A New Method for Detecting Dehydration of the Human Body Using Non-Contact Millimeter Wave Radiometry
Abstract
1. Introduction
2. Materials and Methods
2.1. Participant Selection and Description
2.2. Experimental Setup and Selection of Measurement Locations
2.3. Data Collection
2.4. Data Cleaning and Data Preparation
2.5. Exploratory Data Analysis
2.6. Application and Recommendation
3. Results
3.1. Male Sample Results
3.1.1. Male Participants Dehydrated Due to Less Thirst Sensation
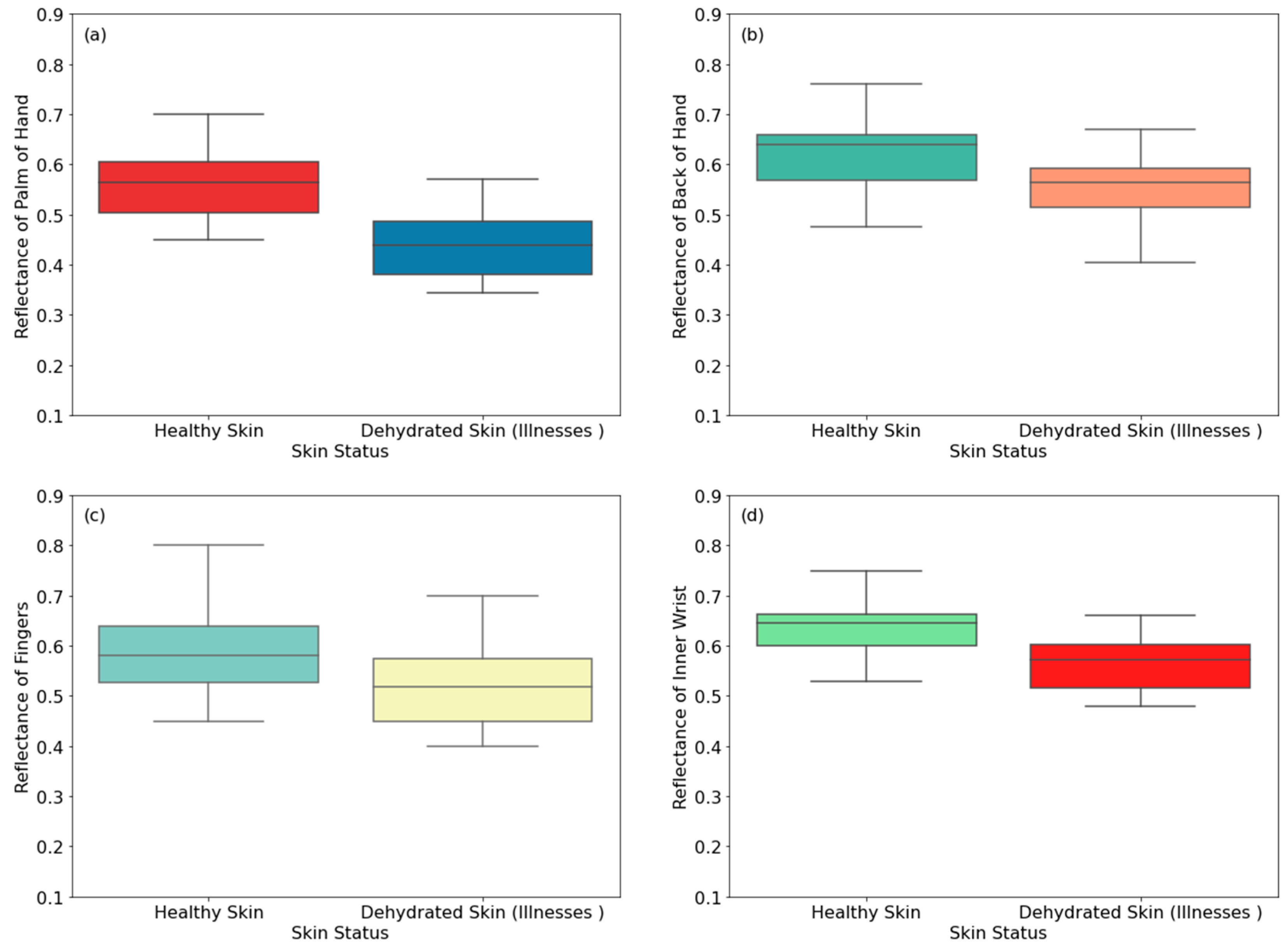
3.1.2. Male Participants Dehydrated Due to Illnesses (Vomiting and Diarrhea)
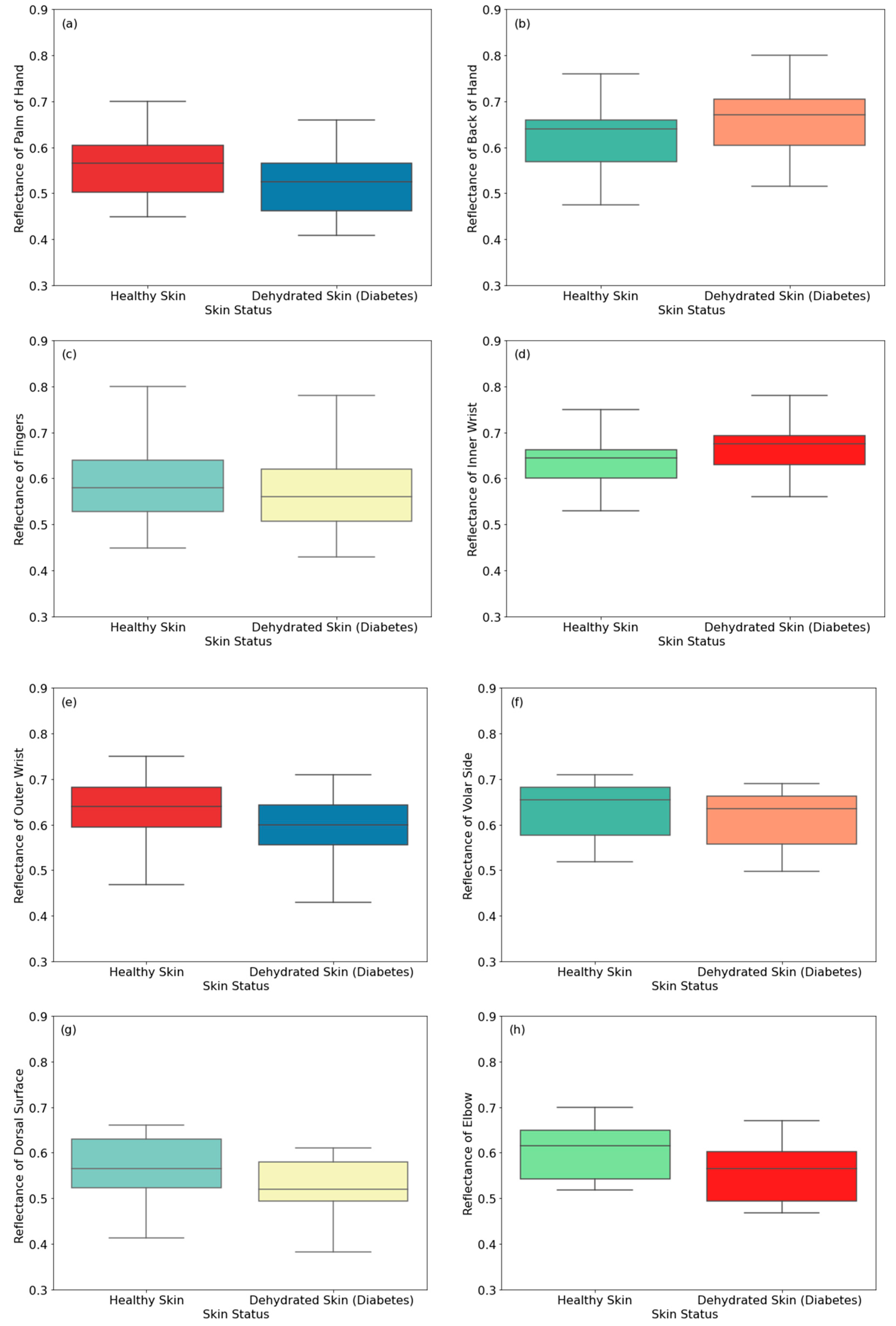
3.1.3. Male Participants Dehydrated Due to Diabetes
3.2. Female Sample Results
3.2.1. Female Participants Dehydrated Due to Less Thirst Sensation
3.2.2. Female Participants Dehydrated Due to Illnesses (Vomiting and Diarrhea)
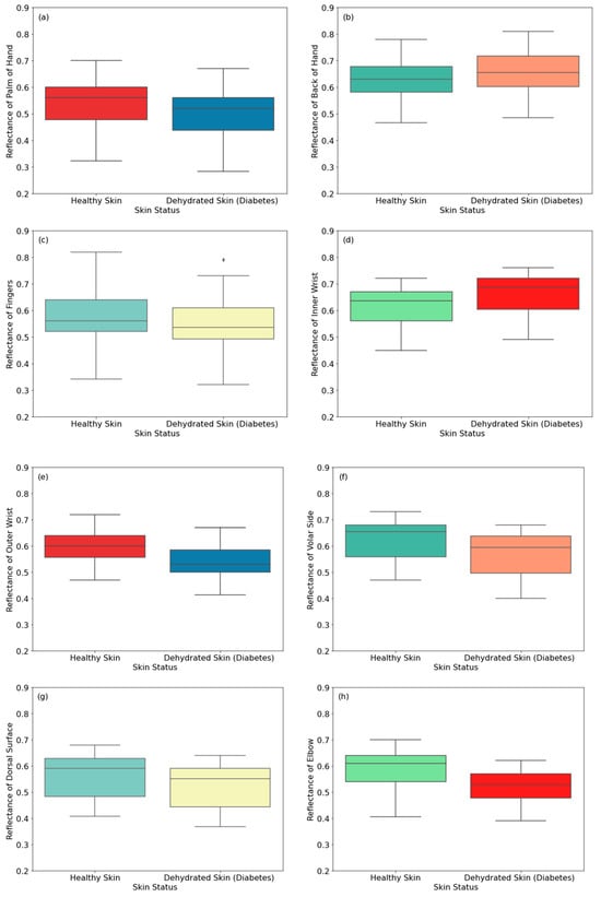
3.2.3. Female Participants Dehydrated Due to Diabetes
4. Discussion
5. Conclusions
Funding
Institutional Review Board Statement
Informed Consent Statement
Data Availability Statement
Acknowledgments
Conflicts of Interest
References
- Aging UK. Later Life in the United Kingdom. Available online: https://www.ageuk.org.uk/globalassets/age-uk/documents/reports-and-publications/later_life_uk_factsheet.pdf (accessed on 28 May 2024).
- Kubala, J.; Sissons, C. What is the Average Percentage of Water in the Human Body? Available online: https://www.medicalnewstoday.com/articles/what-percentage-of-the-human-body-is-water#why-water-is-important (accessed on 28 May 2024).
- Stookey, D.J. Drinking Water and Weight Management. Nutr. Today 2010, 45, S7–S12. [Google Scholar] [CrossRef]
- Pan, A.; Malik, V.S.; Hao, T.; Willett, W.C.; Mozaffarian, D.; Hu, F.B. Changes in water and beverage intake and long-term weight changes: Results from three prospective cohort studies. Int. J. Obes. 2013, 37, 1378–1385. [Google Scholar] [CrossRef] [PubMed]
- García, A.I.L.; Moráis-Moreno, C.; Samaniego-Vaesken, M.d.L.; Puga, A.M.; Varela-Moreiras, G.; Partearroyo, T. Association between Hydration Status and Body Composition in Healthy Adolescents from Spain. Nutrients 2019, 11, 2692. [Google Scholar] [CrossRef] [PubMed]
- Muckelbauer, R.; Sarganas, G.; Grüneis, A.; Müller-Nordhorn, J. Association between water consumption and body weight outcomes: A systematic review. Am. J. Clin. Nutr. 2013, 98, 282–299. [Google Scholar] [CrossRef] [PubMed]
- Bar-David, Y.; Urkin, J.; Kozminsky, E. The effect of voluntary dehydration on cognitive functions of elementary school children. Acta Paediatr. 2005, 94, 1667–1673. [Google Scholar] [CrossRef] [PubMed]
- Popkin, B.M.; D’Anci, K.E.; Rosenberg, I.H. Water, hydration, and health. Nutr. Rev. 2010, 68, 439–458. [Google Scholar] [CrossRef] [PubMed]
- Shaheen, N.A.; Alqahtani, A.A.; Assiri, H.; Alkhodair, R.; Hussein, M.A. Public knowledge of dehydration and fluid intake practices: Variation by participants’ characteristics. BMC Public Health 2018, 18, 1346. [Google Scholar] [CrossRef] [PubMed]
- Nagae, M.; Umegaki, H.; Komiya, H.; Fujisawa, C.; Watanabe, K.; Yamada, Y.; Miyahara, S. Dehydration and hospital-associated disability in acute hospitalized older adults. Eur. Geriatr. Med. 2022, 14, 113–121. [Google Scholar] [CrossRef] [PubMed]
- Atciyurt, K.; Heybeli, C.; Smith, L.; Veronese, N.; Soysal, P. The prevalence, risk factors and clinical implications of dehydration in older patients: A cross-sectional study. Acta Clin. Belg. 2024, 79, 12–18. [Google Scholar] [CrossRef] [PubMed]
- Falszewska, A.; Szajewska, H.; Dziechciarz, P. Diagnostic accuracy of three clinical dehydration scales: A systematic review. Arch. Dis. Child. 2018, 103, 383–388. [Google Scholar] [CrossRef]
- Collins, M.; Claros, E. Recognizing the face of dehydration. Nursing2021 2011, 41, 26–31. [Google Scholar] [CrossRef]
- Watso, J.C.; Farquhar, W.B. Hydration Status and Cardiovascular Function. Nutrients 2019, 11, 1866. [Google Scholar] [CrossRef] [PubMed]
- Hurlow, J.; Bliss, D.Z. Dry Skin in Older Adults. Geriatr. Nurs. 2011, 32, 257–262. [Google Scholar] [CrossRef]
- Honari, G.; Maibach, H. Skin Structure and Function. In Applied Dermatotoxicology; Elsevier: Amsterdam, The Netherlands, 2014; pp. 1–10. [Google Scholar] [CrossRef]
- Owda, A.Y.; Salmon, N.; Harmer, S.W.; Shylo, S.; Bowring, N.J.; Rezgui, N.D.; Shah, M. Millimeter-wave emissivity as a metric for the non-contact diagnosis of human skin conditions. Bioelectromagnetics 2017, 38, 559–569. [Google Scholar] [CrossRef] [PubMed]
- Saranya, K.; Vijayashaarathi, S.; Sasirekha, N.; Rishika, M.; Rajeswari, P.S.R. Skin Disease Detection Using CNN (Convolutional Neural Network). In Proceedings of the 2024 4th International Conference on Data Engineering and Communication Systems (ICDECS), Bangalore, India, 22–23 March 2024; pp. 1–6. [Google Scholar]
- Eda, N.; Nakamura, N.; Inai, Y.; Sun, Z.; Sone, R.; Watanabe, K.; Akama, T. Changes in the skin characteristics associated with dehydration and rehydration. Eur. J. Sport Sci. 2022, 23, 552–560. [Google Scholar] [CrossRef]
- Rodrigues, L.M.; Palma, L.; Marques, L.T.; Varela, J.B. Dietary water affects human skin hydration and biomechanics. Clin. Cosmet. Investig. Dermatol. 2015, 8, 413–421. [Google Scholar] [CrossRef]
- Hooper, L.; Bunn, D.K.; Abdelhamid, A.; Gillings, R.; Jennings, A.; Maas, K.; Millar, S.; Twomlow, E.; Hunter, P.R.; Shepstone, L.; et al. Water-loss (intracellular) dehydration assessed using urinary tests: How well do they work? Diagnostic accuracy in older people. Am. J. Clin. Nutr. 2016, 104, 121–131. [Google Scholar] [CrossRef]
- Hew-Butler, T.D.; Eskin, C.; Bickham, J.; Rusnak, M.; VanderMeulen, M. Dehydration is how you define it: Comparison of 318 blood and urine athlete spot checks. BMJ Open Sport Exerc. Med. 2018, 4, e000297. [Google Scholar] [CrossRef] [PubMed]
- Crosignani, A.; Spina, S.; Marrazzo, F.; Cimbanassi, S.; Malbrain, M.L.N.G.; Van Regenemortel, N.; Fumagalli, R.; Langer, T. Intravenous fluid therapy in patients with severe acute pancreatitis admitted to the intensive care unit: A narrative review. Ann. Intensiv. Care 2022, 12, 98. [Google Scholar] [CrossRef] [PubMed]
- Gawronska, J.; Koyanagi, A.; Sánchez, G.F.L.; Veronese, N.; Ilie, P.C.; Carrie, A.; Smith, L.; Soysal, P. The Prevalence and Indications of Intravenous Rehydration Therapy in Hospital Settings: A Systematic Review. Epidemiologia 2022, 4, 18–32. [Google Scholar] [CrossRef]
- Gidado, I.M.; Qassem, M.; Triantis, I.F.; Kyriacou, P.A. Review of Advances in the Measurement of Skin Hydration Based on Sensing of Optical and Electrical Tissue Properties. Sensors 2022, 22, 7151. [Google Scholar] [CrossRef]
- Ruini, C.; Kendziora, B.; Ergun, E.Z.; Sattler, E.; Gust, C.; French, L.E.; Bağcı, I.S.; Hartmann, D. In vivo examination of healthy human skin after short-time treatment with moisturizers using confocal Raman spectroscopy and optical coherence tomography: Preliminary observations. Ski. Res. Technol. 2021, 28, 119–132. [Google Scholar] [CrossRef]
- Qassem, M.; Kyriacou, P. Review of Modern Techniques for the Assessment of Skin Hydration. Cosmetics 2019, 6, 19. [Google Scholar] [CrossRef]
- Mamouei, M.; Chatterjee, S.; Razban, M.; Qassem, M.; Kyriacou, P.A. Design and Analysis of a Continuous and Non-Invasive Multi-Wavelength Optical Sensor for Measurement of Dermal Water Content. Sensors 2021, 21, 2162. [Google Scholar] [CrossRef] [PubMed]
- Flament, F.; Galliano, A.; Abric, A.; Matoschitz, C.; Bammer, M.; Kampus, M.; Kanda-Diwidi, D.; Chibout, S.; Cassier, M.; Delaunay, C. Skin moisture assessment using Hydration Sensor Patches coupled with smartphones via Near Field Communication (NFC). A pilot study with the first generation of patches that allow self-recordings of skin hydration. Ski. Res. Technol. 2021, 27, 959–965. [Google Scholar] [CrossRef] [PubMed]
- Matsukawa, R.; Miyamoto, A.; Yokota, T.; Someya, T. Skin Impedance Measurements with Nanomesh Electrodes for Monitoring Skin Hydration. Adv. Health Mater. 2020, 9, e2001322. [Google Scholar] [CrossRef] [PubMed]
- Westermann, T.V.A.; Viana, V.R.; Junior, C.B.; da Silva, C.B.D.; Carvalho, E.L.S.; Pupe, C.G. Measurement of skin hydration with a portable device (SkinUp® Beauty Device) and comparison with the Corneometer®. Ski. Res. Technol. 2020, 26, 571–576. [Google Scholar] [CrossRef] [PubMed]
- Smulders, P. Analysis of human skin tissue by millimeter-wave reflectometry. Ski. Res. Technol. 2012, 19, e209–e216. [Google Scholar] [CrossRef] [PubMed]
- Owda, A.Y.; Salmon, N.; Casson, A.J.; Owda, M. The Reflectance of Human Skin in the Millimeter-Wave Band. Sensors 2020, 20, 1480. [Google Scholar] [CrossRef]
- Gao, Y.; Zoughi, R. Millimeter Wave Reflectometry and Imaging for Noninvasive Diagnosis of Skin Burn Injuries. IEEE Trans. Instrum. Meas. 2016, 66, 77–84. [Google Scholar] [CrossRef]
- Alekseev, S.; Ziskin, M. Human skin permittivity determined by millimeter wave reflection measurements. Bioelectromagnetics 2007, 28, 331–339. [Google Scholar] [CrossRef] [PubMed]
- Alabaster, C. Permittivity of human skin in millimetre wave band. Electron. Lett. 2003, 39, 1521–1522. [Google Scholar] [CrossRef]
- Zhadobov, M.; Chahat, N.; Sauleau, R.; Le Quement, C.; Le Drean, Y. Millimeter-wave interactions with the human body: State of knowledge and recent advances. Int. J. Microw. Wirel. Technol. 2011, 3, 237–247. [Google Scholar] [CrossRef]
- Lubecke, O.B.; Nikawa, Y.; Snyder, W.; Lin, J.; Mizuno, K. Novel microwave and millimeter-wave biomedical applications. In Proceedings of the 4th International Conference, In Telecommunications in Modern Satellite, Cable and Broadcasting Services, TELSIKS’99 (Cat. No.99EX365), Nis, Yugoslavia, 13–15 October 1999; pp. 186–193. [Google Scholar] [CrossRef]
- Wallace, V.; Fitzgerald, A.; Shankar, S.; Flanagan, N.; Pye, R.; Cluff, J.; Arnone, D. Terahertz pulsed imaging of basal cell carcinoma ex vivo and in vivo. Br. J. Dermatol. 2004, 151, 424–432. [Google Scholar] [CrossRef]
- Owda, A.Y.; Owda, M. Homogenous and multilayer electromagnetics models for estimating skin reflectance. Indones. J. Electr. Eng. Comput. Sci. 2024, 33, 82–92. [Google Scholar] [CrossRef]
- Harmer, S.W.; Shylo, S.; Shah, M.; Bowring, N.J.; Owda, A.Y. On the feasibility of assessing burn wound healing without removal of dressings using radiometric millimetre-wave sensing. Prog. Electromagn. Res. M 2016, 45, 173–183. [Google Scholar] [CrossRef]
- Owda, A.Y. Passive Millimeter-Wave Imaging for Burns Diagnostics under Dressing Materials. Sensors 2022, 22, 2428. [Google Scholar] [CrossRef]
- Salmon, N.A. Outdoor Passive Millimeter-Wave Imaging: Phenomenology and Scene Simulation. IEEE Trans. Antennas Propag. 2018, 66, 897–908. [Google Scholar] [CrossRef]
- Páez, A.; Boisjoly, G. Exploratory Data Analysis. In Discrete Choice Analysis with R; Springer: Cham, Switzerland, 2022; pp. 25–64. [Google Scholar] [CrossRef]
- Appleby, R.; Anderton, R.N. Millimeter-Wave and Submillimeter-Wave Imaging for Security and Surveillance. Proc. IEEE 2007, 95, 1683–1690. [Google Scholar] [CrossRef]
- Załęcki, P.; Rogowska, K.; Wąs, P.; Łuczak, K.; Wysocka, M.; Nowicka, D. Impact of Lifestyle on Differences in Skin Hydration of Selected Body Areas in Young Women. Cosmetics 2024, 11, 13. [Google Scholar] [CrossRef]
- Bossingham, M.J.; Carnell, N.S.; Campbell, W.W. Water balance, hydration status, and fat-free mass hydration in younger and older adults. Am. J. Clin. Nutr. 2005, 81, 1342–1350. [Google Scholar] [CrossRef]
- Li, S.; Xiao, X.; Zhang, X. Hydration Status in Older Adults: Current Knowledge and Future Challenges. Nutrients 2023, 15, 2609. [Google Scholar] [CrossRef]
- Derraik, J.G.B.; Rademaker, M.; Cutfield, W.S.; Pinto, T.E.; Tregurtha, S.; Faherty, A.; Peart, J.M.; Drury, P.L.; Hofman, P.L. Effects of Age, Gender, BMI, and Anatomical Site on Skin Thickness in Children and Adults with Diabetes. PLoS ONE 2014, 9, e86637. [Google Scholar] [CrossRef]
- Collier, A.; Patrick, A.W.; Bell, D.; Matthews, D.M.; Maclntyre, C.C.A.; Ewing, D.J.; Clarke, B.F. Relationship of Skin Thickness to Duration of Diabetes, Glycemic Control, and Diabetic Complications in Male IDDM Patients. Diabetes Care 1989, 12, 309–312. [Google Scholar] [CrossRef] [PubMed]
- Ruiz-Alejos, A.; Carrillo-Larco, R.M.; Miranda, J.J.; Gilman, R.H.; Smeeth, L.; Bernabé-Ortiz, A. Skinfold thickness and the incidence of type 2 diabetes mellitus and hypertension: An analysis of the PERU MIGRANT study. Public Health Nutr. 2019, 23, 63–71. [Google Scholar] [CrossRef] [PubMed]













| Group Skin Status | Male Number | Age µ ± SD | Female Number | Female µ ± SD |
|---|---|---|---|---|
| Healthy | 30 | 67.4 ± 7.2 | 20 | 65.0 ± 4.4 |
| Dehydrated skin due to less thirst sensation | 30 | 67.6 ± 5.8 | 20 | 65.4 ± 6.7 |
| Dehydrated skin due to vomiting | 30 | 67.2 ± 3.3 | 20 | 65.9 ± 2.8 |
| Dehydrated skin due to diabetes | 30 | 67.1 ± 6.5 | 20 | 65.4 ± 7.6 |
| Location | Healthy µ ± SD | Dehydration (Less Thirst Sensation) | Dehydration (Illnesses) | Dehydration (Diabetes) |
|---|---|---|---|---|
| Palm of Hand | 0.538 ± 0.098 | 0.458 ± 0.102 | 0.427 ± 0.104 | 0.500 ± 0.098 |
| Back of Hand | 0.619 ± 0.081 | 0.534 ± 0.085 | 0.501 ± 0.084 | 0.649 ± 0.083 |
| Fingers | 0.576 ± 0.114 | 0.535 ± 0.115 | 0.494 ± 0.116 | 0.550 ± 0.114 |
| Inner Wrist | 0.613 ± 0.072 | 0.572 ± 0.072 | 0.538 ± 0.070 | 0.661 ± 0.075 |
| Outer Wrist | 0.597 ± 0.063 | 0.465 ± 0.071 | 0.440 ± 0.070 | 0.538 ± 0.065 |
| Volar Side | 0.624 ± 0.075 | 0.544 ± 0.073 | 0.515 ± 0.075 | 0.572 ± 0.078 |
| Dorsal Surface | 0.559 ± 0.082 | 0.447 ± 0.083 | 0.403 ± 0.0807 | 0.524 ± 0.083 |
| Elbow | 0.588 ± 0.075 | 0.420 ± 0.083 | 0.368 ± 0.087 | 0.518 ± 0.072 |
| Location | Healthy µ ± SD | Dehydration (Less Thirst Sensation) | Dehydration (Illnesses) | Dehydration (Diabetes) |
|---|---|---|---|---|
| Palm of Hand | 0.566 ± 0.074 | 0.473 ± 0.068 | 0.444 ± 0.069 | 0.5262 ± 0.075 |
| Back of Hand | 0.625 ± 0.076 | 0.573 ± 0.066 | 0.549 ± 0.064 | 0.666 ± 0.076 |
| Fingers | 0.584 ± 0.091 | 0.552 ± 0.092 | 0.524 ± 0.083 | 0.564 ± 0.091 |
| Inner Wrist | 0.634 ± 0.057 | 0.600 ± 0.054 | 0.566 ± 0.0532 | 0.664 ± 0.057 |
| Outer Wrist | 0.633 ± 0.066 | 0.474 ± 0.064 | 0.438 ± 0.065 | 0.593 ± 0.066 |
| Volar Side | 0.633 ± 0.061 | 0.570 ± 0.0586 | 0.550 ± 0.061 | 0.613 ± 0.061 |
| Dorsal Surface | 0.563 ± 0.068 | 0.446 ± 0.095 | 0.421 ± 0.094 | 0.523 ± 0.0644 |
| Elbow | 0.603 ± 0.060 | 0.383 ± 0.067 | 0.329 ± 0.067 | 0.557 ± 0.062 |
Disclaimer/Publisher’s Note: The statements, opinions and data contained in all publications are solely those of the individual author(s) and contributor(s) and not of MDPI and/or the editor(s). MDPI and/or the editor(s) disclaim responsibility for any injury to people or property resulting from any ideas, methods, instructions or products referred to in the content. |
© 2024 by the author. Licensee MDPI, Basel, Switzerland. This article is an open access article distributed under the terms and conditions of the Creative Commons Attribution (CC BY) license (https://creativecommons.org/licenses/by/4.0/).
Share and Cite
Owda, A.Y. A New Method for Detecting Dehydration of the Human Body Using Non-Contact Millimeter Wave Radiometry. Sensors 2024, 24, 4461. https://doi.org/10.3390/s24144461
Owda AY. A New Method for Detecting Dehydration of the Human Body Using Non-Contact Millimeter Wave Radiometry. Sensors. 2024; 24(14):4461. https://doi.org/10.3390/s24144461
Chicago/Turabian StyleOwda, Amani Yousef. 2024. "A New Method for Detecting Dehydration of the Human Body Using Non-Contact Millimeter Wave Radiometry" Sensors 24, no. 14: 4461. https://doi.org/10.3390/s24144461
APA StyleOwda, A. Y. (2024). A New Method for Detecting Dehydration of the Human Body Using Non-Contact Millimeter Wave Radiometry. Sensors, 24(14), 4461. https://doi.org/10.3390/s24144461

