Computer Vision Method for Automatic Detection of Microstructure Defects of Concrete
Abstract
1. Introduction
1.1. Background
1.2. Rationale
- -
- the formation of a database “Photographic images of the microstructure of concrete”, describing the quality of concrete samples during laboratory experiments;
- -
- description and implementation of CNN models based on LinkNet, U-Net, and PSPNet architectures;
- -
- optimization and testing of implemented models taking into account segmentation quality requirements;
- -
- processing of the results using “cellular automata”;
- -
- visual assessment of the results obtained and comparison with the assessment put forward by a technologist;
- -
- development of recommendations on the use and scaling of the proposed algorithms;
- -
- assessment of the prospects for the introduction of CV algorithms into practice in assessing the quality of finished samples, as well as in the process of developing formulations.
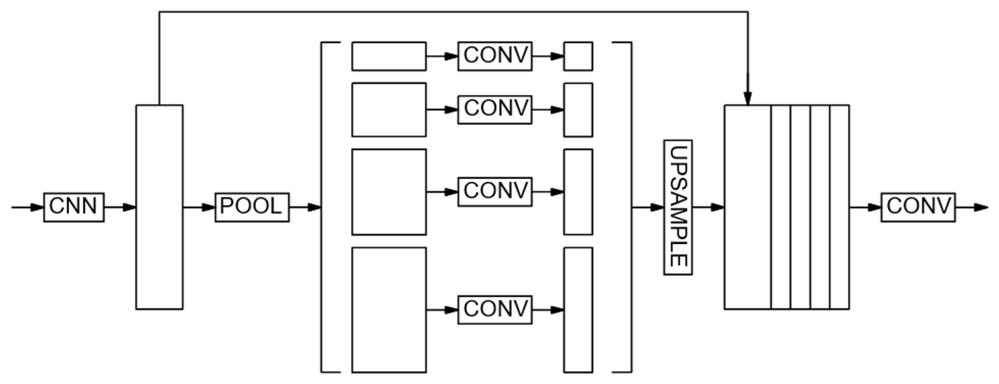
2. Materials and Methods
2.1. Materials
- (1)
- Portland cement (PC) CEM I 42.5N (CEMROS, Stary Oskol, Russia), which has the following properties:
- -
- specific surface area—335 m2/kg;
- -
- fineness, passage through a sieve No 008—98.6%;
- -
- start of setting—190 min;
- -
- end of setting—280 min;
- -
- compressive strength—19.1 MPa (after 2 days) and 51.3 MPa (after 28 days);
- (2)
- quartz sand (QS), which has the following properties:
- -
- fineness modulus—2.19;
- -
- bulk density—1351 kg/m3;
- -
- apparent density—2630 kg/m3;
- -
- the content of dust and clay particles—0.04%;
- -
- content of clay in lumps—0.01%;
- (3)
- crushed sandstone (CrS) (RostMed, Kamensk, Russia) with the following properties:
- -
- bulk density—1402 kg/m3;
- -
- apparent density—2638 kg/m3;
- -
- resistance to fragmentation—11.8 wt%;
- -
- the content of lamellar and acicular grains—7.7 wt%;
- (4)
- plasticizing additive (PA) MasterGlenium 115 (BASF Construction Systems, Moscow, Russia):
- -
- color—light yellow;
- -
- density—1064 kg/m3;
- -
- PH—5.04;
- -
- the added amount is 0.5% of the weight of Portland cement.
- (1)
- density—2300 ± 40 kg/m3;
- (2)
- the draft of the cone is from 3 to 5 cm;
- (3)
- compressive strength—47.1 ± 2.2 MPa;
- (4)
- water absorption—6.74 ± 0.36%.
2.2. Methods
- -
- concrete mixer BL-10 (ZZBO, Zlatoust, Russia);
- -
- CSF vibration platform (IMash, Armavir, Russia);
- -
- normal hardening chamber KNT-1 (RNPO Rusuchpribor, St. Petersburg, Russia);
- -
- hydraulic press P-125 (PKC ZIM, Armavir, Russia);
- -
- optical microscope MBS-10 (Izmeritelnaya Tekhnika, Moscow, Russia) with magnification up to 10 times.
3. Results and Discussion
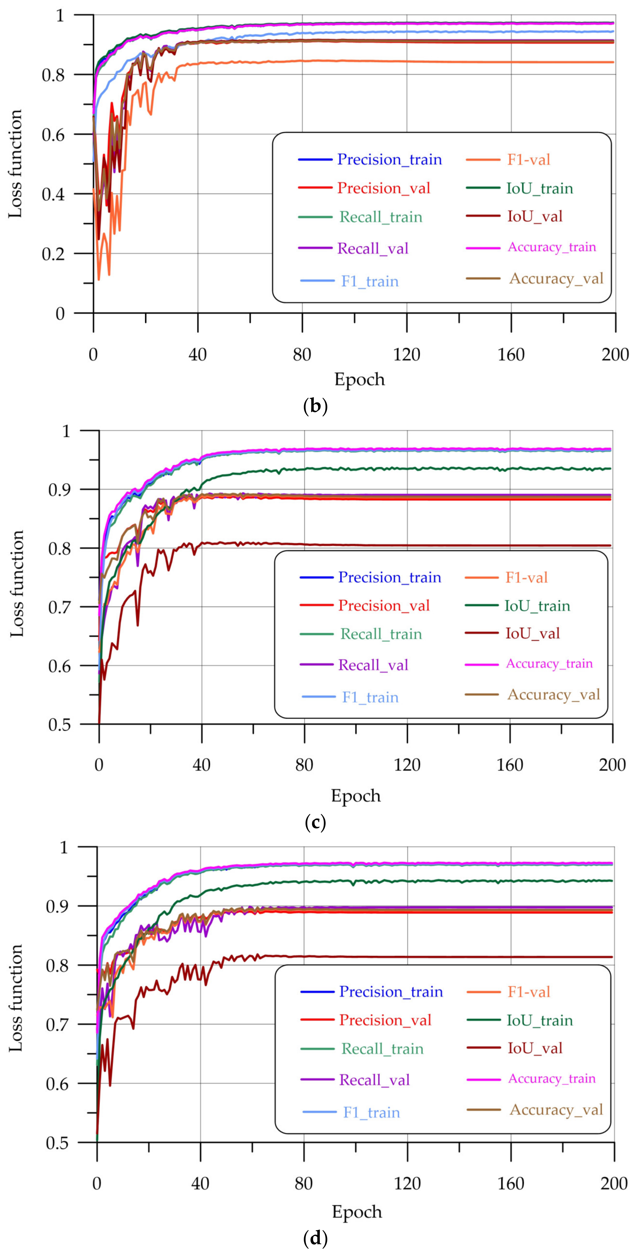
3.1. Model Training
3.2. Evaluation of Results
3.3. Post-Processing by Cellular Automaton


3.4. Discussion
- -
- It is necessary to ensure transparency and a clear understanding of the results of the algorithms with the justification of the limits of acceptable errors to ensure the required level of strength. When issuing an opinion on the degree of suitability of the analyzed concrete sample for operation on the principle of “critical/uncritical”, it is necessary to be guided by current building codes and regulations. Users of the software product should have instructions on how to use smart algorithms and interpret segmentation results;
- -
- When changing or supplementing the properties of materials affecting their structure, which can be detected by computer vision methods, it is advisable to use data drift technology, concept drift, and domain adaptation, which will allow taking into account new factors without completely retraining previously created models.
4. Conclusions
- (1)
- Three models of convolutional neural networks are implemented, one of which was modified by the authors.
- (2)
- Training was carried out on our own dataset selected in laboratory conditions. The dataset has been enlarged using the author’s augmentation algorithm.
- (3)
- The proposed machine vision algorithms have shown high accuracy (accuracy from 0.89) in detecting the area of interest.
- (4)
- Evaluation of the quality of the results of the models suggests the following: the considered algorithms based on convolutional neural networks are, on average, able to detect at least 89% of all defects in photographs of concrete samples.
- (5)
- A cellular automaton algorithm was proposed to post-process the segmentation results of the best model. The application of the cellular automaton algorithm made it possible to remove noise and make the segmented area more integral. The best metrics were demonstrated by the U-Net model, supplemented by this algorithm: precision = 0.91, recall = 0.90, F1 = 0.91, IoU = 0.84, accuracy = 0.90.
- (6)
- The analysis of the segmentation results makes it possible to establish the relationship between the formulation, technological parameters, and the proportion of defects. The authorization of the process of calculating the damage area and a recommendation in the “critical/uncritical” format can be used to assess the condition of concrete of various types of structures, adjust the formulation, and change the technological parameters of production.
- -
- expansion of the range of analyzed building materials by collecting new data during laboratory tests and in the course of fieldwork;
- -
- application of convolutional neural networks of other architectures and/or modernization and hybridization of previously considered;
- -
- combining the developed methods and traditional methods of defect detection into a single system, where one method will confirm or correct the conclusions of the other, guaranteeing the most reliable result;
- -
- in-depth analysis of the strength properties of concrete from the parameters of defects in its microstructure (for example, from the color depth of the defective area);
- -
- development of a user interface as a web platform for the convenience of interested parties’ access to this development. The user interface will allow you to apply the developed algorithms both locally on a computer in laboratories and in the field, where internet access is not always available. The web platform will allow you to access the algorithms from anywhere. This approach will satisfy all possible requests for this development.
Author Contributions
Funding
Institutional Review Board Statement
Informed Consent Statement
Data Availability Statement
Acknowledgments
Conflicts of Interest
References
- Zhang, J.; Peng, L.; Wen, S.; Huang, S. A Review on Concrete Structural Properties and Damage Evolution Monitoring Techniques. Sensors 2024, 24, 620. [Google Scholar] [CrossRef] [PubMed]
- Guo, Y.; Shen, X.; Linke, J.; Wang, Z.; Barati, K. Quantification of Structural Defects Using Pixel Level Spatial Information from Photogrammetry. Sensors 2023, 23, 5878. [Google Scholar] [CrossRef] [PubMed]
- Pozzer, S.; Souza, M.P.V.d.; Hena, B.; Rezayiye, R.K.; Hesam, S.; Lopez, F.; Maldague, X. Defect Segmentation in Concrete Structures Combining Registered Infrared and Visible Images: A Comparative Experimental Study. Eng. Proc. 2021, 8, 29. [Google Scholar] [CrossRef]
- Konior, J.; Rejment, M. Correlation between Defects and Technical Wear of Materials Used in Traditional Construction. Materials 2021, 14, 2482. [Google Scholar] [CrossRef] [PubMed]
- Tian, Y.; Zhang, X.; Chen, H.; Wang, Y.; Wu, H. A Bridge Damage Visualization Technique Based on Image Processing Technology and the IFC Standard. Sustainability 2023, 15, 8769. [Google Scholar] [CrossRef]
- Abdelkader, E.M.; Zayed, T.; Faris, N. Synthesized Evaluation of Reinforced Concrete Bridge Defects, Their Non-Destructive Inspection and Analysis Methods: A Systematic Review and Bibliometric Analysis of the Past Three Decades. Buildings 2023, 13, 800. [Google Scholar] [CrossRef]
- Kim, J.; Cho, Y.; Lee, J.; Kim, Y.H. Defect Detection and Characterization in Concrete Based on FEM and Ultrasonic Techniques. Materials 2022, 15, 8160. [Google Scholar] [CrossRef] [PubMed]
- Słoński, M.; Schabowicz, K.; Krawczyk, E. Detection of Flaws in Concrete Using Ultrasonic Tomography and Convolutional Neural Networks. Materials 2020, 13, 1557. [Google Scholar] [CrossRef] [PubMed]
- Vasiliev, P.V.; Senichev, A.V.; Giorgio, I. Visualization of internal defects using a deep generative neural network model and ultrasonic nondestructive testing. Adv. Eng. Res. 2021, 21, 143–153. [Google Scholar] [CrossRef]
- Zhang, T.; Zhou, L.; Ammari, H.; Seo, J.K. Electrical Impedance Spectroscopy-Based Defect Sensing Technique in Estimating Cracks. Sensors 2015, 15, 10909–10922. [Google Scholar] [CrossRef] [PubMed]
- Rathee, M.; Bačić, B.; Doborjeh, M. Automated Road Defect and Anomaly Detection for Traffic Safety: A Systematic Review. Sensors 2023, 23, 5656. [Google Scholar] [CrossRef] [PubMed]
- Su, T. Application of Computer Vision to Crack Detection of Concrete Structure. International. Int. J. Eng. Technol. 2013, 5, 457–461. [Google Scholar] [CrossRef]
- Munawar, H.S.; Hammad, A.W.A.; Waller, S.T.; Islam, M.R. Modern Crack Detection for Bridge Infrastructure Maintenance Using Machine Learning. Hum.-Centric Intell. Syst. 2022, 2, 95–112. [Google Scholar] [CrossRef]
- Beskopylny, A.N.; Shcherban’, E.M.; Stel’makh, S.A.; Mailyan, L.R.; Meskhi, B.; Razveeva, I.; Kozhakin, A.; El’shaeva, D.; Beskopylny, N.; Onore, G. Detecting Cracks in Aerated Concrete Samples Using a Convolutional Neural Network. Appl. Sci. 2023, 13, 1904. [Google Scholar] [CrossRef]
- Zhang, X.; Huang, H. PHCNet: Pyramid Hierarchical-Convolution-Based U-Net for Crack Detection with Mixed Global Attention Module and Edge Feature Extractor. Appl. Sci. 2023, 13, 10263. [Google Scholar] [CrossRef]
- Di Benedetto, A.; Fiani, M.; Gujski, L.M. U-Net-Based CNN Architecture for Road Crack Segmentation. Infrastructures 2023, 8, 90. [Google Scholar] [CrossRef]
- Qian, H.; Li, Y.; Yang, J.; Xie, L.; Tan, K.H. Segmentation and analysis of cement particles in cement paste with deep learning. Cem. Concr. Compos. 2023, 136, 104819. [Google Scholar] [CrossRef]
- Guo, P.; Meng, W.; Bao, Y. Intelligent characterization of complex cracks in strain-hardening cementitious composites based on generative computer vision. Constr. Build. Mater. 2024, 411, 134812. [Google Scholar] [CrossRef]
- Dong, Y.; Su, C.; Qiao, P.; Sun, L. Microstructural crack segmentation of three-dimensional concrete images based on deep convolutional neural networks. Constr. Build. Mater. 2020, 253, 119185. [Google Scholar] [CrossRef]
- Beskopylny, A.N.; Shcherban’, E.M.; Stel’makh, S.A.; Mailyan, L.R.; Meskhi, B.; Razveeva, I.; Kozhakin, A.; Beskopylny, N.; El’shaeva, D.; Artamonov, S. Method for Concrete Structure Analysis by Microscopy of Hardened Cement Paste and Crack Segmentation Using a Convolutional Neural Network. J. Compos. Sci. 2023, 7, 327. [Google Scholar] [CrossRef]
- Li, L.; Liu, R.; Ali, R.; Chen, B.; Lin, H.; Li, Y.; Zhang, H. DFP-Net: A Crack Segmentation Method Based on a Feature Pyramid Network. Appl. Sci. 2024, 14, 651. [Google Scholar] [CrossRef]
- Petsiuk, A.; Singh, H.; Dadhwal, H.; Pearce, J.M. Synthetic-to-Real Composite Semantic Segmentation in Additive Manufacturing. J. Manuf. Mater. Process. 2024, 8, 66. [Google Scholar] [CrossRef]
- Luo, K.; Kong, X.; Zhang, J.; Hu, J.; Li, J.; Tang, H. Computer Vision-Based Bridge Inspection and Monitoring: A Review. Sensors 2023, 23, 7863. [Google Scholar] [CrossRef]
- Mezher, A.M.; Marble, A.E. Computer vision defect detection on unseen backgrounds for manufacturing inspection. Expert Syst. Appl. 2024, 243, 122749. [Google Scholar] [CrossRef]
- Cano-Ortiz, S.; Iglesias, L.L.; del Árbol, P.M.R.; Lastra-González, P.; Castro-Fresno, D. An end-to-end computer vision system based on deep learning for pavement distress detection and quantification. Constr. Build. Mater. 2024, 416, 135036. [Google Scholar] [CrossRef]
- Tsintotas, K.A.; Kansizoglou, I.; Konstantinidis, F.K.; Mouroutsos, S.G.; Syrakoulis, G.C.; Psarommatis, F.; Aloimonos, Y.; Gasteratos, A. Active vision: A promising technology for achieving zero-defect manufacturing. Procedia Comput. Sci. 2024, 232, 2821–2830. [Google Scholar] [CrossRef]
- Alsakka, F.; Assaf, S.; El-Chami, I.; Al-Hussein, M. Computer vision applications in offsite construction. Autom. Constr. 2023, 154, 104980. [Google Scholar] [CrossRef]
- Jayaram, M.A. Computer vision applications in construction material and structural health monitoring: A scoping review. Mater. Today Proc. 2023, in press. [Google Scholar] [CrossRef]
- Hong, K.; Wang, H.; Yuan, B.; Wang, T. Multiple Defects Inspection of Dam Spillway Surface Using Deep Learning and 3D Reconstruction Techniques. Buildings 2023, 13, 285. [Google Scholar] [CrossRef]
- Lu, X.; Lin, X. Automatic Identification Method of Defects in Concrete Structures Strengthened with Composite Materials Based on a Multi-Scale Model. Coatings 2023, 13, 2005. [Google Scholar] [CrossRef]
- Wang, G.; Zhang, L.; Xu, X.; Xuan, S.; Fan, X.; Kan, Y.; Yao, X. Real-time detection of barely visible defects on composite structures based on surface reconstruction. Compos. Struct. 2023, 311, 116852. [Google Scholar] [CrossRef]
- Razveeva, I.; Kozhakin, A.; Beskopylny, A.N.; Stel’makh, S.A.; Shcherban’, E.M.; Artamonov, S.; Pembek, A.; Dingrodiya, H. Analysis of Geometric Characteristics of Cracks and Delamination in Aerated Concrete Products Using Convolutional Neural Networks. Buildings 2023, 13, 3014. [Google Scholar] [CrossRef]
- Giulietti, N.; Chiariotti, P.; Revel, G.M. Automated Measurement of Geometric Features in Curvilinear Structures Exploiting Steger’s Algorithm. Sensors 2023, 23, 4023. [Google Scholar] [CrossRef] [PubMed]
- Solov’ev, A.N.; Cherpakov, A.V.; Vasil’ev, P.V.; Parinov, I.A.; Kirillova, E.V. Neural network technology for identifying defect sizes in half-plane based on time and positional scanning. Adv. Eng. Res. 2020, 20, 205–215. [Google Scholar] [CrossRef]
- Kim, B.; Choi, S.-W.; Hu, G.; Lee, D.-E.; Serfa Juan, R.O. An Automated Image-Based Multivariant Concrete Defect Recognition Using a Convolutional Neural Network with an Integrated Pooling Module. Sensors 2022, 22, 3118. [Google Scholar] [CrossRef] [PubMed]
- Shin, H.K.; Ahn, Y.H.; Lee, S.H.; Kim, H.Y. Automatic Concrete Damage Recognition Using Multi-Level Attention Convolutional Neural Network. Materials 2020, 13, 5549. [Google Scholar] [CrossRef] [PubMed]
- Jha, S.B.; Babiceanu, R.F. Deep CNN-based visual defect detection: Survey of current literature. Comput. Ind. 2023, 148, 103911. [Google Scholar] [CrossRef]
- Xing, J.; Liu, Y.; Zhang, G. Concrete Highway Crack Detection Based on Visible Light and Infrared Silicate Spectrum Image Fusion. Sensors 2024, 24, 2759. [Google Scholar] [CrossRef] [PubMed]
- Zhu, Y.; Xu, W.; Cai, C.S.; Xiong, W. Relative-Breakpoint-Based Crack Annotation Method for Lightweight Crack Identification Using Deep Learning Methods. Appl. Sci. 2023, 13, 8950. [Google Scholar] [CrossRef]
- Tian, X.; Ao, J.; Ma, Z.; Jian, B.; Ma, C. Concrete Multi-Type Defect Classification Algorithm Based on MSSMA-SVM. Sensors 2022, 22, 9145. [Google Scholar] [CrossRef] [PubMed]
- Arafin, P.; Issa, A.; Billah, A.H.M.M. Performance Comparison of Multiple Convolutional Neural Networks for Concrete Defects Classification. Sensors 2022, 22, 8714. [Google Scholar] [CrossRef] [PubMed]
- Razveeva, I.F.; Chernil’nik, A.A.; Girya, M.M.; Nurkhabinov, T.T. Photographic Images of Concrete Microstructure. Russian Federation Database 2024621726, 19 April 2024. Available online: https://www1.fips.ru/ofpstorage/Doc/PrEVM/RUNWDB/000/002/024/621/726/2024621726-00001/DOCUMENT.PDF (accessed on 27 May 2024).
- Ajit, A.; Acharya, K.; Samanta, A. A Review of Convolutional Neural Networks. In Proceedings of the 2020 International Conference on Emerging Trends in Information Technology and Engineering (ic-ETITE), Vellore, India, 24–25 February 2020; IEEE: Piscataway, NJ, USA, 2020; pp. 1–5. [Google Scholar] [CrossRef]
- Islam, M.M.; Hossain, M.B.; Akhtar, M.N.; Moni, M.A.; Hasan, K.F. CNN Based on Transfer Learning Models Using Data Augmentation and Transformation for Detection of Concrete Crack. Algorithms 2022, 15, 287. [Google Scholar] [CrossRef]
- Ronneberger, O.; Fischer, P.; Brox, T. U-Net: Convolutional Networks for Biomedical Image Segmentation. arXiv 2015, arXiv:1505.04597. [Google Scholar] [CrossRef]
- Norelyaqine, A.; Azmi, R.; Saadane, A. Architecture of Deep Convolutional Encoder-Decoder Networks for Building Footprint Semantic Segmentation. Sci. Program. 2023, 2023, 8552624. [Google Scholar] [CrossRef]
- Chaurasia, A.; Culurciello, E. LinkNet: Exploiting Encoder Representations for Efficient Semantic Segmentation. arXiv 2017, arXiv:1707.03718v1. [Google Scholar]
- Zhao, H.; Shi, J.; Qi, X.; Wang, X.; Jia, J. Pyramid Scene Parsing Network. In Proceedings of the 2017 IEEE Conference on Computer Vision and Pattern Recognition (CVPR), Honolulu, HI, USA, 21–26 July 2017; IEEE: Piscataway, NJ, USA, 2017; pp. 6230–6239. [Google Scholar] [CrossRef]
- Han, Y.; Zheng, B.; Kong, X.; Huang, J.; Wang, X.; Ding, T.; Chen, J. Underwater Fish Segmentation Algorithm Based on Improved PSPNet Network. Sensors 2023, 23, 8072. [Google Scholar] [CrossRef]
- Beskopylny, A.N.; Stel’makh, S.A.; Shcherban’, E.M.; Razveeva, I.F.; Kozhakin, A.N.; Beskopylny, N.A.; Onore, G.S. Image Augmentation Program. Russian Federation Computer Program 2022685192. 21 December 2022. Available online: https://www.fips.ru/registers-doc-view/fips_servlet?DB=EVM&DocNumber=2022685192&TypeFile=html (accessed on 27 May 2024).
- Kingma, D.P.; Ba, J. Adam: A Method for Stochastic Optimization. arXiv 2017, arXiv:1412.6980. [Google Scholar]
- Sokolova, M.; Lapalme, G. A systematic analysis of performance measures for classification tasks. Inf. Process. Manag. 2009, 45, 427–437. [Google Scholar] [CrossRef]
- Taha, A.A.; Hanbury, A. Metrics for Evaluating 3D Medical Image Segmentation: Analysis, Selection, and Tool. BMC Med. Imaging 2015, 15, 29. [Google Scholar] [CrossRef]
- Hoskere, V.; Narazaki, Y.; Hoang, T.A.; Spence, B.F., Jr. Vision-based Structural Inspection using Multiscale Deep Convolutional Neural Networks. arXiv 2017, arXiv:1805.01055. [Google Scholar]
- Bahreini, F.; Hammad, A. Point Cloud Semantic Segmentation of Concrete Surface Defects Using Dynamic Graph CNN. In Proceedings of the 38th International Symposium on Automation and Robotics in Construction (ISARC 2021), Dubai, United Arab Emirates, 2–5 November 2021. Available online: https://www.iaarc.org/publications/fulltext/051%20ISARC%202021%20Paper133.pdf (accessed on 15 June 2024).
- Shcherban’, E.M.; Stel’makh, S.A.; Mailyan, L.R.; Beskopylny, A.N.; Smolyanichenko, A.S.; Chernil’nik, A.A.; Elshaeva, D.M.; Beskopylny, N.A. Structure and Properties of Variatropic Concrete Combined Modified with Nano- and Micro-silica. Constr. Mater. Prod. 2024, 7, 3. [Google Scholar] [CrossRef]
- Beskopylny, A.N.; Stel’makh, S.A.; Shcherban’, E.M.; Razveeva, I.; Kozhakin, A.; Pembek, A.; Kondratieva, T.N.; Elshaeva, D.; Chernil’nik, A.; Beskopylny, N. Prediction of the Properties of Vibro-Centrifuged Variatropic Concrete in Aggressive Environments Using Machine Learning Methods. Buildings 2024, 14, 1198. [Google Scholar] [CrossRef]
- Korolev, E.V.; Bazhenov, Y.M.; Smirnov, V.A. Building Materials of Variatropic Frame Structure; National Research Moscow State University of Civil Engineering: Moscow, Russia, 2011; 304p. [Google Scholar]
- Kliukas, R.; Lukoševičienė, O.; Jaras, A.; Jonaitis, B. The Mechanical Properties of Centrifuged Concrete in Reinforced Concrete Structures. Appl. Sci. 2020, 10, 3570. [Google Scholar] [CrossRef]
- Feng, B.; Zhu, Y.-H.; Xie, F.; Chen, J.; Liu, C.-B. Experimental Investigation and Design of Hollow Section, Centrifugal Concrete-Filled GFRP Tube Columns. Buildings 2021, 11, 598. [Google Scholar] [CrossRef]














| № | Parameter | Parameter Description | U-Net | LinkNet | PSPNet-v1 | PSPNet-v2 |
|---|---|---|---|---|---|---|
| 1 | BatchSize | Size of training batch | 50 | 50 | 50 | 50 |
| 2 | Number of epochs | Number of epochs | 200 | 200 | 200 | 200 |
| 3 | max_lr | Maximum learning rate | 0.0005 | 0.0005 | 0.0005 | 0.001 |
| 4 | min_lr | Minimum learning rate | 1 × 10−7 | 1 × 10−7 | 1 × 10−7 | 1 × 10−7 |
| 5 | factor | The coefficient by which the learning rate is multiplied | 0.7 | 0.7 | 0.7 | 0.7 |
| 6 | patience | The number of epochs at which the loss function on validation data does not improve | 5 | 5 | 5 | 4 |
| 7 | Solver | Optimizer | Adam | Adam | Adam | Adam |
| 8 | Loss function | Loss function | Jaccard loss | Jaccard loss | Jaccard loss | Jaccard loss |
| № | Model Name | Precision | Recall | F1 | IoU | Accuracy |
|---|---|---|---|---|---|---|
| 1 | U-Net | 0.90 | 0.91 | 0.91 | 0.84 | 0.90 |
| 2 | LinkNet | 0.89 | 0.89 | 0.89 | 0.81 | 0.90 |
| 3 | PSPNet-v1 | 0.90 | 0.89 | 0.88 | 0.81 | 0.89 |
| 4 | PSPNet-v2 | 0.90 | 0.90 | 0.89 | 0.82 | 0.90 |
Disclaimer/Publisher’s Note: The statements, opinions and data contained in all publications are solely those of the individual author(s) and contributor(s) and not of MDPI and/or the editor(s). MDPI and/or the editor(s) disclaim responsibility for any injury to people or property resulting from any ideas, methods, instructions or products referred to in the content. |
© 2024 by the authors. Licensee MDPI, Basel, Switzerland. This article is an open access article distributed under the terms and conditions of the Creative Commons Attribution (CC BY) license (https://creativecommons.org/licenses/by/4.0/).
Share and Cite
Beskopylny, A.N.; Stel’makh, S.A.; Shcherban’, E.M.; Razveeva, I.; Kozhakin, A.; Meskhi, B.; Chernil’nik, A.; Elshaeva, D.; Ananova, O.; Girya, M.; et al. Computer Vision Method for Automatic Detection of Microstructure Defects of Concrete. Sensors 2024, 24, 4373. https://doi.org/10.3390/s24134373
Beskopylny AN, Stel’makh SA, Shcherban’ EM, Razveeva I, Kozhakin A, Meskhi B, Chernil’nik A, Elshaeva D, Ananova O, Girya M, et al. Computer Vision Method for Automatic Detection of Microstructure Defects of Concrete. Sensors. 2024; 24(13):4373. https://doi.org/10.3390/s24134373
Chicago/Turabian StyleBeskopylny, Alexey N., Sergey A. Stel’makh, Evgenii M. Shcherban’, Irina Razveeva, Alexey Kozhakin, Besarion Meskhi, Andrei Chernil’nik, Diana Elshaeva, Oksana Ananova, Mikhail Girya, and et al. 2024. "Computer Vision Method for Automatic Detection of Microstructure Defects of Concrete" Sensors 24, no. 13: 4373. https://doi.org/10.3390/s24134373
APA StyleBeskopylny, A. N., Stel’makh, S. A., Shcherban’, E. M., Razveeva, I., Kozhakin, A., Meskhi, B., Chernil’nik, A., Elshaeva, D., Ananova, O., Girya, M., Nurkhabinov, T., & Beskopylny, N. (2024). Computer Vision Method for Automatic Detection of Microstructure Defects of Concrete. Sensors, 24(13), 4373. https://doi.org/10.3390/s24134373

