Variations in External and Internal Intensities and Impact of Maturational Age on Soccer Training Tasks
Abstract
1. Introduction
1.1. Training Intensities in Sports
1.2. Soccer Training Tasks
1.3. Maturation Age in Young Players
1.4. Objective and Hypothesis of This Study
2. Materials and Methods
2.1. Study Design
2.2. Population, Participants, and Sample
2.3. Variables and Instruments
2.4. Procedure
2.5. Statistical Analysis
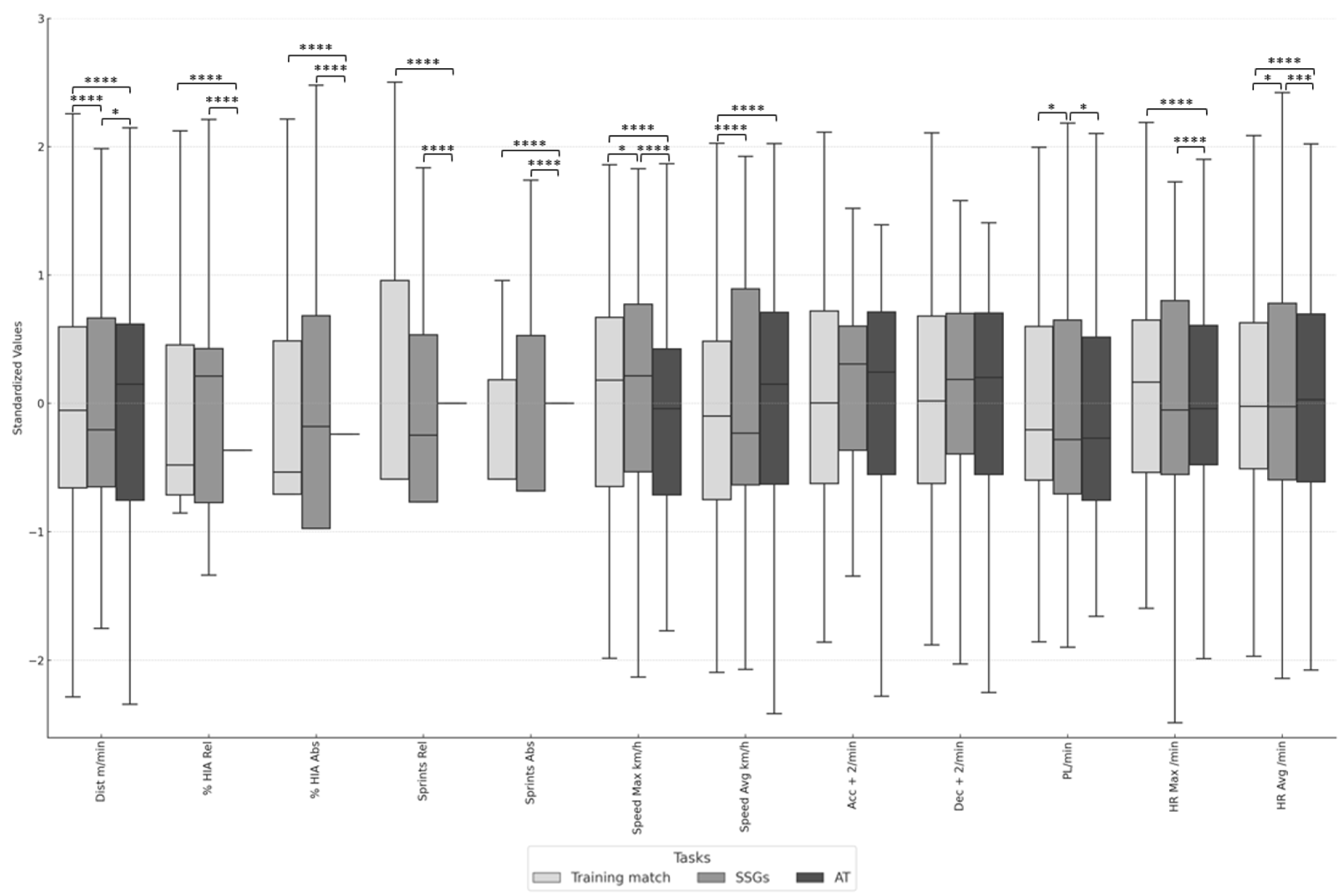
3. Results
3.1. Descrptive Results of Anthropometric Data and Training Intensities Variables
3.2. Comparison of Intensity Variables According to Task Type
3.3. Impact of Maturation Age on Differences between Study Contexts
4. Discussion
4.1. Intensity Variables According to Task Type
4.2. Maturation Age on Differences between Study Contexts
4.3. Limitations, Strengths, and Research Prospective
5. Conclusions
Author Contributions
Funding
Institutional Review Board Statement
Informed Consent Statement
Data Availability Statement
Acknowledgments
Conflicts of Interest
References
- Lloyd, R.S.; Oliver, J.L.; Faigenbaum, A.D.; Myer, G.D.; De Ste Croix, M.B. Chronological age vs. biological maturation: Implications for exercise programming in youth. J. Strength Cond. Res. 2014, 28, 1454–1464. [Google Scholar] [CrossRef] [PubMed]
- Staunton, C.A.; Abt, G.; Weaving, D.; Wundersitz, D.W.T. Misuse of the term ‘load’ in sport and exercise science. J. Sci. Med. Sport 2022, 25, 439–444. [Google Scholar] [CrossRef]
- Barrett, S.; Midgley, A.W.; Towlson, C.; Garrett, A.; Portas, M.; Lovell, R. Within-match PlayerLoad™ patterns during a simulated soccer match: Potential implications for unit positioning and fatigue management. Int. J. Sports Physiol. Perform. 2016, 11, 135–140. [Google Scholar] [CrossRef] [PubMed]
- Bourdon, P.C.; Cardinale, M.; Murray, A.; Gastin, P.B.; Kellmann, M.; Varley, M.C.; Gabbett, T.J.; Coutts, A.J.; Burgess, D.J.; Gregson, W. Monitoring athlete training loads: Consensus statement. Int. J. Sports Physiol. Perform. 2017, 12, S2-161–S2-170. [Google Scholar] [CrossRef]
- Mujika, I. The Alphabet of Sport Science Research Starts with Q. Int. J. Sports Physiol. Perform. 2013, 8, 465–466. [Google Scholar] [CrossRef]
- Reche-Soto, P.; Cardona, D.; Díaz, A.; Gómez-Carmona, C.D.; Pino-Ortega, J. ACELT y PLAYER LOAD: Dos Variables para la Cuantificación de la Carga Neuromuscular/ACELT and PLAYER LOAD: Two Variables to Quanty Neuromuscular Load. Rev. Int. Med. Cienc. Act. Fís. Deport. 2020, 20, 167–183. [Google Scholar] [CrossRef]
- Gómez-Carmona, C.D.; Bastida-Castillo, A.; Ibáñez, S.J.; Pino-Ortega, J. Accelerometry as a method for external workload monitoring in invasion team sports. A systematic review. PLoS ONE 2020, 15, e0236643. [Google Scholar] [CrossRef]
- Ibáñez, S.J.; Feu, S.; Cañadas, M. Sistema integral para el análisis de las tareas de entrenamiento, SIATE, en deportes de invasión. E-Balonmano.com Rev. Cienc. Deport. 2016, 12, 3–30. [Google Scholar]
- Buchheit, M. Monitoring training status with HR measures: Do all roads lead to Rome? Front. Physiol. 2014, 5, 73. [Google Scholar] [CrossRef]
- Borg, G. Borgʹs Perceived Exertion and Pain Scales; Human Kinetics: Champaign, IL, USA, 1998. [Google Scholar]
- Malone, J.J.; Lovell, R.; Varley, M.C.; Coutts, A.J. Unpacking the black box: Applications and considerations for using GPS devices in sport. Int. J. Sports Physiol. Perform. 2017, 12, S2-18–S2-26. [Google Scholar] [CrossRef]
- Ibáñez, S.J.; Gómez-Carmona, C.D.; Mancha-Triguero, D. Individualization of intensity thresholds on external workload demands in women’s basketball by k-means clustering: Differences based on the competitive level. Sensors 2022, 22, 324. [Google Scholar] [CrossRef] [PubMed]
- Gutiérrez-Vargas, R.; Ugalde-Ramírez, J.A.; Rojas-Valverde, D.; Müller-Thyssen, M.; Pino-Ortega, J. External and internal load of Costa Rican handball referees according to sex and game periods. E-Balonmano.com J. Sports Sci. 2021, 17, 153–162. [Google Scholar] [CrossRef]
- Feu, S.; García-Ceberino, J.M.; López-Sierra, P.; Ibáñez, S.J. Training to Compete: Are Basketball Training Loads Similar to Competition Achieved? Appl. Sci. 2023, 13, 12512. [Google Scholar] [CrossRef]
- Fernández, D.; Cadefau, J.A.; Serra, N.; Carmona, G. The distribution of different intensity demanding scenarios in elite rink hockey players using an electronic performance tracking system. PLoS ONE 2023, 18, e0282788. [Google Scholar] [CrossRef] [PubMed]
- García-Ceberino, J.M.; Bravo, A.; de la Cruz-Sánchez, E.; Feu, S. Analysis of Intensities Using Inertial Motion Devices in Female Soccer: Do You Train like You Compete? Sensors 2022, 22, 2870. [Google Scholar] [CrossRef]
- Majano, C.; Garcia-Unanue, J.; Fernández-Cuevas, I.; Escamilla-Galindo, V.; Alonso-Callejo, A.; Sanchez-Sanchez, J.; Gallardo, L.; Felipe, J.L. Association between physical demands, skin temperature and wellbeing status in elite football players. Sci. Rep. 2023, 13, 13780. [Google Scholar] [CrossRef] [PubMed]
- Gantois, P.; Piqueras-Sanchiz, F.; Cid, M.J.F.A.; Pino-Ortega, J.; Castillo, D.; Nakamura, F.Y. The effects of different small-sided games configurations on heart rate, rating of perceived exertion, and running demands in professional soccer players. Eur. J. Sport Sci. 2023, 23, 1214–1222. [Google Scholar] [CrossRef] [PubMed]
- Oliva-Lozano, J.M.; Cuenca-López, J.; Suárez, J.; Granero-Gil, P.; Muyor, J.M. When and How Do Soccer Players From a Semi-Professional Club Sprint in Match Play? J. Hum. Kinet. 2023, 86, 195–204. [Google Scholar] [CrossRef]
- Reche-Soto, P.; Cardona-Nieto, D.; Díaz-Suárez, A.; Gómez-Carmona, C.D.; Pino-Ortega, J. Analysis of physical demands of small-sided games in semiproffesional-level football in function of the objective and the tracking technology utilised. E-Balonmano.com Rev. Cienc. Deport. 2019, 15, 23–36. [Google Scholar]
- Bujalance-Moreno, P.; Latorre-Román, P.Á.; Ramírez-Campillo, R.; Garcia-Pinillos, F. Acute responses to 4 vs. 4 small-sided games in football players. Kinesiology 2020, 52, 46–53. [Google Scholar] [CrossRef]
- Gómez-Carmona, C.D.; Gamonales, J.M.; Pino-Ortega, J.; Ibáñez, S.J. Comparative Analysis of Load Profile between Small-Sided Games and Official Matches in Youth Soccer Players. Sports 2018, 6, 173. [Google Scholar] [CrossRef]
- Silva, H.; Nakamura, F.Y.; Casamichana, D.; Barba, E.; Castellano, J.; Marcelino, R. Match peak speeds, maximum accelerations, and maximum decelerations differ in young football players: Expression of maximal capacities is dependent of match context. Sport Sci. Health 2023, 20, 443–448. [Google Scholar] [CrossRef]
- Machado, J.C.; Góes, A.; Aquino, R.; Bedo, B.L.S.; Viana, R.; Rossato, M.; Scaglia, A.; Ibáñez, S.J. Applying different strategies of task constraint manipulation in small-sided and conditioned games: How do they impact physical and tactical demands? Sensors 2022, 22, 4435. [Google Scholar] [CrossRef] [PubMed]
- Clemente, F.M.; Castillo, D.; Los Arcos, A. Tactical analysis according to age-level groups during a 4 vs. 4 plus goalkeepers small-sided game. Int. J. Environ. Res. Public Health 2020, 17, 1667. [Google Scholar] [CrossRef] [PubMed]
- Inglés-Bolumar, P.; Pino-Ortega, J.; Bastida-Castillo, A.; Gómez-Carmona, C.D. Análisis cinemático de las exigencias en futbolistas de categoría benjamín mediante un dispositivo inercial (WIMU PROTM). Kronos 2018, 17, 1–11. [Google Scholar]
- McMillan, K.; Helgerud, J.; Macdonald, R.; Hoff, J. Physiological adaptations to soccer specific endurance training in professional youth soccer players. Br. J. Sports Med. 2005, 39, 273–277. [Google Scholar] [CrossRef]
- Bangsbo, J.; Reilly, T.; Williams, A.M. Science and Football III; Routledge: London, UK, 2014. [Google Scholar] [CrossRef]
- Zanetti, V.; Aoki, M.S.; Bradley, P.S.; Moreira, A. External and internal training loads for intensive and extensive tactical-conditioning in soccer small sided games. J. Hum. Kinet. 2022, 83, 165–173. [Google Scholar] [CrossRef]
- Bangsbo, J.; Mohr, M.; Krustrup, P. Physical and metabolic demands of training and match-play in the elite football player. J. Sports Sci. 2006, 24, 665–674. [Google Scholar] [CrossRef]
- Monasterio, X.; Bidaurrazaga-Letona, I.; Larruskain, J.; Lekue, J.A.; Diaz-Beitia, G.; Santisteban, J.M.; Martin-Garetxana, I.; Gil, S.M. Relative skeletal maturity status affects injury burden in U14 elite academy football players. Scand. J. Med. Sci. Sports 2022, 32, 1400–1409. [Google Scholar] [CrossRef]
- Towlson, C.; Salter, J.; Ade, J.D.; Enright, K.; Harper, L.D.; Page, R.M.; Malone, J.J. Maturity-associated considerations for training load, injury risk, and physical performance in youth soccer: One size does not fit all. J. Sport Health Sci. 2021, 10, 403–412. [Google Scholar] [CrossRef]
- Philippaerts, R.M.; Vaeyens, R.; Janssens, M.; Renterghem, B.V.; Matthys, D.; Craen, R.; Bourgois, J.; Vrijens, J.; Beunen, G.; Malina, R.M. The relationship between peak height velocity and physical performance in youth soccer players. J. Sports Sci. 2006, 24, 221–230. [Google Scholar] [CrossRef] [PubMed]
- Bult, H.J.; Barendrecht, M.; Tak, I.J.R. Injury Risk and Injury Burden Are Related to Age Group and Peak Height Velocity Among Talented Male Youth Soccer Players. Orthop. J. Sports Med. 2018, 6, 2325967118811042. [Google Scholar] [CrossRef] [PubMed]
- Dupré, T.; Potthast, W. Groin injury risk of pubertal soccer players increases during peak height velocity due to changes in movement techniques. J. Sports Sci. 2020, 38, 2661–2669. [Google Scholar] [CrossRef]
- Ato, M.; López, J.J.; Benavente, A. Un sistema de clasificación de los diseños de investigación en psicología. An. Psicol. 2013, 29, 1039–1059. [Google Scholar] [CrossRef]
- Lago, C.; Lorenzo-Calvo, A.; Cárdenas, D.; Alarcón, F.; Ureña, A.; Giménez, F.J.; Gómez-Ruano, M.Á.; Fradua, L.; Sáinz de Baranda, P.; Ibáñez, S.J.; et al. La creación de conocimiento en los deportes de equipo. Sobre el tamaño de la muestra y la generalización de los resultados. J. Univers. Mov. Perform. 2020, 1, 7–8. [Google Scholar] [CrossRef]
- Bastida-Castillo, A.; Gómez-Carmona, C.D.; De la cruz Sánchez, E.; Pino-Ortega, J. Accuracy, intra- and inter-unit reliability, and comparison between GPS and UWB-based position-tracking systems used for time-motion analyses in soccer. Eur. J. Sport Sci. 2018, 18, 450–457. [Google Scholar] [CrossRef]
- Stewart, A. Kinanthropometry–the interdisciplinary discipline. J. Sports Sci. 2007, 25, 373. [Google Scholar] [CrossRef]
- Fransen, J.; Bush, S.; Woodcock, S.; Novak, A.; Deprez, D.; Baxter-Jones, A.D.G.; Vaeyens, R.; Lenoir, M. Improving the Prediction of Maturity From Anthropometric Variables Using a Maturity Ratio. Pediatr. Exerc. Sci. 2018, 30, 296–307. [Google Scholar] [CrossRef] [PubMed]
- Gómez-Carmona, C.D.; Pino-Ortega, J.; Ibáñez-Godoy, S.J. Design and validity of a field test battery for assessing multi-location external load profile in invasion team sports. E-Balonmano.com 2020, 16, 23–48. [Google Scholar]
- Hodgson, C.; Akenhead, R.; Thomas, K. Time-motion analysis of acceleration demands of 4v4 small-sided soccer games played on different pitch sizes. Hum. Mov. Sci. 2014, 33, 25–32. [Google Scholar] [CrossRef]
- Brito, Â.; Roriz, P.; Duarte, R.; Garganta, J. Match-running performance of young soccer players in different game formats. Int. J. Perform. Anal. Sport 2018, 18, 410–422. [Google Scholar] [CrossRef]
- Owen, A.L.; Wong, D.P.; Paul, D.; Dellal, A. Physical and Technical Comparisons between Various-Sided Games within Professional Soccer. Int. J. Sports Med. 2014, 35, 28–92. [Google Scholar] [CrossRef] [PubMed]
- Clemente, F.M.; Sarmento, H.; Rabbani, A.; Van der Linden, C.M.I.; Kargarfard, M.; Costa, I.T. Variations of external load variables between medium- and large-sided soccer games in professional players. Res. Sports Med. 2019, 27, 50–59. [Google Scholar] [CrossRef]
- Rábano-Munoz, A.; Suárez-Arrones, L.; Requena, B.; Asian-Clemente, J. Relative Match Load in Young Professional Soccer Players during Soccer-7 and Soccer-11. Int. J. Sports Med. 2024, 45, 134–140. [Google Scholar] [CrossRef]
- Asci, A. Heart Rate Responses during Small Sided Games and Official Match-Play in Soccer. Sports 2016, 4, 31. [Google Scholar] [CrossRef] [PubMed]
- Little, T.; Williams, A. Measures of exercise intensity during soccer training drills with professional soccer players. J. Strength Cond. Res. 2007, 21, 367–371. [Google Scholar] [CrossRef]
- Eskandarifard, E.; Nobari, H.; Sogut, M.; Clemente, F.M.; Figueiredo, A.J. Exploring interactions between maturity status and playing time with fluctuations in physical fitness and hormonal markers in youth soccer players. Sci. Rep. 2022, 12, 4463. [Google Scholar] [CrossRef]
- Lovell, R.; Fransen, J.; Ryan, R.; Massard, T.; Cross, R.; Eggers, T.; Duffield, R. Biological maturation and match running performance: A national football (soccer) federation perspective. J. Sci. Med. Sport 2019, 22, 1139–1145. [Google Scholar] [CrossRef]
- Cumming, S.P.; Searle, C.; Hemsley, J.K.; Haswell, F.; Edwards, H.; Scott, S.; Gross, A.; Ryan, D.; Lewis, J.; White, P.; et al. Biological maturation, relative age and self-regulation in male professional academy soccer players: A test of the underdog hypothesis. Psychol. Sport Exerc. 2018, 39, 147–153. [Google Scholar] [CrossRef]
- Asadi, A.; Arazi, H.; Ramirez-Campillo, R.; Moran, J.; Izquierdo, M. Influence of Maturation Stage on Agility Performance Gains After Plyometric Training: A Systematic Review and Meta-analysis. J. Strength Cond. Res. 2017, 31, 2609–2617. [Google Scholar] [CrossRef]
- Lesinski, M.; Schmelcher, A.; Herz, M.; Puta, C.; Gabriel, H.; Arampatzis, A.; Laube, G.; Büsch, D.; Granacher, U. Maturation-, age-, and sex-specific anthropometric and physical fitness percentiles of German elite young athletes. PLoS ONE 2020, 15, e0237423. [Google Scholar] [CrossRef] [PubMed]
- Teixeira, J.E.; Alves, A.R.; Ferraz, R.; Forte, P.; Leal, M.; Ribeiro, J.; Silva, A.J.; Barbosa, T.M.; Monteiro, A.M. Effects of chronological age, relative age, and maturation status on accumulated training load and perceived exertion in young sub-elite football players. Front. Physiol. 2022, 13, 832202. [Google Scholar] [CrossRef]
- Salter, J.; Julian, R.; Mentzel, S.V.; Hamilton, A.; Hughes, J.D.; De St Croix, M. Maturity status influences perceived training load and neuromuscular performance during an academy soccer season. Res. Sports Med. 2024, 32, 235–247. [Google Scholar] [CrossRef] [PubMed]
- Nobari, H.; Eken, Ö.; Singh, U.; Gorouhi, A.; Bordón, J.C.P.; Prieto-González, P.; Kurtoğlu, A.; Calvo, T.G. Which training load indicators are greater correlated with maturation and wellness variables in elite U14 soccer players? BMC Pediatr. 2024, 24, 289. [Google Scholar] [CrossRef]
- Malina, R.M.; Eisenmann, J.C.; Cumming, S.P.; Ribeiro, B.; Aroso, J. Maturity-associated variation in the growth and functional capacities of youth football (soccer) players 13–15 years. Eur. J. Appl. Physiol. 2004, 91, 555–562. [Google Scholar] [CrossRef]
- Buchheit, M.; Mendez-Villanueva, A.; Simpson, B.M.; Bourdon, P.C. Match running performance and fitness in youth soccer. Int. J. Sports Med. 2010, 31, 818–825. [Google Scholar] [CrossRef]
- Parr, J.; Winwood, K.; Hodson-Tole, E.; Deconinck, F.J.; Hill, J.P.; Teunissen, J.W.; Cumming, S.P. The main and interactive effects of biological maturity and relative age on physical performance in elite youth soccer players. J. Sports Med. Phys. Fit. 2020, 2020, 1957636. [Google Scholar] [CrossRef]
- Lloyd, R.S.; Faigenbaum, A.D.; Stone, M.H.; Oliver, J.L.; Jeffreys, I.; Moody, J.A.; Brewer, C.; Pierce, K.C.; McCambridge, T.M.; Howard, R.; et al. Position statement on youth resistance training: The 2014 International Consensus. Br. J. Sports Med. 2014, 48, 498–505. [Google Scholar] [CrossRef]
- Moran, J.; Sandercock, G.R.; Ramírez-Campillo, R.; Meylan, C.; Collison, J.; Parry, D.A. A meta-analysis of maturation-related variation in adolescent boy athletes’ adaptations to short-term resistance training. J. Sports Sci. 2017, 35, 1041–1051. [Google Scholar] [CrossRef]
- Malina, R.M.; Rogol, A.D.; Cumming, S.P.; Coelho e Silva, M.J.; Figueiredo, A.J. Biological maturation of youth athletes: Assessment and implications. Br. J. Sports Med. 2015, 49, 852–859. [Google Scholar] [CrossRef]
- Buchheit, M.; Mendez-Villanueva, A. Reliability and stability of anthropometric and performance measures in highly-trained young soccer players: Effect of age and maturation. J. Sports Sci. 2013, 31, 1332–1343. [Google Scholar] [CrossRef] [PubMed]
- Sampaio, T.; Marinho, D.; Teixeira, J.E.; Oliveira, J.; Morais, J. Clustering U-14 Portuguese regional team football players by lower limb strength, power, dynamic balance, speed and change of direction: Understanding the field position factor. PeerJ 2023, 11, e15609. [Google Scholar] [CrossRef] [PubMed]


| Intensity Type | Variable | Abbreviation | Description |
|---|---|---|---|
| Kinematic eTL | Distance | Dist m/min | Distance covered in meters per minute |
| High-intensity actions in relative and absolute values | % HIA Rel % HIA Abs | It is the sum of the following variables: take-off (>3G), landings (>5G), impacts (>8G), accelerations (>3 m/s2), decelerations (<−3 m/s2), relative sprints (>95% max speed), and relative HSR (>75.5% max speed) | |
| Sprints in relative and absolute values | Sprints Rel | It is a displacement >21 km/h | |
| Sprints Abs | |||
| Maximum speed | Speed Max km/h | Maximum and average speed determined in kilometers per hour (km/h) | |
| Average speed | Speed Avg km/h | ||
| Accelerations | Acc + 2/min | Average accelerations exceeding 2 m/s2, per minute | |
| Decelerations | Dec + 2/min | Average decelerations below −2 m/s2, per minute | |
| Neuromuscular eTL | Player load | PL/min | Vector magnitude derived from triaxial accelerometry data |
| iTL | Maximum heart rate | HR Max/min | It is established using the arithmetic mean of beats per minute |
| Average heart rate | HR Avg/min | It is established using the arithmetic maximum of beats per minute |
| Category | Variable | Total | Training Match | SSGs | Analytical Task |
|---|---|---|---|---|---|
| Anthropometric Data M ± SD | Chronological Age | 15.54 ± 0.53 | |||
| Maturation Age | 14.36 ± 0.44 | ||||
| Offset | 1.17 ± 0.61 | ||||
| Weight | 62.83 ± 8.06 | ||||
| Height | 171.63 ± 6.12 | ||||
| Sitting Height | 87.55 ± 3.70 | ||||
| Intensity type Mdn (IQR) | |||||
| Kinematic eTL | Dist m/min | 77.35 (14.61) | 83.09 (14.71) | 68.80 (15.49) | 80.10 (20.61) |
| % HIA Rel | 2.50 (7.44) | 3.17 (9.94) | 5.50 (4.25) | 0.00 (0.00) | |
| % HIA Abs | 1.00 (6.38) | 1.29 (8.94) | 2.48 (5.17) | 0.00 (0.00) | |
| Sprints Rel | 0.00 (0.00) | 0.00 (1.00) | 0.20 (0.50) | 0.00 (0.00) | |
| Sprints Abs | 0.00 (0.00) | 0.00 (1.00) | 0.00 (1.00) | 0.00 (0.00) | |
| Speed Max km/h | 16.62 (5.17) | 22.98 (4.81) | 21.82 (4.35) | 15.68 (2.54) | |
| Speed Avg km/h | 5.89 (0.94) | 5.97 (1.12) | 5.33 (1.20) | 5.59 (0.84) | |
| Acc + 2/min | 31.00 (5.33) | 31.44 (5.08) | 33.45 (3.37) | 31.58 (6.42) | |
| Dec + 2/min | 31.00 (5.34) | 31.50 (4.95) | 33.14 (4.05) | 31.32 (6.34) | |
| Neuromuscular eTL | PL/min | 1.17 (0.35) | 1.17 (0.30) | 1.08 (0.34) | 1.17 (0.38) |
| iTL | HR Max/min | 164.00 (26.00) | 186.00 (13.50) | 180.00 (17.50) | 164.00 (18.38) |
| HR Avg/min | 145.00 (29.00) | 157.00 (14.00) | 153.31 (20.04) | 145.00 (22.96) | |
| Variable | Q | ES | Comparison | Z | ρ |
|---|---|---|---|---|---|
| Dist m/min | 26.22 **** | 0.24 | 1 vs. 2 | 5.74 **** | −0.06 ns |
| 1 vs. 3 | 3.68 **** | −0.26 ns | |||
| 2 vs. 3 | 2.06 * | −0.19 ns | |||
| % HIA Rel | 43.07 **** | 0.39 | 1 vs. 2 | 0.91 ns | 0.32 * |
| 1 vs. 3 | 7.63 **** | 0.33 * | |||
| 2 vs. 3 | 6.72 **** | 0.01 ns | |||
| % HIA Abs | 41.89 **** | 0.38 | 1 vs. 2 | 0.41 ns | 0.32 * |
| 1 vs. 3 | 6.84 **** | 0.32 * | |||
| 2 vs. 3 | 7.26 **** | −0.02 ns | |||
| Sprints Rel | 28.35 **** | 0.26 | 1 vs. 2 | 1.49 ns | 0.09 ns |
| 1 vs. 3 | 4.40 **** | 0.10 ns | |||
| 2 vs. 3 | 5.89 **** | 0.06 ns | |||
| Sprints Abs | 28.77 **** | 0.27 | 1 vs. 2 | 0.40 ns | 0.16 ns |
| 1 vs. 3 | 5.15 **** | 0.06 ns | |||
| 2 vs. 3 | 5.54 **** | −0.08 ns | |||
| Speed Max (km/h) | 60.65 **** | 0.55 | 1 vs. 2 | 2.54 * | 0.25 ns |
| 1 vs. 3 | 11.00 **** | 0.15 ns | |||
| 2 vs. 3 | 8.46 **** | −0.07 ns | |||
| Speed Avg (km/h) | 24.04 **** | 0.22 | 1 vs. 2 | 4.06 **** | 0.15 ns |
| 1 vs. 3 | 5.24 **** | 0.11 ns | |||
| 2 vs. 3 | 1.18 ns | −0.03 ns | |||
| Acc +2/min | 5.05 ns | 0.05 | 1 vs. 2 | 1.55 ns | 0.30 * |
| 1 vs. 3 | 0.68 ns | 0.12 ns | |||
| 2 vs. 3 | 2.23 ns | −0.06 ns | |||
| Dec +2/min | 6.87 * | 0.06 | 1 vs. 2 | 1.76 ns | 0.32 * |
| 1 vs. 3 | 0.88 ns | 0.11 ns | |||
| 2 vs. 3 | 2.63 ns | −0.04 ns | |||
| PL/min | 6.76 * | 0.06 | 1 vs. 2 | 2.45 * | 0.05 ns |
| 1 vs. 3 | 0.34 ns | −0.28 * | |||
| 2 vs. 3 | 2.11 * | −0.24 ns | |||
| HR Max/min | 51.92 **** | 0.47 | 1 vs. 2 | 1.69 ns | 0.12 ns |
| 1 vs. 3 | 9.23 **** | −0.15 ns | |||
| 2 vs. 3 | 7.54 **** | −0.19 ns | |||
| HR Avg/min | 25.30 **** | 0.23 | 1 vs. 2 | 2.60 * | 0.08 ns |
| 1 vs. 3 | 5.68 **** | −0.17 ns | |||
| 2 vs. 3 | 3.08 *** | −0.25 ns |
Disclaimer/Publisher’s Note: The statements, opinions and data contained in all publications are solely those of the individual author(s) and contributor(s) and not of MDPI and/or the editor(s). MDPI and/or the editor(s) disclaim responsibility for any injury to people or property resulting from any ideas, methods, instructions or products referred to in the content. |
© 2024 by the authors. Licensee MDPI, Basel, Switzerland. This article is an open access article distributed under the terms and conditions of the Creative Commons Attribution (CC BY) license (https://creativecommons.org/licenses/by/4.0/).
Share and Cite
García-Ceberino, J.M.; Cantonero-Cobos, J.M.; Conde, C.; Fernández-Ozcorta, E.J. Variations in External and Internal Intensities and Impact of Maturational Age on Soccer Training Tasks. Sensors 2024, 24, 5656. https://doi.org/10.3390/s24175656
García-Ceberino JM, Cantonero-Cobos JM, Conde C, Fernández-Ozcorta EJ. Variations in External and Internal Intensities and Impact of Maturational Age on Soccer Training Tasks. Sensors. 2024; 24(17):5656. https://doi.org/10.3390/s24175656
Chicago/Turabian StyleGarcía-Ceberino, Juan Manuel, José Manuel Cantonero-Cobos, Cristina Conde, and Eduardo José Fernández-Ozcorta. 2024. "Variations in External and Internal Intensities and Impact of Maturational Age on Soccer Training Tasks" Sensors 24, no. 17: 5656. https://doi.org/10.3390/s24175656
APA StyleGarcía-Ceberino, J. M., Cantonero-Cobos, J. M., Conde, C., & Fernández-Ozcorta, E. J. (2024). Variations in External and Internal Intensities and Impact of Maturational Age on Soccer Training Tasks. Sensors, 24(17), 5656. https://doi.org/10.3390/s24175656

