High-Resolution and Robust One-Bit Direct-of-Arrival Estimation via Reweighted Atomic Norm Estimation
Abstract
1. Introduction
- To achieve higher resolution than the atomic norm, we develop a new optimization model that combines the atomic norm with a regularization term for the sign consistency of one-bit received signals, representing a generalization of atomic norm minimization in a one-bit environment.
- We incorporate a noise constraint into the proposed optimization model, significantly reducing the impact of noise on the atomic norm and thereby enhancing the robustness of the optimization model.
- Rank approximation and the majority minimization (MM) principle are utilized to transform the formulated NP-hard optimization model into a convex optimization problem. Additionally, we derive the solution steps using the alternating direction method of multipliers (ADMM) algorithm.
2. Materials and Methods
2.1. One-Bit DOA Signal Model
2.2. Atomic Norm Minimization
3. Proposed Method
4. Alternating Direction Method of Multipliers (ADMM) for the Proposed Method
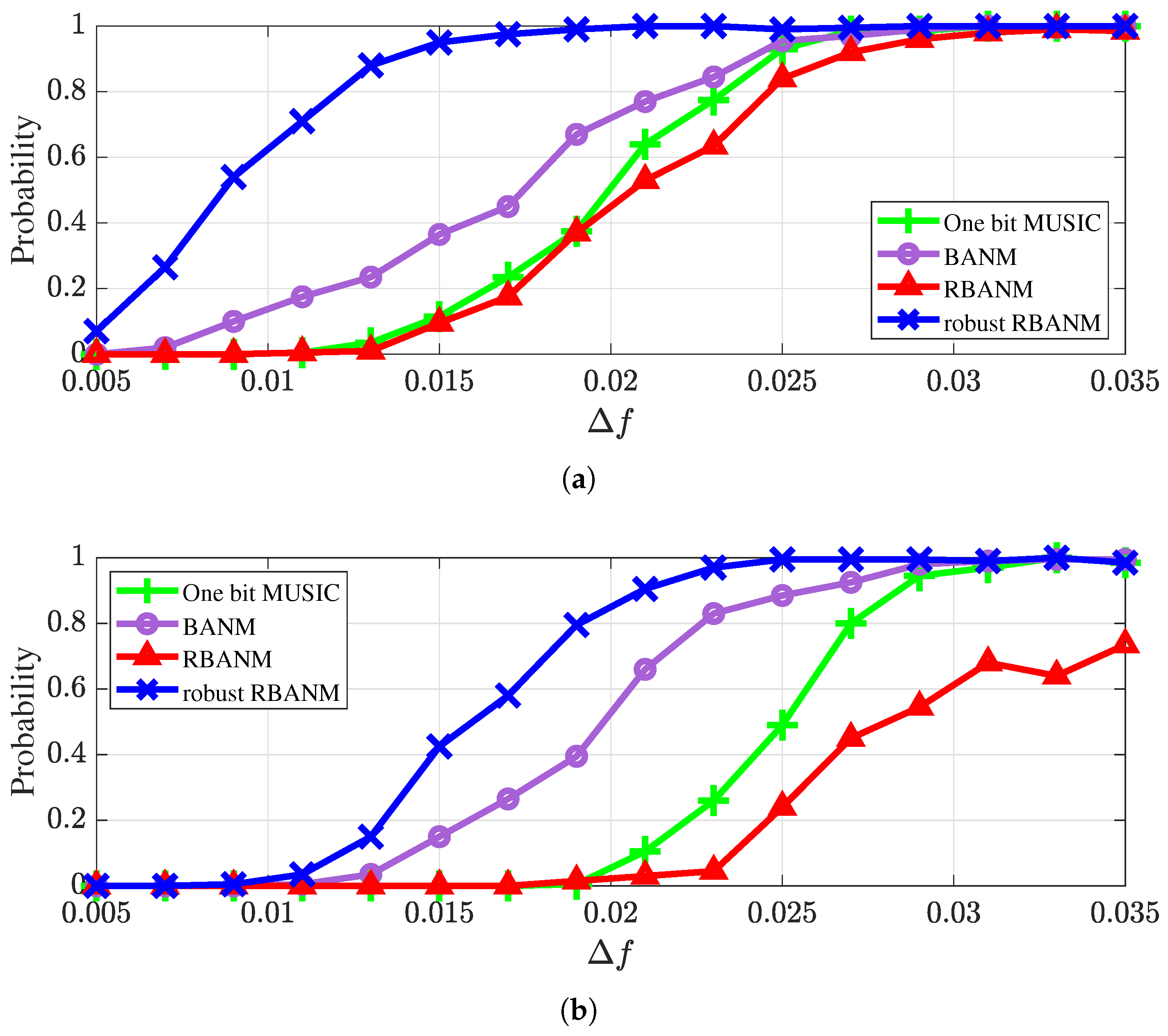
5. Results
6. Discussion
7. Conclusions
Author Contributions
Funding
Institutional Review Board Statement
Informed Consent Statement
Data Availability Statement
Conflicts of Interest
Abbreviations
| ADC | Analog-to-Digital Converter |
| ADMM | Alternating Direction Method of Multipliers |
| ANM | Atomic Norm Minimization |
| BANM | Binary Atomic Norm Minimization |
| DOA | Direction-Of-Arrival |
| MM | Majorization Minimization |
| MUSIC | MUltiple SIgnal Classification |
| RBANM | Reweighted Binary Atomic Norm Minimization |
| SDP | SemiDefinite Programming |
| SNR | Signal-to-Noise Ratio |
| ULA | Uniform Linear Array |
References
- Dey, N.; Ashour, A.S. Direction of Arrival Estimation and Localization of Multi-Speech Sources; Springer: Berlin/Heidelberg, Germany, 2018. [Google Scholar]
- Ho, T.; McWhirter, J.; Nehorai, A.; Nickel, U.; Ottersten, B.; Steinberg, B.; Stoica, P.; Viberg, M.; Zhu, Z. Radar Array Processing; Springer Science & Business Media: Berlin/Heidelberg, Germany, 2013; Volume 25. [Google Scholar]
- Walden, R.H. Analog-to-digital converter survey and analysis. IEEE J. Sel. Areas Commun. 1999, 17, 539–550. [Google Scholar] [CrossRef]
- Lu, L.; Li, G.Y.; Swindlehurst, A.L.; Ashikhmin, A.; Zhang, R. An overview of massive MIMO: Benefits and challenges. IEEE J. Sel. Top. Signal Process. 2014, 8, 742–758. [Google Scholar] [CrossRef]
- Ruan, N.; Wang, H.; Wen, F.; Shi, J. DOA estimation in B5G/6G: Trends and challenges. Sensors 2022, 22, 5125. [Google Scholar] [CrossRef] [PubMed]
- Liu, C.L.; Vaidyanathan, P. One-bit sparse array DOA estimation. In Proceedings of the 2017 IEEE International Conference on Acoustics, Speech and Signal Processing (ICASSP), New Orleans, LA, USA, 5–9 March 2017; pp. 3126–3130. [Google Scholar]
- Singh, J.; Dabeer, O.; Madhow, U. On the limits of communication with low-precision analog-to-digital conversion at the receiver. IEEE Trans. Commun. 2009, 57, 3629–3639. [Google Scholar] [CrossRef]
- Mezghani, A.; Nossek, J.A. Analysis of Rayleigh-fading channels with 1-bit quantized output. In Proceedings of the 2008 IEEE International Symposium on Information Theory, Toronto, ON, Canada, 6–11 July 2008; pp. 260–264. [Google Scholar]
- Stoica, P.; Shang, X.; Cheng, Y. The Cramér–Rao bound for signal parameter estimation from quantized data [Lecture Notes]. IEEE Signal Process. Mag. 2021, 39, 118–125. [Google Scholar] [CrossRef]
- Bar-Shalom, O.; Weiss, A.J. DOA estimation using one-bit quantized measurements. IEEE Trans. Aerosp. Electron. Syst. 2002, 38, 868–884. [Google Scholar] [CrossRef]
- Stöckle, C.; Munir, J.; Mezghani, A.; Nossek, J.A. 1-bit direction of arrival estimation based on compressed sensing. In Proceedings of the 2015 IEEE 16th International Workshop on Signal Processing Advances in Wireless Communications (SPAWC), Stockholm, Sweden, 28 June–1 July 2015; pp. 246–250. [Google Scholar]
- Huang, X.; Xiao, P.; Liao, B. One-bit direction of arrival estimation with an improved fixed-point continuation algorithm. In Proceedings of the 2018 10th International Conference on Wireless Communications and Signal Processing (WCSP), Hangzhou, China, 18–20 October 2018; pp. 1–4. [Google Scholar]
- Zhou, C.; Zhang, Z.; Liu, F.; Li, B. Gridless compressive sensing method for line spectral estimation from 1-bit measurements. Digit. Signal Process. 2017, 60, 152–162. [Google Scholar] [CrossRef]
- Wei, Z.; Wang, W.; Dong, F.; Liu, Q. Gridless one-bit direction-of-arrival estimation via atomic norm denoising. IEEE Commun. Lett. 2020, 24, 2177–2181. [Google Scholar] [CrossRef]
- Tang, W.G.; Jiang, H.; Zhang, Q. One-bit gridless DOA estimation with multiple measurements exploiting accelerated proximal gradient algorithm. Circuits Syst. Signal Process. 2022, 41, 1100–1114. [Google Scholar] [CrossRef]
- Feng, L.; Huang, L.; Li, Q.; He, Z.Q.; Chen, M. An off-grid iterative reweighted approach to one-bit direction of arrival estimation. IEEE Trans. Veh. Technol. 2023, 72, 8134–8139. [Google Scholar] [CrossRef]
- Chen, M.; Li, Q.; Li, X.P.; Huang, L.; Rihan, M. One-Bit DoA Estimation for Deterministic Signals Based on ℓ2,1-Norm Minimization. IEEE Trans. Aerosp. Electron. Syst. 2024, 60, 2438–2444. [Google Scholar] [CrossRef]
- Marques, E.C.; Maciel, N.; Naviner, L.; Cai, H.; Yang, J. A review of sparse recovery algorithms. IEEE Access 2018, 7, 1300–1322. [Google Scholar] [CrossRef]
- Malioutov, D.; Cetin, M.; Willsky, A.S. A sparse signal reconstruction perspective for source localization with sensor arrays. IEEE Trans. Signal Process. 2005, 53, 3010–3022. [Google Scholar] [CrossRef]
- Bhaskar, B.N.; Tang, G.; Recht, B. Atomic norm denoising with applications to line spectral estimation. IEEE Trans. Signal Process. 2013, 61, 5987–5999. [Google Scholar] [CrossRef]
- Yang, Z.; Xie, L. Enhancing sparsity and resolution via reweighted atomic norm minimization. IEEE Trans. Signal Process. 2015, 64, 995–1006. [Google Scholar] [CrossRef]
- Wu, X.; Zhu, W.P.; Yan, J. A high-resolution DOA estimation method with a family of nonconvex penalties. IEEE Trans. Veh. Technol. 2018, 67, 4925–4938. [Google Scholar] [CrossRef]
- Sheng, S.; Chen, P.; Yao, Y.; Wu, L.; Chen, Z. Atomic network-based DOA estimation using low-bit ADC. Electronics 2021, 10, 738. [Google Scholar] [CrossRef]
- Jia, T.; Liu, H.; Gao, C.; Yan, J. Bayesian Direction of Arrival Estimation using Atomic Norm Minimization with Prior Knowledge. IEEE Trans. Aerosp. Electron. Syst. 2024; early access. 1–32. [Google Scholar] [CrossRef]
- Fernandez-Granda, C. Super-resolution of point sources via convex programming. Inf. Inference J. IMA 2016, 5, 251–303. [Google Scholar] [CrossRef]
- Yang, Z.; Xie, L. Exact joint sparse frequency recovery via optimization methods. IEEE Trans. Signal Process. 2016, 64, 5145–5157. [Google Scholar] [CrossRef]
- Tang, G.; Bhaskar, B.N.; Shah, P.; Recht, B. Compressed sensing off the grid. IEEE Trans. Inf. Theory 2013, 59, 7465–7490. [Google Scholar] [CrossRef]
- Fazel, M.; Hindi, H.; Boyd, S.P. Log-det heuristic for matrix rank minimization with applications to Hankel and Euclidean distance matrices. In Proceedings of the 2003 American Control Conference, Denver, CO, USA, 4–6 June 2003; Volume 3, pp. 2156–2162. [Google Scholar]
- Shen, L.; Suter, B.W. One-bit compressive sampling via ℓ0 minimization. EURASIP J. Adv. Signal Process. 2016, 2016, 1–16. [Google Scholar] [CrossRef]
- Huang, X.; Liao, B. One-bit MUSIC. IEEE Signal Process. Lett. 2019, 26, 961–965. [Google Scholar] [CrossRef]





Disclaimer/Publisher’s Note: The statements, opinions and data contained in all publications are solely those of the individual author(s) and contributor(s) and not of MDPI and/or the editor(s). MDPI and/or the editor(s) disclaim responsibility for any injury to people or property resulting from any ideas, methods, instructions or products referred to in the content. |
© 2024 by the authors. Licensee MDPI, Basel, Switzerland. This article is an open access article distributed under the terms and conditions of the Creative Commons Attribution (CC BY) license (https://creativecommons.org/licenses/by/4.0/).
Share and Cite
Li, R.; Yang, J.; Dai, Z.; Lu, X.; Tan, K.; Su, W. High-Resolution and Robust One-Bit Direct-of-Arrival Estimation via Reweighted Atomic Norm Estimation. Sensors 2024, 24, 5936. https://doi.org/10.3390/s24185936
Li R, Yang J, Dai Z, Lu X, Tan K, Su W. High-Resolution and Robust One-Bit Direct-of-Arrival Estimation via Reweighted Atomic Norm Estimation. Sensors. 2024; 24(18):5936. https://doi.org/10.3390/s24185936
Chicago/Turabian StyleLi, Rui, Jianchao Yang, Zheng Dai, Xingyu Lu, Ke Tan, and Weimin Su. 2024. "High-Resolution and Robust One-Bit Direct-of-Arrival Estimation via Reweighted Atomic Norm Estimation" Sensors 24, no. 18: 5936. https://doi.org/10.3390/s24185936
APA StyleLi, R., Yang, J., Dai, Z., Lu, X., Tan, K., & Su, W. (2024). High-Resolution and Robust One-Bit Direct-of-Arrival Estimation via Reweighted Atomic Norm Estimation. Sensors, 24(18), 5936. https://doi.org/10.3390/s24185936

