USA, 1–4 May 2017; pp. 1–9. [Google Scholar] [CrossRef]
- Bu, Y.; Xie, L.; Gong, Y.; Wang, C.; Yang, L.; Liu, J.; Lu, S. RF-Dial: An RFID-based 2D Human-Computer Interaction via Tag Array. Proceedings of IEEE INFOCOM 2018—IEEE Conference on Computer Communications, Honolulu, HI, USA, 16–19 April 2018; pp. 837–845. [Google Scholar] [CrossRef]
- Li, J.; Feng, G.; Wei, W.; Luo, C.; Cheng, L.; Wang, H.; Song, H.; Ming, Z. PSOTrack: A RFID-Based System for Random Moving Objects Tracking in Unconstrained Indoor Environment. IEEE Internet Things J. 2018, 5, 4632–4641. [Google Scholar] [CrossRef]
- Wang, C.; Xie, L.; Zhang, K.; Wang, W.; Bu, Y.; Lu, S. Spin-Antenna: 3D Motion Tracking for Tag Array Labeled Objects via Spinning Antenna. In Proceedings of the IEEE INFOCOM 2019—IEEE Conference on Computer Communications, Paris, France, 29 April–2 May 2019; pp. 1–9. [Google Scholar] [CrossRef]
- Raptopoulos Chatzistefanou, A.; Tzitzis, A.; Megalou, S.; Sergiadis, G.; Dimitriou, A.G. Trajectory-Tracking of UHF RFID Tags, Exploiting Phase Measurements Collected From Fixed Antennas. IEEE J. Radio Freq. Identif. 2021, 5, 191–206. [Google Scholar] [CrossRef]
- Gong, W.; Wang, H.; Li, S.; Chen, S. GLAC: High-Precision Tracking of Mobile Objects With COTS RFID Systems. IEEE ACM Trans. Netw. 2024, 32, 2331–2343. [Google Scholar] [CrossRef]
- Wu, H.; Tao, B.; Gong, Z.; Yin, Z.; Ding, H. A Fast UHF RFID Localization Method Using Unwrapped Phase-Position Model. IEEE Trans. Autom. Sci. Eng. 2019, 16, 1698–1707. [Google Scholar] [CrossRef]
- Wang, C.; Xie, L.; Wang, W.; Chen, Y.; Xue, T.; Lu, S. Probing into the Physical Layer: Moving Tag Detection for Large-Scale RFID Systems. IEEE Trans. Mob. Comput. 2020, 19, 1200–1215. [Google Scholar] [CrossRef]
- Wang, J.J.; Hwang, J.G.; Park, J.G. A Novel Ranging Method Using Bimodal Gaussian Distributed RSSI Measurements. 2018. Available online: https://api.semanticscholar.org/CorpusID:250083583 (accessed on 7 June 2024).
- Chen, R.; Huang, X.; Zhou, Y.; Hui, Y.; Cheng, N. UHF-RFID-Based Real-Time Vehicle Localization in GPS-Less Environments. IEEE Trans. Intell. Transp. Syst. 2021, 23, 9286–9293. [Google Scholar] [CrossRef]
- ISO/IEC 18000-6; Information Technology—Radio Frequency Identification for Item Management—Part 6: Parameters for Air Interface Communications at 860 MHz to 960 MHz. ISO: Geneva, Switzerland, 2006.


















| Parameter | Value |
|---|---|
| Robot operation speed | |
| Reader read power | |
| Antenna center/Tag height | |
| Antenna’s location |
Disclaimer/Publisher’s Note: The statements, opinions and data contained in all publications are solely those of the individual author(s) and contributor(s) and not of MDPI and/or the editor(s). MDPI and/or the editor(s) disclaim responsibility for any injury to people or property resulting from any ideas, methods, instructions or products referred to in the content. |
© 2024 by the authors. Licensee MDPI, Basel, Switzerland. This article is an open access article distributed under the terms and conditions of the Creative Commons Attribution (CC BY) license (https://creativecommons.org/licenses/by/4.0/).
Share and Cite
Wang, H.; Li, S.; Zhou, Y.; Wang, Y.; Pan, R.; Pang, S. Tag-Array-Based UHF Passive RFID Tag Attitude Identification of Tracking Methods. Sensors 2024, 24, 6305. https://doi.org/10.3390/s24196305
Wang H, Li S, Zhou Y, Wang Y, Pan R, Pang S. Tag-Array-Based UHF Passive RFID Tag Attitude Identification of Tracking Methods. Sensors. 2024; 24(19):6305. https://doi.org/10.3390/s24196305
Chicago/Turabian StyleWang, Honggang, Sicheng Li, Yurun Zhou, Yongli Wang, Ruoyu Pan, and Shengli Pang. 2024. "Tag-Array-Based UHF Passive RFID Tag Attitude Identification of Tracking Methods" Sensors 24, no. 19: 6305. https://doi.org/10.3390/s24196305
APA StyleWang, H., Li, S., Zhou, Y., Wang, Y., Pan, R., & Pang, S. (2024). Tag-Array-Based UHF Passive RFID Tag Attitude Identification of Tracking Methods. Sensors, 24(19), 6305. https://doi.org/10.3390/s24196305

