A New Versatile Jig for the Calibration and Validation of Force Metrics with Instrumented Paddles in Sprint Kayaking
Abstract
1. Introduction
2. Materials and Methods
2.1. Outline
2.1.1. General Jig Frame and Weight Stack
2.1.2. Linear Motion Path with Display and Sensors for Measurement of Horizontal and Vertical Positions
2.1.3. Adjustable Support Devices for Shaft and Blade Support
2.1.4. Setup for Force Measurements during Application of Dynamic Forces and Stroke Simulation
2.1.5. The Data Acquisition System
2.1.6. Investigation of the Accuracy of Force Sensor Measures with the Jig
2.1.7. Investigation of Accuracy of Force Generated with Weight Stack Loading
2.1.8. Jig Operation during Calibration of an Instrumented Paddle
2.1.9. Jig Operation, Including Jig Sensor Force Recordings with the DAQ for Validation of Force Recordings during Static Conditions and the Orientation of Load Force That Is Orthogonal Relative to the Face of the Blade
2.1.10. Jig Operation for the Validation of Force Measurements during Static Conditions and the Orientation of Load Force That Is Not Orthogonal Relative to the Face of the Blade
2.1.11. Jig Operation for Validation of Force Measurements during Dynamic Conditions with Paddle Stroke Simulation
3. Results
3.1. Accuracy of Force Sensor Measures in the Jig
3.2. Accuracy of Forces with Weight Stack Loading
3.3. Validation of Instrumented Paddle Forces with the Orientation of Load Force That Is Orthogonal Relative to the Face of the Blade
3.4. Validation of Instrumented Paddle Forces with the Force Direction That Is Not Orthogonal Relative to the Face of the Blade
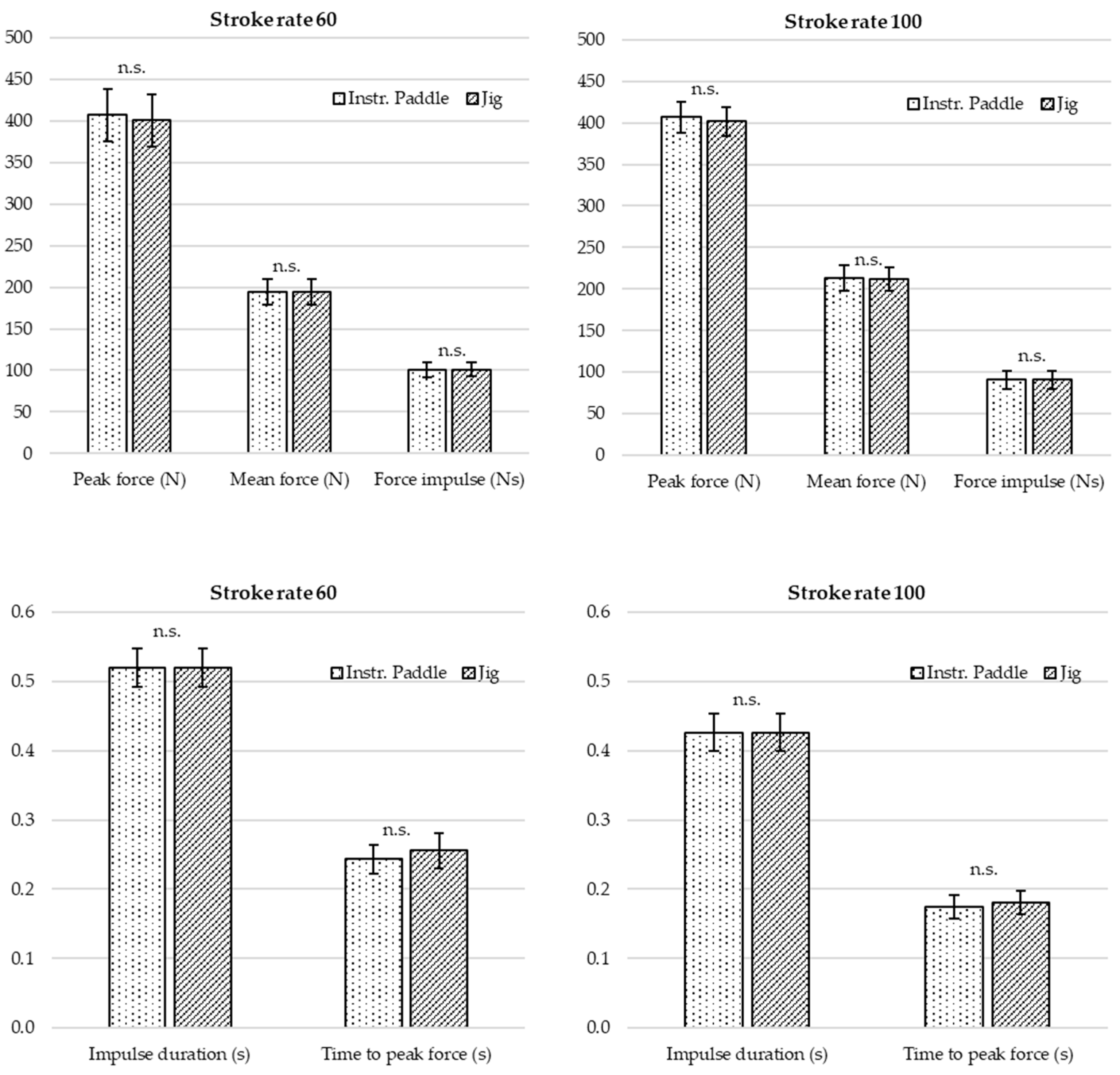
3.5. Validation of Instrumented Paddle Forces during Dynamic Force Application, i.e., Paddle-Stroke Simulation
4. Discussion
4.1. Investigation of the Accuracy of Force Sensor Measures with the Jig Sensors and the Accuracy of Force Generated with Weight Stack Loading
4.2. Validation of Instrumented Paddle Forces with the Orientation of Static Load Force That Is Orthogonal or Not Orthogonal Relative to the Face of the Blade
4.3. Validation of Force Measurements during Dynamic Conditions with Paddle Stroke Simulation
4.4. Design and Practical Applications
4.5. Limitations, Future Developments, and Future Studies
5. Conclusions
Author Contributions
Funding
Institutional Review Board Statement
Informed Consent Statement
Data Availability Statement
Acknowledgments
Conflicts of Interest
Appendix A






| Impulse Duration (S) | Peak Force (N) | Time to Peak Force (s) | Mean Force (N) | Force Impulse (Ns) | |||||||
|---|---|---|---|---|---|---|---|---|---|---|---|
| TCnr | Instr. Paddle | Jig | Instr. Paddle | Jig | Instr. Paddle | Jig | Instr. Paddle | Jig | Instr. Paddle | Jig | |
| 1 | 0.48 | 0.48 | 341.4 | 339.7 | 0.20 | 0.22 | 165.6 | 166.1 | 79.5 | 79.7 | |
| 2 | 0.51 | 0.51 | 431.9 | 431.9 | 0.24 | 0.24 | 209.3 | 206 | 106.7 | 105.1 | |
| 2 | 0.53 | 0.53 | 457.9 | 449.9 | 0.26 | 0.27 | 201.3 | 200.1 | 106.7 | 106.1 | |
| 60 | 4 | 0.53 | 0.53 | 393.7 | 386.0 | 0.26 | 0.28 | 178.2 | 178.6 | 94.4 | 94.7 |
| Strokes | 5 | 0.54 | 0.54 | 383.0 | 375.3 | 0.25 | 0.26 | 185.1 | 185.7 | 100.0 | 100.3 |
| per min | 6 | 0.49 | 0.49 | 413.6 | 410.9 | 0.22 | 0.22 | 204.9 | 205.7 | 100.4 | 100.8 |
| 7 | 0.57 | 0.57 | 394.4 | 386.0 | 0.27 | 0.30 | 182.3 | 182.8 | 103.9 | 104.2 | |
| 8 | 0.54 | 0.54 | 431.4 | 423.9 | 0.25 | 0.27 | 202.7 | 204.4 | 109.5 | 110.4 | |
| 8 | 0.52 | 0.52 | 416.5 | 410.2 | 0.24 | 0.25 | 206.5 | 205.2 | 107.4 | 106.7 | |
| 10 | 0.49 | 0.49 | 406.1 | 397.6 | 0.24 | 0.25 | 205.6 | 210.7 | 100.7 | 103.2 | |
| Mean | 0.52 | 0.52 | 406.99 | 401.1 | 0.24 | 0.26 | 194.2 | 194.5 | 100.9 | 101.1 | |
| SD | 0.03 | 0.03 | 31.90 | 31.5 | 0.02 | 0.03 | 15.1 | 15.0 | 8.8 | 8.6 | |
| 1 | 0.44 | 0.44 | 406.0 | 400.7 | 0.19 | 0.19 | 206.1 | 202.4 | 90.7 | 89.1 | |
| 2 | 0.40 | 0.40 | 409.8 | 404.7 | 0.15 | 0.17 | 218.5 | 216.4 | 87.4 | 86.6 | |
| 2 | 0.41 | 0.41 | 415.8 | 409.2 | 0.16 | 0.17 | 213.2 | 212.8 | 87.4 | 87.2 | |
| 100 | 4 | 0.43 | 0.43 | 418.7 | 412.5 | 0.18 | 0.18 | 205.8 | 206.8 | 88.5 | 88.9 |
| Strokes | 5 | 0.41 | 0.41 | 397.9 | 397.1 | 0.17 | 0.17 | 205.3 | 205.7 | 84.2 | 84.3 |
| per min | 6 | 0.43 | 0.43 | 389.7 | 386.0 | 0.18 | 0.19 | 198.5 | 199.6 | 85.4 | 85.8 |
| 7 | 0.44 | 0.44 | 435.0 | 427.3 | 0.16 | 0.16 | 230.0 | 226.7 | 101.2 | 99.7 | |
| 8 | 0.40 | 0.40 | 427.5 | 423.1 | 0.17 | 0.17 | 222.5 | 221.7 | 89.0 | 88.7 | |
| 8 | 0.41 | 0.41 | 374.4 | 372.7 | 0.17 | 0.18 | 187.7 | 189.4 | 77.0 | 77.7 | |
| 10 | 0.49 | 0.49 | 394.4 | 385.4 | 0.21 | 0.22 | 239.9 | 238.6 | 117.6 | 116.9 | |
| Mean | 0.43 | 0.43 | 406.9 | 401.9 | 0.17 | 0.18 | 212.8 | 212.0 | 90.8 | 90.5 | |
| SD | 0.03 | 0.03 | 18.4 | 17.2 | 0.02 | 0.02 | 15.4 | 14.4 | 11.2 | 10.8 | |
References
- Michael, J.S.; Smith, R.; Rooney, K.B. Determinants of kayak paddling performance. Sports Biomech. 2009, 8, 167–179. [Google Scholar] [CrossRef] [PubMed]
- Sturm, D.; Yousaf, K.; Brodin, L.-Å.; Halvorsen, K. Wireless kayak on-water ergometry-Part 1 Paddle blade force. Sports Technol. 2013, 6, 29–42. [Google Scholar] [CrossRef]
- Nates, F.M.; Colloud, F. A 6-component paddle sensor to estimate kayaker’s performance: Preliminary results. In Proceedings of the International Conference of Biomechanics in Sports, Poitiers, France, 29 June–3 July 2015. [Google Scholar]
- Mononen, H.V.; Kolehmainen, E.; Salonen, M.; Viitasalo, J.T. Paddle force characteristics during 200m Kayaking. In International Congress on Applied Research in Sports; Viitasalo, J.T., Kujala, U., Eds.; The Finnish Society for Research in Sport and Physical Education: Helsinki, Finland, 1994; pp. 151–155. [Google Scholar]
- Gomes, B.; Viriato, N.; Sanders, R.; Conceição, P.; Vilas-Boas, J.P.; Vaz, M. Analysis of the on-water paddling force profile of an elite kayaker. In Proceedings of the 29 International Conference on Biomechanics in Sports, Porto, Portugal, 27 June–1 July 2011. [Google Scholar]
- Bonaiuto, V.; Gatta, G.; Romagnoli, C.; Boatto, P.; Lanotte, N.; Annino, G. A New Measurement System for Performance Analysis in Flatwater Sprint Kayaking. Proceedings 2020, 49, 39. [Google Scholar] [CrossRef]
- Aitken, D.A.; Neal, R.J. An On-Water Analysis System for Quantifying Stroke Force Characteristics During Kayak Events. Int. J. Sport Biomech. 1992, 8, 165. [Google Scholar] [CrossRef]
- Kong, P.W.; Tay, C.S.; Pan, J.W. Application of Instrumented Paddles in Measuring On-Water Kinetics of Front and Back Paddlers in K2 Sprint Kayaking Crews of Various Ability Levels. Sensors 2020, 20, 6317. [Google Scholar] [CrossRef] [PubMed]
- Macdermid, P.W.; Fink, P.W. The Validation of a Paddle Power Meter for Slalom Kayaking. Sports Med. Int. Open 2017, 1, E50–E57. [Google Scholar] [CrossRef] [PubMed]
- Begon, M.; Colloud, F.; Lacouture, P. Measurement of contact forces on a kayak ergometer with a sliding footrest–seat complex. Sports Eng. 2009, 11, 67–73. [Google Scholar] [CrossRef]
- Bonito, P.; Sousa, M.; Ferreira, F.J.; Justo, J.F.; Gomes, B.B. Magnitude and Shape of the Forces Applied on the Foot Rest and Paddle by Elite Kayakers. Sensors 2022, 22, 1612. [Google Scholar] [CrossRef] [PubMed]
- Prétot, C.; Carmigniani, R.; Hasbroucq, L.; Labbé, R.; Boucher, J.P.; Clanet, C. On the physics of kayaking. Appl. Sci. 2022, 12, 8925. [Google Scholar] [CrossRef]
- Tanner, R.K.; Gore, C.J. Quality assurance in Australian exercise physiology laboratories in quest of excellence. Int. J. Sports Physiol. Perform. 2006, 1, 58–60. [Google Scholar] [CrossRef] [PubMed]
- Ross, H.; Sanders, J.D.B. Evolution of technique in flatwater kayaking. In Science & Practice of Canoe/Kayak High-Performance Training, Israel; Issurin, V., Ed.; Elite Sport Department of Israel at the Wingate Institute for Physical Education and Sport: Netanya, Israel, 1998; pp. 67–81. [Google Scholar]
- Laaraibi, A.A.; Jodin, G.; Depontailler, C.; Bideau, N.; Razan, F. Design and Characterization of Piezoresistive Sensors for Non-Planar Surfaces and Pressure Mapping: A Case Study on Kayak Paddle. Sensors 2023, 24, 222. [Google Scholar] [CrossRef] [PubMed]
- Gomes, B.B.; Ramos, N.V.; Conceicao, F.A.; Sanders, R.H.; Vaz, M.A.; Vilas-Boas, J.P. Paddling Force Profiles at Different Stroke Rates in Elite Sprint Kayaking. J. Appl. Biomech. 2015, 31, 258–263. [Google Scholar] [CrossRef] [PubMed]
- Nilsson, J.E.; Rosdahl, H.G. Contribution of Leg-Muscle Forces to Paddle Force and Kayak Speed During Maximal-Effort Flat-Water Paddling. Int. J. Sports Physiol. Perform. 2016, 11, 22–27. [Google Scholar] [CrossRef] [PubMed]
- Lopponen, A.; Vanttinen, T.; Haverinen, M.; Linnamo, V. The Effect of Paddle Stroke Variables Measured by Trainesense SmartPaddle((R)) on the Velocity of the Kayak. Sensors 2022, 22, 938. [Google Scholar] [CrossRef] [PubMed]
- Gomes, B. Biomechanical Determinants of Kayak Paddling Performance in Single-Seated and Crew Boats. Doctoral Thesis, University of Porto, Porto, Portugal, 2015. [Google Scholar]






| Mass (kg) | Force (N) | Jig Sensor Top Hand (N) | Diff. (%) | Jig Sensor Bottom Hand (N) | Diff. (%) | Jig Sensor Blade (N) | Diff. (%) | |
|---|---|---|---|---|---|---|---|---|
| A | 0.00 | 0.0 | 1.1 | 1.0 | 1.1 | |||
| 10.02 | 98.3 | 96.9 | −1.43 | 99.3 | 1.10 | 98.5 | 0.29 | |
| 20.06 | 196.7 | 194.9 | −0.90 | 198.9 | 1.09 | 197.3 | 0.28 | |
| 30.11 | 295.2 | 294.1 | −0.39 | 297.3 | 0.71 | 296.7 | 0.51 | |
| 40.10 | 393.2 | 391.7 | −0.38 | 396.1 | 0.73 | 394.7 | 0.39 | |
| 50.19 | 492.1 | 490.1 | −0.41 | 495.3 | 0.65 | 494.1 | 0.39 | |
| 60.22 | 590.6 | 589.3 | −0.20 | 594.8 | 0.71 | 593.3 | 0.46 | |
| B | 60.22 | 590.6 | 588.5 | −0.34 | 594.7 | 0.71 | 590.5 | −0.01 |
| 50.19 | 492.1 | 490.9 | −0.24 | 496.0 | 0.78 | 495.4 | 0.65 | |
| 40.10 | 393.2 | 391.9 | −0.33 | 396.7 | 0.89 | 395.0 | 0.46 | |
| 30.11 | 295.2 | 294.6 | −0.20 | 298.4 | 1.08 | 297.5 | 0.76 | |
| 20.06 | 196.7 | 196.2 | −0.26 | 199.6 | 1.46 | 197.9 | 0.57 | |
| 10.02 | 98.3 | 98.0 | −0.28 | 100.0 | 1.76 | 98.4 | 0.17 | |
| 0.00 | 0.0 | 1.1 | 1.5 | 1.1 |
| Weight Stack | Jig Sensor Bottom Hand (N) | Diff. (%) | |
|---|---|---|---|
| Mass (Kg) | Force (N) | ||
| 10.07 | 98.8 | 99.9 | 1.16 |
| 20.17 | 197.8 | 199.3 | 0.76 |
| 30.17 | 295.9 | 295.8 | −0.02 |
| 40.22 | 394.4 | 393.0 | −0.36 |
| 50.22 | 492.5 | 489.7 | −0.57 |
| 60.22 | 590.6 | 590.7 | 0.02 |
| Load | Top Hand Force (N) | Bottom Hand Force (N) | Blade Force (N) | |||||||||||
|---|---|---|---|---|---|---|---|---|---|---|---|---|---|---|
| Instr. | Diff. | Instr. | Diff. | Instr. Paddle | Diff. | |||||||||
| (kg) | (N) | Jig | Paddle | (N) | (%) | Jig | Paddle | (N) | (%) | Jig | (BHF-THF) | (N) | (%) | |
| Left side | 10 | 98.3 | 35.8 | 36.2 | 0.5 | 1.3 | 97.8 | 100.2 | 2.3 | 2.4 | 63.6 | 63.9 | 0.3 | 0.5 |
| 20 | 196.7 | 69.0 | 69.8 | 0.8 | 1.1 | 187.8 | 191.8 | 4.0 | 2.1 | 121.2 | 122.0 | 0.9 | 0.7 | |
| 30 | 295.2 | 108.1 | 109.1 | 1.0 | 0.9 | 293.5 | 300.7 | 7.1 | 2.4 | 188.8 | 191.6 | 2.8 | 1.5 | |
| 40 | 393.2 | 142.1 | 143.6 | 1.4 | 1.0 | 385.6 | 397.2 | 11.6 | 3.0 | 247.1 | 253.6 | 6.5 | 2.6 | |
| 50 | 492.1 | 179.7 | 181.7 | 2.0 | 1.1 | 488.3 | 498.1 | 9.8 | 2.0 | 312.5 | 316.4 | 3.9 | 1.2 | |
| 60 | 590.6 | 215.0 | 215.7 | 0.8 | 0.4 | 580.9 | 584.4 | 3.5 | 0.6 | 369.4 | 368.7 | −0.8 | −0.2 | |
| Right side | 10 | 98.3 | 36.9 | 36.6 | −0.2 | −0.6 | 99.3 | 100.4 | 1.1 | 1.1 | 62.9 | 63.8 | 0.9 | 1.4 |
| 20 | 196.7 | 73.1 | 72.9 | −0.2 | −0.2 | 196.4 | 201.2 | 4.8 | 2.4 | 125.2 | 128.3 | 3.1 | 2.5 | |
| 30 | 295.2 | 107.8 | 108.5 | 0.6 | 0.6 | 292.4 | 296.7 | 4.3 | 1.5 | 187.4 | 188.3 | 0.9 | 0.5 | |
| 40 | 393.2 | 142.9 | 143.5 | 0.6 | 0.4 | 386.0 | 392.8 | 6.8 | 1.8 | 246.0 | 249.3 | 3.3 | 1.3 | |
| 50 | 492.1 | 177.8 | 178.3 | 0.5 | 0.3 | 481.2 | 475.2 | −6.1 | −1.3 | 307.5 | 296.9 | −10.6 | −3.4 | |
| 60 | 590.6 | 216.8 | 216.2 | −0.6 | −0.3 | 580.8 | 582.8 | 1.9 | 0.3 | 367.6 | 366.6 | −1.1 | −0.3 | |
| Load | Force dir. +20° | Force dir. +10° | Orthogonal dir. | Force dir. −10° | Force dir. −20° | ||||||||||||||||
|---|---|---|---|---|---|---|---|---|---|---|---|---|---|---|---|---|---|---|---|---|---|
| Jig | Paddle | Diff. | Jig | Paddle | Diff. | Jig | Paddle | Diff. | Jig | Paddle | Diff. | Jig | Paddle | Diff. | |||||||
| (kg) | (N) | (N) | (%) | (N) | (N) | (%) | (N) | (N) | (%) | (N) | (N) | (%) | (N) | (N) | (%) | ||||||
| 10 | 98.1 | 99.5 | 1.5 | 99.3 | 102.0 | 2.7 | 98.1 | 98.3 | 0.2 | 97.6 | 98.8 | 1.2 | 98.3 | 100.0 | 1.7 | ||||||
| 20 | Bottom | 198.5 | 204.2 | 2.9 | 196.9 | 197.1 | 0.1 | 197.8 | 199.1 | 0.6 | 188.3 | 191.6 | 1.7 | 188.3 | 191.4 | 1.6 | |||||
| 30 | Hand | 293.3 | 298.7 | 1.9 | 293.4 | 294.3 | 0.3 | 294.4 | 299.1 | 1.6 | 294.7 | 303.2 | 2.9 | 295.1 | 299.9 | 1.6 | |||||
| 40 | Left | 386.6 | 394.8 | 2.1 | 384.4 | 381.2 | −0.8 | 385.4 | 391.8 | 1.7 | 382.7 | 394.8 | 3.2 | 383.1 | 389.4 | 1.6 | |||||
| 50 | side | 486.9 | 497.8 | 2.2 | 486.9 | 490.9 | 0.8 | 486.6 | 497.5 | 2.2 | 484.1 | 500.2 | 3.3 | 486.5 | 496.4 | 2.1 | |||||
| 60 | 586.3 | 600.2 | 2.4 | 585.2 | 591.5 | 1.1 | 585.9 | 599.2 | 2.3 | 583.3 | 601.9 | 3.2 | 583.6 | 596.3 | 2.2 | ||||||
| 10 | 38.7 | 39.1 | 1.1 | 39.4 | 39.3 | −0.1 | 38.9 | 38.5 | −1.0 | 37.8 | 38.3 | 1.3 | 38.6 | 39.0 | 1.0 | ||||||
| 20 | Top | 79.2 | 79.1 | −0.1 | 77.9 | 77.7 | −0.2 | 78.1 | 77.4 | −0.9 | 73.2 | 73.9 | 0.9 | 73.7 | 74.4 | 1.0 | |||||
| 30 | Hand | 116.6 | 116.7 | 0.1 | 115.7 | 115.6 | −0.1 | 116.4 | 115.6 | −0.7 | 115.0 | 115.8 | 0.6 | 115.3 | 116.3 | 0.8 | |||||
| 40 | Left | 153.3 | 153.8 | 0.4 | 150.8 | 151.1 | 0.2 | 152.1 | 151.4 | −0.4 | 150.0 | 150.8 | 0.5 | 149.6 | 150.8 | 0.8 | |||||
| 50 | side | 193.4 | 193.9 | 0.3 | 191.8 | 192.1 | 0.2 | 191.7 | 191.5 | −0.1 | 189.9 | 190.9 | 0.5 | 189.3 | 191.5 | 1.2 | |||||
| 60 | 233.0 | 233.9 | 0.4 | 231.0 | 231.3 | 0.1 | 230.7 | 230.9 | 0.1 | 228.4 | 230.0 | 0.7 | 226.9 | 230.2 | 1.4 | ||||||
| 10 | 97.5 | 101.5 | 4.1 | 98.0 | 98.0 | 0.0 | 99.2 | 96.4 | -2.8 | 98.9 | 100.4 | 1.5 | 99.4 | 100.8 | 1.4 | ||||||
| 20 | Bottom | 197.2 | 205.0 | 3.9 | 197.4 | 200.6 | 1.6 | 188.9 | 188.7 | -0.1 | 197.6 | 202.9 | 2.7 | 197.1 | 202.7 | 2.9 | |||||
| 30 | Hand | 293.5 | 304.3 | 3.7 | 293.4 | 299.7 | 2.1 | 289.3 | 292.5 | 1.1 | 293.0 | 300.1 | 2.4 | 289.2 | 298.2 | 3.1 | |||||
| 40 | Right | 382.6 | 397.0 | 3.8 | 383.3 | 392.8 | 2.5 | 385.0 | 391.8 | 1.8 | 386.4 | 397.3 | 2.8 | 386.3 | 399.2 | 3.3 | |||||
| 50 | side | 484.9 | 503.5 | 3.8 | 484.7 | 497.6 | 2.7 | 485.4 | 497.4 | 2.5 | 486.6 | 501.5 | 3.1 | 486.6 | 505.7 | 3.9 | |||||
| 60 | 584.8 | 607.9 | 4.0 | 584.4 | 600.1 | 2.7 | 584.7 | 601.6 | 2.9 | 586.4 | 603.9 | 3.0 | 586.6 | 610.0 | 4.0 | ||||||
| 10 | 39.5 | 40.0 | 1.4 | 39.6 | 38.7 | −2.2 | 39.9 | 38.8 | −2.9 | 39.6 | 39.4 | −0.6 | 38.8 | 38.7 | −0.3 | ||||||
| 20 | Top | 79.0 | 79.8 | 1.0 | 79.0 | 78.1 | −1.1 | 75.4 | 73.9 | −2.1 | 78.2 | 77.7 | −0.7 | 77.7 | 76.9 | −1.0 | |||||
| 30 | Hand | 116.3 | 117.9 | 1.4 | 116.8 | 116.0 | −0.7 | 114.7 | 113.1 | −1.4 | 114.9 | 114.5 | −0.4 | 113.0 | 112.7 | −0.3 | |||||
| 40 | Right | 150.8 | 153.4 | 1.7 | 152.3 | 151.7 | −0.4 | 152.2 | 150.7 | −1.0 | 151.6 | 151.2 | −0.2 | 150.9 | 150.7 | −0.2 | |||||
| 50 | side | 190.8 | 194.3 | 1.8 | 191.9 | 191.9 | 0.0 | 191.7 | 190.5 | −0.6 | 190.7 | 190.7 | 0.0 | 189.4 | 190.5 | 0.6 | |||||
| 60 | 230.3 | 234.6 | 1.9 | 230.8 | 231.2 | 0.2 | 231.3 | 230.0 | −0.6 | 229.5 | 229.7 | 0.1 | 228.2 | 229.8 | 0.7 | ||||||
Disclaimer/Publisher’s Note: The statements, opinions and data contained in all publications are solely those of the individual author(s) and contributor(s) and not of MDPI and/or the editor(s). MDPI and/or the editor(s) disclaim responsibility for any injury to people or property resulting from any ideas, methods, instructions or products referred to in the content. |
© 2024 by the authors. Licensee MDPI, Basel, Switzerland. This article is an open access article distributed under the terms and conditions of the Creative Commons Attribution (CC BY) license (https://creativecommons.org/licenses/by/4.0/).
Share and Cite
Rosdahl, H.; Aitken, D.; Osborne, M.; Willén, J.; Nilsson, J. A New Versatile Jig for the Calibration and Validation of Force Metrics with Instrumented Paddles in Sprint Kayaking. Sensors 2024, 24, 4870. https://doi.org/10.3390/s24154870
Rosdahl H, Aitken D, Osborne M, Willén J, Nilsson J. A New Versatile Jig for the Calibration and Validation of Force Metrics with Instrumented Paddles in Sprint Kayaking. Sensors. 2024; 24(15):4870. https://doi.org/10.3390/s24154870
Chicago/Turabian StyleRosdahl, Hans, David Aitken, Mark Osborne, Jonas Willén, and Johnny Nilsson. 2024. "A New Versatile Jig for the Calibration and Validation of Force Metrics with Instrumented Paddles in Sprint Kayaking" Sensors 24, no. 15: 4870. https://doi.org/10.3390/s24154870
APA StyleRosdahl, H., Aitken, D., Osborne, M., Willén, J., & Nilsson, J. (2024). A New Versatile Jig for the Calibration and Validation of Force Metrics with Instrumented Paddles in Sprint Kayaking. Sensors, 24(15), 4870. https://doi.org/10.3390/s24154870

