A 3 MHz Low-Error Adaptive Howland Current Source for High-Frequency Bioimpedance Applications
Abstract
1. Introduction
1.1. Current Source Topologies
1.2. Need for Higher Bandwidth
2. Methods
2.1. AGC Architecture
2.2. System Design
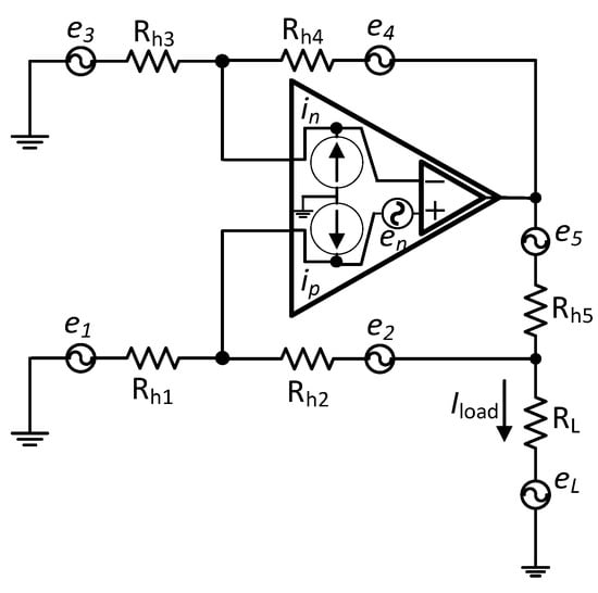
2.3. Circuit Design
2.4. Experimental Setup
3. Results and Discussion
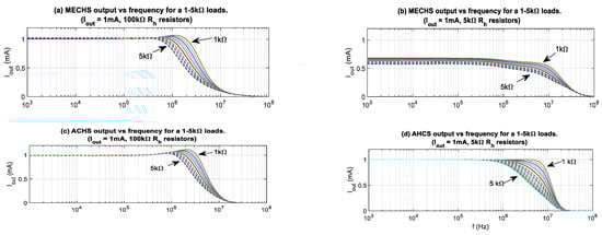
3.1. Frequency Response
3.2. Performance for Smaller Output Current
3.3. Output Impedance—Fully Differential Measurement
3.4. Tracking Speed
3.5. Noise
3.6. Component Tolerance
4. Performance Overview
5. Conclusions
Author Contributions
Funding
Data Availability Statement
Conflicts of Interest
References
- Naranjo-Hernández, D.; Reina-Tosina, J.; Min, M. Fundamentals, Recent Advances, and Future Challenges in Bioimpedance Devices for Healthcare Applications. J. Sens. 2019, 2019, 9210258. [Google Scholar] [CrossRef]
- Khalil, S.F.; Mohktar, M.S.; Ibrahim, F. The theory and fundamentals of bioimpedance analysis in clinical status monitoring and diagnosis of diseases. Sensors 2014, 14, 10895–10928. [Google Scholar] [CrossRef]
- Goren, N.; Avery, J.; Dowrick, T.; Mackle, E.; Witkowska-Wrobel, A.; Werring, D.; Holder, D. Multi-frequency electrical impedance tomography and neuroimaging data in stroke patients. Sci. Data 2018, 5, 180112. [Google Scholar] [CrossRef]
- Crowell, L.L.; Yakisich, J.S.; Aufderheide, B.; Adams, T.N.G. Electrical impedance spectroscopy for monitoring chemoresistance of cancer cells. Micromachines 2020, 11, 832. [Google Scholar] [CrossRef] [PubMed]
- Sanchez, B.; Pacheck, A.; Rutkove, S.B. Guidelines to electrode positioning for human and animal electrical impedance myography research. Sci. Rep. 2016, 6, 32615. [Google Scholar] [CrossRef] [PubMed]
- Hafid, A.; Benouar, S.; Kedir-Talha, M.; Abtahi, F.; Attari, M.; Seoane, F. Full Impedance Cardiography Measurement Device Using Raspberry Pi3 and System-On-Chip Biomedical Instrumentation Solutions. IEEE J. Biomed. Health Inform. 2018, 22, 1883–1894. [Google Scholar] [CrossRef] [PubMed]
- Franco-Villoria, M.; Wright, C.M.; McColl, J.H.; Sherriff, A.; Pearce, M.S.; the Gateshead Millennium Study Core Team. Assessment of adult body composition using bioelectrical impedance: Comparison of researcher calculated to machine outputted values. BMJ Open 2016, 6, e008922. [Google Scholar] [CrossRef]
- Scandurra, G.; Cardillo, E.; Giusi, G.; Ciofi, C.; Alonso, E.; Giannetti, R. Portable Knee Health Monitoring System by Impedance Spectroscopy Based on Audio-Board. Electronics 2021, 10, 460. [Google Scholar] [CrossRef]
- González-Araiza, J.R.; Ortiz-Sánchez, M.C.; Vargas-Luna, F.M.; Cabrera-Sixto, J.M. Application of electrical bio-impedance for the evaluation of strawberry ripeness. Int. J. Food Prop. 2017, 20, 1044–1050. [Google Scholar] [CrossRef]
- Aberg, P.; Nicander, I.; Hansson, J.; Geladi, P.; Holmgren, U.; Ollmar, S. Skin cancer identification using multifrequency electrical impedance—A potential screening Tool. IEEE Trans. Biomed. Eng. 2004, 51, 2097–2102. [Google Scholar] [CrossRef]
- Wang, C.; Xin, X.; Liang, B.; Li, Z.; Miao, J. Quadrature errors and dc offsets calibration of analog complex cross-correlator for interferometric passive millimeter-wave imaging applications. Sensors 2018, 18, 677. [Google Scholar] [CrossRef]
- Rezaee-Dehsorkh, H.; Ravanshad, N.; Shamsaki, A.; Fakour, M.R.; Aliparast, P. A Low-Power Single-Path Bio-Impedance Measurement System Using an Analog-To-Digital Converter for I/Q Demodulation. IEEE Trans. Biomed. Circuits Syst. 2022, 16, 1129–1137. [Google Scholar] [CrossRef] [PubMed]
- Kadir, M.A.; Wilson, A.J.; Rabbani, K.S.-E. A Multi-Frequency Focused Impedance Measurement System Based on Analogue Synchronous Peak Detection. Front. Electron. 2021, 2, 791016. [Google Scholar] [CrossRef]
- Kassanos, P.; Triantis, I.F.; Demosthenous, A. A Cmos Magnitude/Phase Measurement Chip for Impedance Spectroscopy. IEEE Sensors J. 2013, 13, 2229–2236. [Google Scholar] [CrossRef]
- Morcelles, K.F.; Sirtoli, V.G.; Bertemes-Filho, P.; Vincence, V.C. Howland current source for high impedance load applications. Rev. Sci. Instruments 2017, 88, 114705. [Google Scholar] [CrossRef] [PubMed]
- Mahnam, A.; Yazdanian, H.; Samani, M.M. Comprehensive study of Howland circuit with non-ideal components to design high performance current pumps. Measurement 2016, 82, 94–104. [Google Scholar] [CrossRef]
- Ghorbani, R.; Nahvi, M. Analysis of Performance of Howland Ac Current Source for Electrical Impedance Spectro-Tomography. Sens. Imaging 2019, 20, 28. [Google Scholar] [CrossRef]
- Constantinou, L.; Triantis, I.F.; Bayford, R.; Demosthenous, A. High-power cmos current driver with accurate transconductance for electrical impedance tomography. IEEE Trans. Biomed. Circuits Syst. 2014, 8, 575–583. [Google Scholar] [CrossRef] [PubMed]
- Behrouzirad, A.; Sugrue, P.; Todorovic, M.; McCarthy, K.G.; Galvin, P. Analysis and Application of a Buffered Feedback Path Improved Howland Current Source in Bioimpedance Measurements. In Proceedings of the 2021 32nd Irish Signals and Systems Conference (ISSC), Athlone, Ireland, 10–11 June 2021. [Google Scholar] [CrossRef]
- Bertemes-Filho, P.; Felipe, A.; Vincence, V.C. High Accurate Howland Current Source: Output Constraints Analysis. Circuits Syst. 2013, 4, 451–458. [Google Scholar] [CrossRef]
- Tucker, A.S.; Fox, R.M.; Sadleir, R.J. Biocompatible, high precision, wideband, improved howland current source with lead-lag compensation. IEEE Trans. Biomed. Circuits Syst. 2013, 7, 63–70. [Google Scholar] [CrossRef]
- Sirtoli, V.G.; Vincence, V.C.; Bertemes-Filho, P. Mirrored enhanced Howland current source with feedback control. Rev. Sci. Instruments 2019, 90, 024702. [Google Scholar] [CrossRef]
- Guo, H.; Sun, X.; Li, S.; Liu, Y. Design and Experiment of Negative Impedance Converter for Impedance Cancellation of Electromagnetic Moving Coil Geophone. J. Phys. Conf. Ser. 2020, 1449, 012019. [Google Scholar] [CrossRef]
- Bouchaala, D.; Shi, Q.; Chen, X.; Kanoun, O.; Derbel, N. A high accuracy voltage controlled current source for handheld bioimpedance measurement. In Proceedings of the 2013 10th International Multi-Conference on Systems, Signals & Devices (SSD), Hammamet, Tunisia, 18–21 March 2013. [Google Scholar] [CrossRef]
- Bai, X.; Hou, J.; Wang, L.; Wang, M.; Wang, X.; Wu, C.; Yu, L.; Yang, J.; Leng, Y.; Sun, Y. Electrical impedance analysis of pork tissues during storage. J. Food Meas. Charact. 2018, 12, 164–172. [Google Scholar] [CrossRef]
- Halter, R.J.; Hartov, A.; Paulsen, K.D. A broadband high-frequency electrical impedance tomography system for breast imaging. IEEE Trans. Biomed. Eng. 2008, 55, 650–659. [Google Scholar] [CrossRef] [PubMed]
- Sarode, G.S.; Sarode, S.C.; Kulkarni, M.; Karmarkar, S.; Patil, S. Role of bioimpedance in cancer detection: A brief review. Int. J. Dent. Sci. Res. 2016, 3, 15–21. [Google Scholar] [CrossRef]
- Tisserand, E.; Berviller, Y. Design and implementation of a new digital automatic gain control. Electron. Lett. 2016, 52, 1847–1849. [Google Scholar] [CrossRef]
- Petrović, P.B. A new precision peak detector/full-wave rectifier. J. Signal Inf. Process. 2013, 4, 72–81. [Google Scholar] [CrossRef][Green Version]
- Sirtoli, V.G.; Morcelles, K.F.; Vincence, V.C. Design of current sources for load common mode optimization. J. Electr. Bioimpedance 2018, 9, 59–71. [Google Scholar] [CrossRef] [PubMed]
- Al Ahmad, M.; Al Natour, Z.; Mustafa, F.; Rizvi, T.A. Electrical Characterization of Normal and Cancer Cells. IEEE Access 2018, 6, 25979–25986. [Google Scholar] [CrossRef]
- Pittella, E.; Pisa, S.; Piuzzi, E.; Rizzuto, E.; Del Prete, Z. Combined impedance plethysmography and spectroscopy for the diagnosis of diseases of peripheral vascular system. In Proceedings of the 2017 IEEE International Symposium on Medical Measurements and Applications (MeMeA), Rochester, MN, USA, 7–10 May 2017; pp. 367–372. [Google Scholar] [CrossRef]
- Liu, S.-H.; Cheng, D.-C.; Su, C.-H. A Cuffless Blood Pressure Measurement Based on the Impedance Plethysmography Technique. Sensors 2017, 17, 1176. [Google Scholar] [CrossRef]
- Adler, A.; Boyle, A. Electrical impedance tomography: Tissue properties to image measures. IEEE Trans. Biomed. Eng. 2017, 64, 2494–2504. [Google Scholar] [CrossRef]
- Batista, D.S.; Silva, G.B.; Granziera, F.; Tosin, M.C.; Filho, D.L.G.; Melo, L.F. Howland current source applied to magnetic field generation in a tri-axial helmholtz coil. IEEE Access 2019, 7, 125649–125661. [Google Scholar] [CrossRef]
- Yan, L.; Bae, J.; Lee, S.; Roh, T.; Song, K.; Yoo, H.-J. A 3.9 mW 25-electrode reconfigured sensor for wearable cardiac monitoring system. IEEE J. Solid-State Circuits 2011, 46, 353–364. [Google Scholar] [CrossRef]
- Zhang, F.; Teng, Z.; Zhong, H.; Yang, Y.; Li, J.; Sang, J. Wideband mirrored current source design based on differential difference amplifier for electrical bioimpedance spectroscopy. Biomed. Phys. Eng. Express 2018, 4, 025032. [Google Scholar] [CrossRef]
- Hanzaee, F.F.; Neshatvar, N.; Rahal, M.; Jiang, D.; Bayford, R.; Demosthenous, A. A Low-Power Recursive I/Q Signal Generator and Current Driver for Bioimpedance Applications. IEEE Trans. Circuits Syst. II Express Briefs 2022, 69, 4108–4112. [Google Scholar] [CrossRef]



















| f (Hz) | Vsense (V) | Vmeas (V) | ||
|---|---|---|---|---|
| MEHCS | AHCS | MEHCS | AHCS | |
| 1k | 1.018 | 1.021 | 2.011 | 2.002 |
| 10k | 1.020 | 1.011 | 2.002 | 2.016 |
| 100k | 1.032 | 1.012 | 2.014 | 2.015 |
| 500k | 0.861 | 1.021 | 1.620 | 2.015 |
| 1M | 0.600 | 1.016 | 1.201 | 2.013 |
| 3M | 0.211 | 1.001 | 0.480 | 2.011 |
| Rref Nominal (Ω) | TCR (ppm/°C) | Ta (°C) | Ra Measured (Ω) |
|---|---|---|---|
| 1000 | 2 | −20 | 999.906 |
| 1000 | 2 | 0 | 999.946 |
| 1000 | 2 | 40 | 1000.026 |
| Architecture | CTVF-MEHCS [22] | EHCS [35] | Differential Sinusoidal Current Gen [36] | OTA—Based ASIC [18] | Differential Difference Amplifier (DDA) [37] | OTA and DDA (ASIC) [38] | ACHS (This Work) |
|---|---|---|---|---|---|---|---|
| Bandwidth < 1% Iout err. | ≤10 kHz | <100 Hz | 90 kHz | ≤1 MHz | ≤1 MHz | ≤200 kHz | ≤3 Mhz |
| THD | -- | -- | 0.81% @ 250 µAp-p | 0.69% @ 5 mAp-p 0.53% @ 2 mAp-p | -- | -- | <0.2% @ 2 mAp-p |
| Size and complexity | -- | -- | 5 mm × 5 mm | 6.18 mm2 | -- | 0.21 mm2 | 15.5 cm × 8.5 cm |
| Max Output Current | 2 mAp-p | <1.4 Apk | 350 µAp-p | 5 mAp-p | 20 mA | 0.7 mAp-p | 2 mAp-p |
| Output Impedance | 3.16 MΩ @ 10 kHz. 1.99 MΩ @ 100 kHz <32 KΩ @1 MHz | -- | >100 KΩ @ 90 kHz | 665 KΩ @ 100 kHz 372 kΩ @ 500 kHz | <100 K @ 1 MHz | 40 @ 30 kHz | 1 MΩ @ 1 kHz 200 KΩ @ 100 kHz. <1 kΩ @1 MHZ |
| Output current accuracy | <1%eror @ 10 kHz <2% @ 1 MHz 68.5% @10 MHz | <0.5% @ <100 Hz | ≤1% @ 90 kHz | <1%eror @ 1 MHz | <1%eror @ 1 MHz | -- | <1% @ 1 mA @ 3 MHz |
| Supply Voltage | 18 V | ±25 V | 1.25 V | 18 V | --- | ±0.8 | ±15 V |
| Technology | Discrete | Discrete | 0.18 µm CMOS | 0.6 µm CMOS HV | Discrete | 0.65 nm CMOS | Discrete |
Disclaimer/Publisher’s Note: The statements, opinions and data contained in all publications are solely those of the individual author(s) and contributor(s) and not of MDPI and/or the editor(s). MDPI and/or the editor(s) disclaim responsibility for any injury to people or property resulting from any ideas, methods, instructions or products referred to in the content. |
© 2024 by the authors. Licensee MDPI, Basel, Switzerland. This article is an open access article distributed under the terms and conditions of the Creative Commons Attribution (CC BY) license (https://creativecommons.org/licenses/by/4.0/).
Share and Cite
Nwokoye, I.I.; Triantis, I.F. A 3 MHz Low-Error Adaptive Howland Current Source for High-Frequency Bioimpedance Applications. Sensors 2024, 24, 4357. https://doi.org/10.3390/s24134357
Nwokoye II, Triantis IF. A 3 MHz Low-Error Adaptive Howland Current Source for High-Frequency Bioimpedance Applications. Sensors. 2024; 24(13):4357. https://doi.org/10.3390/s24134357
Chicago/Turabian StyleNwokoye, Ifeabunike I., and Iasonas F. Triantis. 2024. "A 3 MHz Low-Error Adaptive Howland Current Source for High-Frequency Bioimpedance Applications" Sensors 24, no. 13: 4357. https://doi.org/10.3390/s24134357
APA StyleNwokoye, I. I., & Triantis, I. F. (2024). A 3 MHz Low-Error Adaptive Howland Current Source for High-Frequency Bioimpedance Applications. Sensors, 24(13), 4357. https://doi.org/10.3390/s24134357

