Experimental Investigation on the Effect of Coil Shape on Planar Eddy Current Sensor Characteristic for Blade Tip Clearance
Abstract
1. Introduction
2. Design Concept
2.1. The Basic Principle of the Eddy Current Sensor
2.2. Design of Various Shapes of Sensing Coil
2.3. Fabrication of the Sensor
2.4. Experimental Setup
3. Testing, Result, Discussion
3.1. Tip Clearance Measurement and Signal Processing
3.2. Result
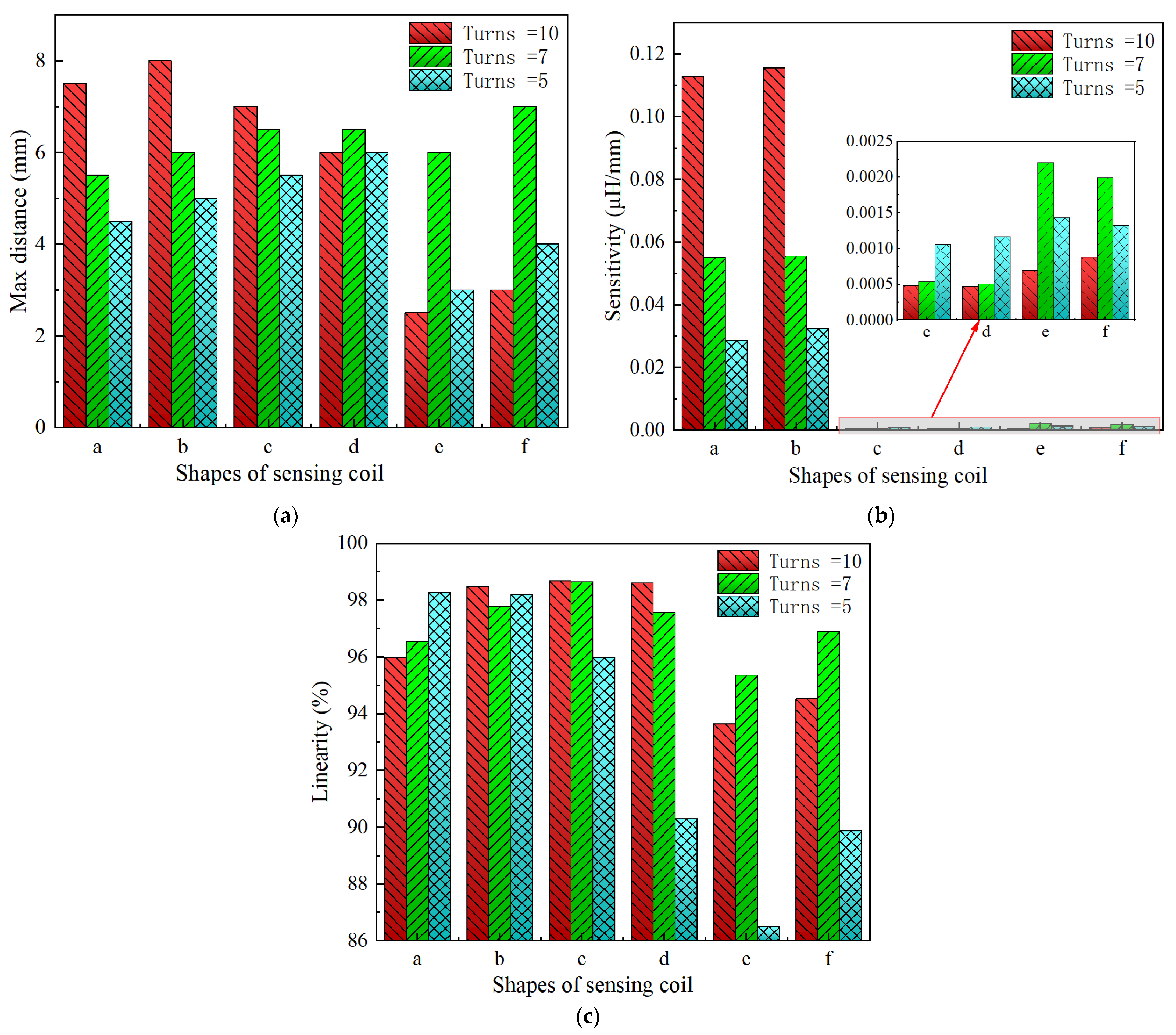
3.2.1. Effect of Effective Area
3.2.2. Effect of Excitation Frequency
3.2.3. Effect of Excitation Voltage
3.2.4. Effect of Excitation Frequency
4. Conclusions
Author Contributions
Funding
Institutional Review Board Statement
Informed Consent Statement
Data Availability Statement
Conflicts of Interest
References
- Booth, T.C.; Dodge, P.R.; Hepworth, H.K. Rotor-tip Leakage: Part I—Basic Methodology. J. Engine Power 1982, 104, 154–161. [Google Scholar] [CrossRef]
- Mohamed, M.H.; Shaaban, S. Optimization of blade pitch angle of an axial turbine used for wave energy conversion. Energy 2013, 56, 229–239. [Google Scholar] [CrossRef]
- Hao, J. The investigation about civil aviation engine surge problem: The final solution for PW4000-94′′ engine group 3 surge. In Proceedings of the 15th Aeroengine Design, Manufacturing and Application Technology Symposium, Beijing, China, 25–27 May 2013. [Google Scholar]
- Graf, M.B.; Wong, T.S.; Greitzer, E.M.; Marble, F.E.; Tan, C.S.; Shin, H.W.; Wisler, D.C. Effects of non-axisymmetric tip clearance on axial compressor performance and stability. J. Turbomach. 1998, 120, 648–661. [Google Scholar] [CrossRef]
- Lavagnoli, S.; Paniagua, G.; Tulkens, M.; Steiner, A. High-fidelity rotor gap measurements in a short-duration turbine rig. Mech. Syst. Signal Process. 2012, 27, 590–603. [Google Scholar] [CrossRef]
- García, I.; Beloki, J.; Zubia, J.; Aldabaldetreku, G.; Illarramendi, M.A.; Jiménez, F. An optical fiber bundle sensor for tip clearance and tip timing measurements in a turbine rig. Sensors 2013, 13, 7385–7398. [Google Scholar] [CrossRef] [PubMed]
- Durana, G.; Amorebieta, J.; Fernandez, R.; Beloki, J.; Arrospide, E.; Garcia, I.; Zubia, J. Design, fabrication and testing of a high-sensitive fiber sensor for tip clearance measurements. Sensors 2018, 18, 2610. [Google Scholar] [CrossRef] [PubMed]
- Violetti, M.; Skrivervik, A.K.; Xu, Q.; Hafner, M. New microwave sensing system for blade tip clearance measurement in gas turbines. In Proceedings of the 11th IEEE Sensors Conference, Taipei, China, 28–31 October 2012. [Google Scholar]
- Sheard, A.G.; Turner, S.R. Electromechanical measurement of turbomachinery blade tip-to-casing running clearance. In Proceedings of the ASME 1992 International Gas Turbine and Aeroengine Congress and Exposition, Cologne, Germany, 1–4 June 1992. [Google Scholar]
- Haase, W.C.; Haase, Z.S. Advances in through-the-case eddy current sensors. In Proceedings of the 2013 IEEE Aerospace Conference, Big Sky, MT, USA, 2–9 March 2013. [Google Scholar]
- Tomassini, R.; Rossi, G.; Brouckaert, J.F. Blade tip clearance and blade vibration measurements using a magneto resistive sensor. In Proceedings of the 11th European Conference on Turbomachinery Fluid dynamics & Thermodynamics, Madrid, Spain, 23–27 March 2015. [Google Scholar]
- Tomassini, R. Blade Tip Timing and Blade Tip Clearance Measurement System Based on Magnetoresistive Sensors; Università degli Studi di Padova: Padova, Italy, 2016. [Google Scholar]
- Chana, K.S.; Cardwell, M.T.; Sullivan, J.S. The development of a hot section eddy current sensor for turbine tip clearance measurement. In Proceedings of the ASME Turbo Expo 2013: Turbomachinery Technical Conference and Exposition, San Antonio, TX, USA, 3–7 June 2013. [Google Scholar]
- Sridhar, V.; Chana, K.S. Tip-clearance measurements on an engine high pressure turbine using an eddy current sensor. In Proceedings of the ASME Turbo Expo 2017: Turbomachinery Technical Conference and Exposition, Charlottesville, NC, USA, 26–30 June 2017. [Google Scholar]
- Sridhar, V.; Chana, K.S.; Pekris, M.J. High temperature eddy current sensor system for turbine blade tip clearance measurement. In Proceedings of the 12th European Conference on Turbomachinery Fluid Dynamics & Thermodynamics, Stockholm, Sweden, 3–7 April 2017. [Google Scholar]
- Chana, K.S.; Cardwell, D.N.; Russhard, P. The use of eddy current sensors for the measurement of rotor blade tip timing sensor development and engine testing. In Proceedings of the ASME Turbo Expo 2008: Turbomachinery Technical Conference and Exposition, Seoul, Republic of Korea, 13–17 June 2016. [Google Scholar]
- Du, L.; Zhe, J. A high throughput inductive pulse sensor for online oil debris monitoring. Tribol. Int. 2011, 44, 175–179. [Google Scholar] [CrossRef]
- Han, Y.; Zhong, C.; Zhu, X.Y.; Zhe, J. Online monitoring of dynamic tip clearance of turbine blades in high temperature environments. Meas. Sci. Technol. 2017, 29, 045102–045110. [Google Scholar] [CrossRef]
- Du, L.; Zhu, X.L.; Zhe, J. A High Sensitivity Inductive Sensor for Blade Tip Clearance Measurement. Smart Mater. Struct. 2014, 23, 065018–065027. [Google Scholar] [CrossRef]
- Zhao, Z.Y.; Liu, Z.X.; Lyu, Y.G.; Xu, X.X. Verification and design of high precision eddy current sensor for tip clearance measurement. In Proceedings of the ASME Turbo Expo, Oslo, Norway, 11–15 June 2018. [Google Scholar]
- Zhao, Z.Y.; Liu, Z.X.; Lyu, Y.G.; Xu, X.X. Design and verification of high resolution eddy current sensor for blade tip clearance measurement. Chin. J. Sci. Inst. 2018, 6, 132–139. [Google Scholar]
- Zhao, Z.Y.; Lyu, Y.G.; Liu, Z.X.; Zhao, L.Q. Experimental investigation of high temperature-resistant inductive sensor for blade tip clearance measurement. Sensors 2019, 19, 61. [Google Scholar] [CrossRef] [PubMed]
- Huang, Q.P.; Dong, T.U.; Fu, Z.B. Optimization design of eddy current sensor coil’ parameters by simplifying the destination function. Instrum. Tech. Sens. 2000, 11, 3–5. [Google Scholar]
- Vyroubal, D. Impedance of the eddy current displacement probe: The transformer model. IEEE Trans. Instrum. Meas. 2004, 53, 384–391. [Google Scholar]
- Du, L.; Zhe, J.; Carletta, J.E.; Veillette, R.J. Inductive Coulter counting: Detection and differentiation of metal wear particles in lubricant. Smart Mater. Struct. 2010, 19, 057001–057008. [Google Scholar] [CrossRef]
- Imielski, A.; Wasowicz, S. Mutual inductance coefficient of air-core transformers. Arch. Elektrotechnik 1988, 71, 69–75. [Google Scholar] [CrossRef]
- Levitan, S.A. Problems of calculating the coefficient of mutual inductance. 1969, 12, 1378–1382.
- Norhisam, M.; Norrimah, A.; Wagiran, R.; Sidek, R.M.; Mariun, N.; Wakiwaka, H. Consideration of theoretical equation for output voltage of linear displacement sensor using meander coil and pattern guide. Sens. Actuat. A 2008, 147, 470–473. [Google Scholar] [CrossRef]




















Disclaimer/Publisher’s Note: The statements, opinions and data contained in all publications are solely those of the individual author(s) and contributor(s) and not of MDPI and/or the editor(s). MDPI and/or the editor(s) disclaim responsibility for any injury to people or property resulting from any ideas, methods, instructions or products referred to in the content. |
© 2024 by the authors. Licensee MDPI, Basel, Switzerland. This article is an open access article distributed under the terms and conditions of the Creative Commons Attribution (CC BY) license (https://creativecommons.org/licenses/by/4.0/).
Share and Cite
Zhao, L.; Lyu, Y.; Liu, F.; Liu, Z.; Zhao, Z. Experimental Investigation on the Effect of Coil Shape on Planar Eddy Current Sensor Characteristic for Blade Tip Clearance. Sensors 2024, 24, 6133. https://doi.org/10.3390/s24186133
Zhao L, Lyu Y, Liu F, Liu Z, Zhao Z. Experimental Investigation on the Effect of Coil Shape on Planar Eddy Current Sensor Characteristic for Blade Tip Clearance. Sensors. 2024; 24(18):6133. https://doi.org/10.3390/s24186133
Chicago/Turabian StyleZhao, Lingqiang, Yaguo Lyu, Fulin Liu, Zhenxia Liu, and Ziyu Zhao. 2024. "Experimental Investigation on the Effect of Coil Shape on Planar Eddy Current Sensor Characteristic for Blade Tip Clearance" Sensors 24, no. 18: 6133. https://doi.org/10.3390/s24186133
APA StyleZhao, L., Lyu, Y., Liu, F., Liu, Z., & Zhao, Z. (2024). Experimental Investigation on the Effect of Coil Shape on Planar Eddy Current Sensor Characteristic for Blade Tip Clearance. Sensors, 24(18), 6133. https://doi.org/10.3390/s24186133

