Field Test of the MiniRadMeter Gamma and Neutron Detector for the EU Project CLEANDEM
Abstract
1. Introduction
2. Materials and Methods
2.1. The MiniRadMeter Sensors and the Control System
2.2. Gamma Detector Calibration
3. Results: Field Mission
3.1. Gamma Detection Mission
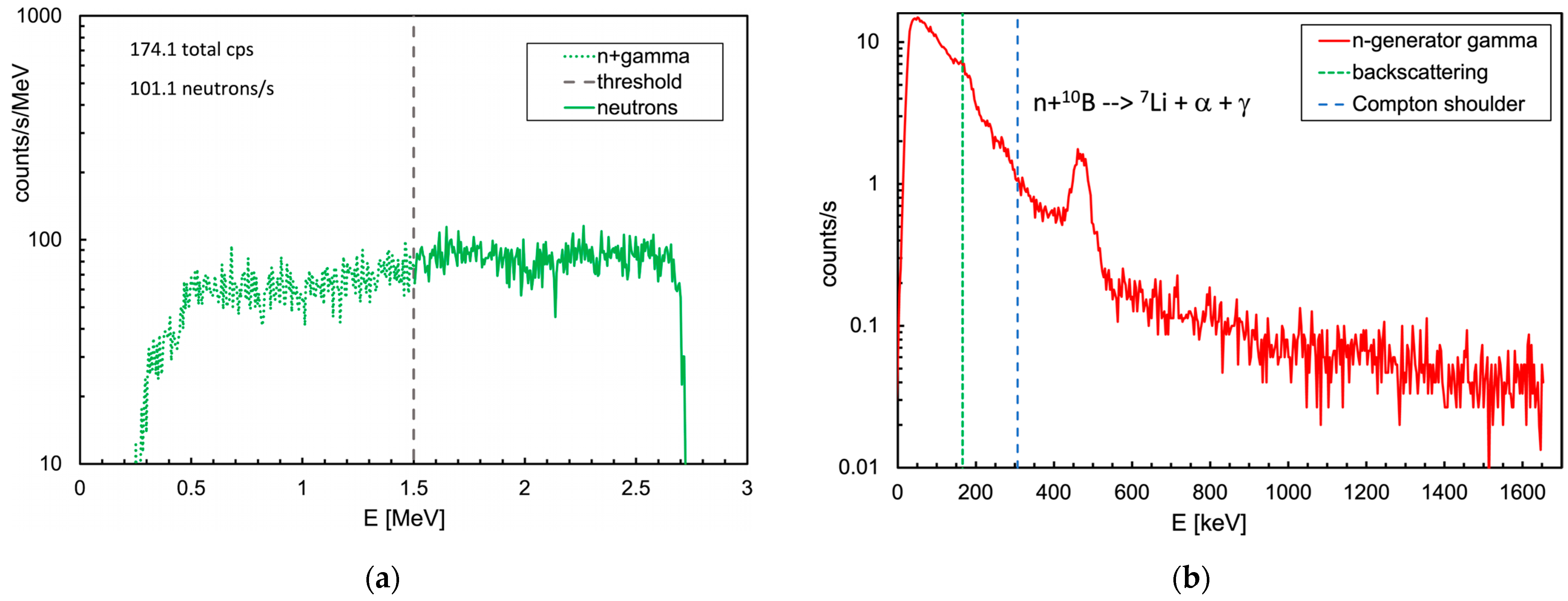
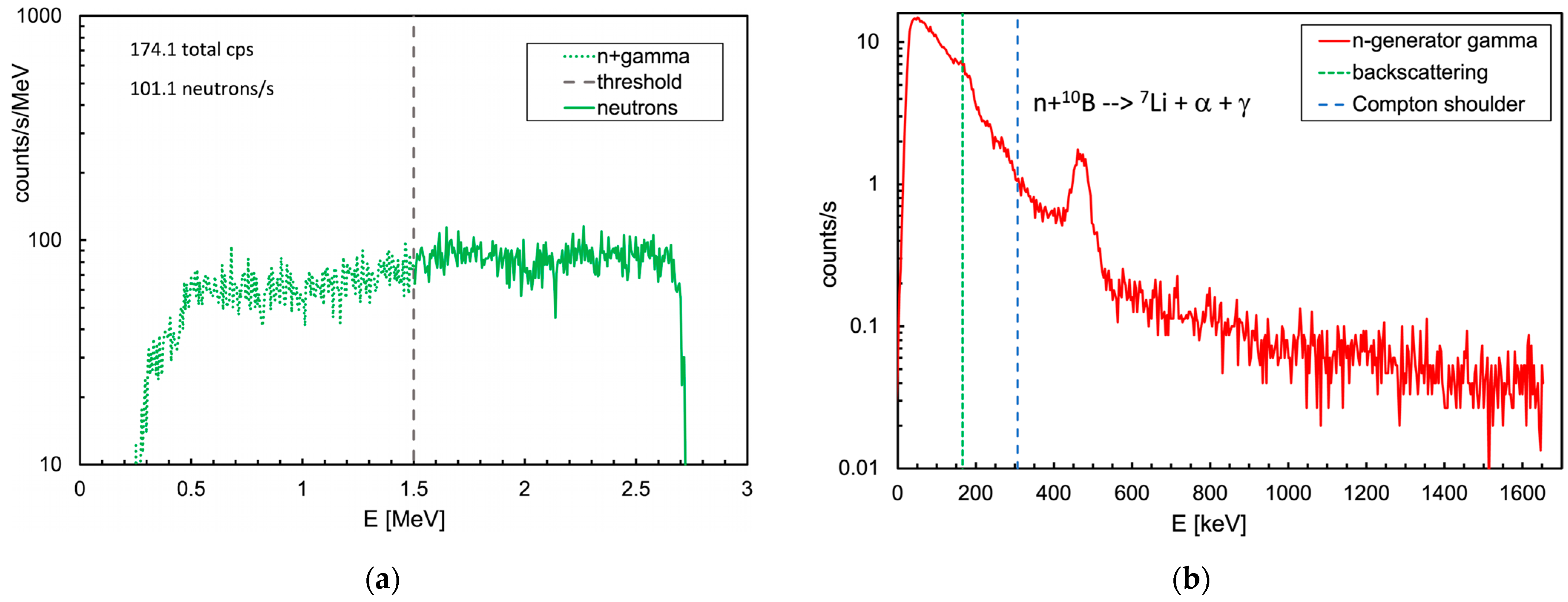
3.2. Neutron Detection Mission
4. Discussion
5. Conclusions
Author Contributions
Funding
Data Availability Statement
Acknowledgments
Conflicts of Interest
References
- CLEANDEM EU Project Horizon 2020, GA 945335. Available online: https://cordis.europa.eu/project/id/945335/ (accessed on 10 June 2024).
- Rossi, F.; Cosentino, L.; Longhitano, F.; Minutoli, S.; Musico, P.; Osipenko, M.; Poma, G.E.; Ripani, M.; Finocchiaro, P. The Gamma and Neutron Sensor System for Rapid Dose Rate Mapping in the CLEANDEM Project. Sensors 2023, 23, 4210. [Google Scholar] [CrossRef] [PubMed]
- Hyunju, Y.; Segyeong, J.; Shiyoung, Y.; Gyuseong, C. Optimal design of a CsI(Tl) crystal in a SiPM based compact radiation sensor. Radiat. Meas. 2015, 82, 102–107. [Google Scholar]
- Sabet, H.; Prekas, G.; Breen, M.; Bhandari, H.B.; Nickerson, P.; Derderian, G.; Robertson, F.; Kudrolli, H.; Cool, S.; Nagarkar, V.V. High-Performance and Cost-Effective Detector Using Microcolumnar CsI:Tl and SiPM. IEEE Trans. Nucl. Sci. 2012, 59, 1841–1849. [Google Scholar] [CrossRef]
- Swiderski, L.; Moszyński, M.; Czarnacki, W.; Brylew, K.; Grodzicka-Kobylka, M.; Mianowska, Z.; Sworobowicz, T.; Syntfeld-Każuch, A.; Szczesniak, T.; Klamra, W.; et al. Scintillation response to gamma-rays measured at wide temperature range for Tl doped CsI with SiPM readout. Nucl. Instrum. Methods Phys. Res. Sect. A 2019, 916, 32–36. [Google Scholar] [CrossRef]
- Fourches, N.; Zielińska, M.; Charles, G. High Purity Germanium: From Gamma-Ray Detection to Dark Matter Subterranean Detectors. In Use of Gamma Radiation Techniques in Peaceful Applications; IntechOpen: London, UK, 2019; pp. 1–17. [Google Scholar] [CrossRef]
- Grodzicka, M.; Moszynski, M.; Szczesniak, T.; Kapusta, M.; Szawłowski, M.; Wolski, D. Energy resolution of small scintillation detectors with SiPM light readout. J. Instrum. 2013, 8, P02017. [Google Scholar] [CrossRef]
- Vanhavere, F.; Marlein, B.; Nascimento, L.F.; Lövestam, G. Testing three types of active personal neutron dosemeters for application in a nuclear research centre. Radiat. Meas. 2010, 45, 1593–1596. [Google Scholar] [CrossRef]
- Lacoste, V.; Reginatto, M.; Asselineau, B.; Muller, H. Bonner sphere neutron spectrometry at nuclear workplaces in the framework of the EVIDOS project. Radiat. Prot. Dosim. 2007, 125, 304–308. [Google Scholar] [CrossRef] [PubMed]
- Advanced Institute for Nuclear Training. Available online: https://www.nuclear-training.de/ (accessed on 2 July 2024).
- Hilger Crystals. Available online: https://www.hilger-crystals.co.uk/materials/thallium-doped-caesium-iodide/ (accessed on 4 September 2024).
- MicroFC-60035-SMT. Available online: https://www.onsemi.com/pdf/datasheet/microc-series-d.pdf (accessed on 14 June 2024).
- Longhitano, F.; Poma, G.E.; Cosentino, L.; Finocchiaro, P. A Scintillator Array Table with Spectroscopic Features. Sensors 2022, 22, 4754. [Google Scholar] [CrossRef] [PubMed]
- Poma, G.E.; Failla, C.R.; Amaducci, S.; Cosentino, L.; Longhitano, F.; Vecchio, G.; Finocchiaro, P. PI3SO: A Spectroscopic -Ray Scanner Table for Sort and Segregate Radwaste Analysis. Inventions 2024, 9, 85. [Google Scholar] [CrossRef]
- Raspberry Pi4. Available online: https://www.raspberrypi.com/products/raspberry-pi-4-model-b/ (accessed on 16 June 2024).
- Pappalardo, A.; Barbagallo, M.; Cosentino, L.; Marchetta, C.; Musumarra, A.; Scirè, C.; Scirè, S.; Vecchio, G.; Finocchiaro, P. Characterization of the silicon+6LiF thermal neutron detection technique. Nucl. Instrum. Methods Phys. Res. Sect. A 2016, 810, 6. [Google Scholar] [CrossRef][Green Version]
- Finocchiaro, P.; Cosentino, L.; Lo Meo, S.; Nolte, R.; Radeck, D. Absolute efficiency calibration of 6LiF-based solid state thermal neutron detectors. Nucl. Instrum. Methods Phys. Res. Sect. A 2018, 885, 86. [Google Scholar] [CrossRef]
- Cosentino, L.; Ducasse, Q.; Giuffrida, M.; Lo Meo, S.; Longhitano, F.; Marchetta, C.; Massara, A.; Pappalardo, A.; Passaro, G.; Russo, S.; et al. SiLiF Neutron Counters to Monitor Nuclear Materials in the MICADO Project. Sensors 2021, 21, 2630. [Google Scholar] [CrossRef] [PubMed]
- Pappalardo, A.; Vasi, C.; Finocchiaro, P. Direct comparison between solid state Silicon+6LiF and 3He gas tube neutron detectors. Results Phys. 2016, 6, 12. [Google Scholar] [CrossRef]
- McGregor, D.S.; Hammig, M.D.; Yang, Y.H.; Gersch, H.K.; Klann, R.T. Design consideration for thin film coated semiconductor thermal neutron detectors—I: Basics regarding alpha particle emitting neutron reactive films. Nucl. Instrum. Methods Phys. Res. Sect. A 2003, 500, 272. [Google Scholar] [CrossRef]
- Phlips, B.F.; Kub, F.J.; Novikova, E.I.; Wulf, E.A.; Fitzgerald, C. Neutron detection using large area silicon detectors. Nucl. Instrum. Methods Phys. Res. Sect. A 2007, 579, 173. [Google Scholar] [CrossRef]
- Hamamatsu. Available online: https://www.hamamatsu.com/content/dam/hamamatsu-photonics/sites/documents/99_SALES_LIBRARY/ssd/s3590-08_etc_kpin1052e.pdf (accessed on 15 June 2024).
- Massara, A.; Amaducci, S.; Cosentino, L.; Longhitano, F.; Marchetta, C.; Poma, G.E.; Ursino, M.; Finocchiaro, P. 6LiF Converters for Neutron Detection: Production Procedures and Detector Tests. Instruments 2023, 7, 1. [Google Scholar] [CrossRef]
- Agostinelli, S.; Allison, J.; Amako, K.; Apostolakis, J.; Araujo, H.; Arce, P.; Asai, M.; Axen, D.; Banerjee, S.; Barrand, G.; et al. Geant4—A simulation toolkit. Nucl. Instrum. Methods Phys. Res. Sect. A 2003, 506, 250–303. [Google Scholar] [CrossRef]
- Jordanov, V.T.; Knoll, G.F. Digital synthesis of pulse shapes in real time for high resolution radiation spectroscopy. Nucl. Instrum. Methods Phys. Res. Sect. A 1994, 345, 337–345. [Google Scholar] [CrossRef]
- NIST. Available online: https://physics.nist.gov/PhysRefData/XrayMassCoef/ComTab/cesium.html (accessed on 15 June 2024).
- Fasso, A.; Ferrari, A.; Ranft, J.; Sala, P.R. FLUKA: A Multi-Particle Transport Code; CERN Technical Report No. INFN/TC_05/11; CERN-2005-10; CERN: Genève, Switzerland, 2005. [Google Scholar]
- Flair, Advanced Graphical User Interface for Particle Simulation Programs. Available online: http://cern.ch/flair (accessed on 31 July 2024).
- DOD, DOE, EPA, and NRC. 2000. Multi-Agency Radiation Survey and Site Investigation Manual (MARSSIM), Revision 1, NUREG-1575, DOE/EH-0624, EPA 402-R-97-016, Washington, D.C., August 2000, page 6.34. Available online: https://www.epa.gov/sites/default/files/2017-09/documents/marssim_manual_rev1.pdf (accessed on 19 June 2024).
- U.S. Nuclear Regulatory Commission (NRC). Derivation of the Currie Equations. Available online: https://www.nrc.gov/docs/ML1717/ML17178A298.pdf (accessed on 19 June 2024).
- Brodsky, A. Exact Calculation of Probabilities of False Positives and False Negatives for Low Background Counting. Health Phys. 1992, 63, 198–204. [Google Scholar] [CrossRef] [PubMed]



















| Location | Tag | Run Time [s] | Count Rate [cps] | Average Dose Rate (Direct) [µSv/h] | Average Dose Rate (Measured) [µSv/h] | Dose Rate (Simulation) [µSv/h] |
|---|---|---|---|---|---|---|
| ambient, in sources region | a | 110 | 5.97 | 0.22 ± 0.009 | 0.13 ± 0.005 | - |
| amid 152Eu, 137Cs, 60Co | b | 40 | 7.23 | 0.27 ± 0.016 | 0.17 ± 0.010 | - |
| 137Cs, 60Co | c | 110 | 12.43 | 0.46 ± 0.012 | 0.44 ± 0.012 | ≈0.4 |
| 241Am | d | 70 | 7.59 | 0.28 ± 0.012 | 0.18 ± 0.008 | ≈0.12 |
| 152Eu | e | 120 | 7.39 | 0.27 ± 0.009 | 0.18 ± 0.006 | ≈0.1 |
| ambient, far from sources | f | 80 | 4.04 | 0.15 ± 0.008 | 0.07 ± 0.004 | - |
Disclaimer/Publisher’s Note: The statements, opinions and data contained in all publications are solely those of the individual author(s) and contributor(s) and not of MDPI and/or the editor(s). MDPI and/or the editor(s) disclaim responsibility for any injury to people or property resulting from any ideas, methods, instructions or products referred to in the content. |
© 2024 by the authors. Licensee MDPI, Basel, Switzerland. This article is an open access article distributed under the terms and conditions of the Creative Commons Attribution (CC BY) license (https://creativecommons.org/licenses/by/4.0/).
Share and Cite
Ripani, M.; Rossi, F.; Cosentino, L.; Longhitano, F.; Musico, P.; Osipenko, M.; Poma, G.E.; Finocchiaro, P. Field Test of the MiniRadMeter Gamma and Neutron Detector for the EU Project CLEANDEM. Sensors 2024, 24, 5905. https://doi.org/10.3390/s24185905
Ripani M, Rossi F, Cosentino L, Longhitano F, Musico P, Osipenko M, Poma GE, Finocchiaro P. Field Test of the MiniRadMeter Gamma and Neutron Detector for the EU Project CLEANDEM. Sensors. 2024; 24(18):5905. https://doi.org/10.3390/s24185905
Chicago/Turabian StyleRipani, Marco, Fabio Rossi, Luigi Cosentino, Fabio Longhitano, Paolo Musico, Mikhail Osipenko, Gaetano Elio Poma, and Paolo Finocchiaro. 2024. "Field Test of the MiniRadMeter Gamma and Neutron Detector for the EU Project CLEANDEM" Sensors 24, no. 18: 5905. https://doi.org/10.3390/s24185905
APA StyleRipani, M., Rossi, F., Cosentino, L., Longhitano, F., Musico, P., Osipenko, M., Poma, G. E., & Finocchiaro, P. (2024). Field Test of the MiniRadMeter Gamma and Neutron Detector for the EU Project CLEANDEM. Sensors, 24(18), 5905. https://doi.org/10.3390/s24185905

