Hand Gesture Recognition Based on High-Density Myoelectricity in Forearm Flexors in Humans
Abstract
1. Introduction
- (1)
- In this study, a new MPP feature selection method is proposed. This method introduces the Pearson correlation coefficient in contrast to previous feature selection methods. After filtering out the subset of features that have low relevance to a particular user using the MI method, the Pearson correlation coefficient is used again for feature selection to filter out the strong correlation features that contain repetitive information. Finally, PCA is used to reduce the feature dimensions and improve the performance of pattern recognition.
- (2)
- The final classification performance is not only related to the feature selection algorithm and data processing techniques but also to the design of the classifier. By comparing the classification performance of different classifiers, SVM combined with the MPP feature selection algorithm achieves satisfactory results under the conditions of real time and robustness. The combination of the MPP feature selection method with the machine learning classification model greatly reduces the computational cost and user burden. It provides a reference for future development of online gesture recognition systems.
- (3)
- By using the MPP feature selection method proposed in this study, the optimal subset of features can be filtered for different users simply and efficiently. This method provides a practical approach to solving the problem of low cross-user pattern recognition performance.
2. Materials and Methods
2.1. Subjects
2.2. Experimental Paradigm
2.3. Data Recordings
2.4. Data Preprocessing
2.5. Methods
2.5.1. HD-sEMG-Based Topographic Energy Maps
2.5.2. HD-sEMG-Based Recognition Algorithm
Feature Extraction
Feature Selection
| Algorithm 1 Mutual information–PCA–Pearson correlation coefficient (MPP) | |
| Input: sEMG signal | |
| Output: Optimal feature vector | |
| 1 | Action: |
| 2 | Use the HD-sEMG data to initialize a feature set , where represents the number of feature types. |
| 3 | Calculate the for each feature in by Equations (3) and (4). |
| 4 | The two EMG features with the lowest values in are eliminated, and the remaining features are transferred to an empty set . |
| 5 | Dimension reduction of features in using PCA. Transfer the dimensionality-reduced features in to the empty set . |
| 6 | The principal component that contributes the most to the variance of each feature in is used to form the feature vector . |
| 7 | The Pearson correlation coefficients between the vectors in are calculated by using Equation (5). |
| 8 | Based on the results of step 7, four feature types with low relevance are filtered out from . The features are fused to obtain the optimal feature vector that matches a specific user. |
| 9 | End |
Training and Evaluation
3. Results
3.1. Time- and Frequency-Domain Results of Electromyographic Signals at Various Stages of Preprocessing
3.2. Energy Activation Maps of Forearm Flexor Muscles for Different Gestures
3.3. Scatter Plots of HD-sEMG Features for Different Gestures
3.4. Feature Fusion for Different Gestures
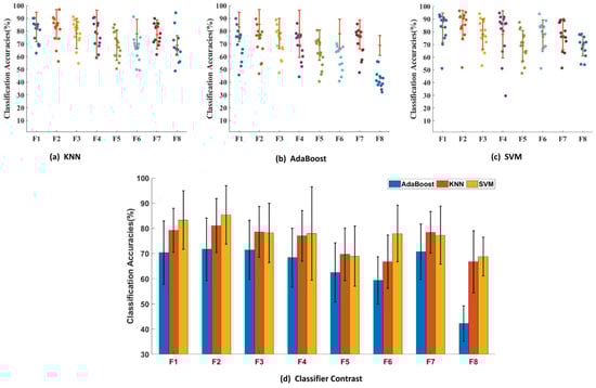
3.5. Comparison of Classifiers
3.6. Gesture Recognition Based on a Single Type of Feature
3.7. Gesture Recognition Based on Fused Features
3.8. Performance Comparison
4. Discussion
5. Conclusions
Author Contributions
Funding
Institutional Review Board Statement
Informed Consent Statement
Data Availability Statement
Conflicts of Interest
References
- Cisnal, A.; Perez-Turiel, J.; Fraile, J.C.; Sierra, D.; de la Fuente, E. RobHand: A Hand Exoskeleton with Real-Time EMG-Driven Embedded Control. Quantifying Hand Gesture Recognition Delays for Bilateral Rehabilitation. IEEE Access 2021, 9, 137809–137823. [Google Scholar] [CrossRef]
- Li, K.X.; Zhang, J.H.; Wang, L.F.; Zhang, M.L.; Li, J.Y.; Bao, S.C. A review of the key technologies for sEMG-based human-robot interaction systems. Biomed. Signal Process. Control 2020, 62, 17. [Google Scholar] [CrossRef]
- Wang, Y.; Liu, H.; Leng, D.; Gao, W.; Cai, M.; Xu, W.; Zhang, X.D.; Shi, Y. New advances in EMG control methods of anthropomorphic prosthetic hand. Sci. China Technol. Sci. 2017, 60, 1978–1979. [Google Scholar] [CrossRef]
- Zhou, H.; Zhang, Q.Q.; Zhang, M.J.; Shahnewaz, S.; Wei, S.C.; Ruan, J.Z.; Zhang, X.Y.; Zhang, L.L. Toward Hand Pattern Recognition in Assistive and Rehabilitation Robotics Using EMG and Kinematics. Front. Neurorobot. 2021, 15, 12. [Google Scholar] [CrossRef]
- Liu, H.Y.; Wang, L.H. Gesture recognition for human-robot collaboration: A review. Int. J. Ind. Ergon. 2018, 68, 355–367. [Google Scholar] [CrossRef]
- Tenore, F.V.G.; Ramos, A.; Fahmy, A.; Acharya, S.; Etienne-Cummings, R.; Thakor, N.V. Decoding of Individuated Finger Movements Using Surface Electromyography. IEEE Trans. Biomed. Eng. 2009, 56, 1427–1434. [Google Scholar] [CrossRef]
- Meng, W.; Liu, Q.; Zhou, Z.D.; Ai, Q.S. Active interaction control applied to a lower limb rehabilitation robot by using EMG recognition and impedance model. Ind. Robot. 2014, 41, 465–479. [Google Scholar] [CrossRef]
- Cheok, M.J.; Omar, Z.; Jaward, M.H. A review of hand gesture and sign language recognition techniques. Int. J. Mach. Learn. Cybern. 2017, 10, 131–153. [Google Scholar] [CrossRef]
- Hermens, H.J.; Boon, K.L.; Zilvold, G. The clinical use of surface EMG. Electromyogr. Clin. Neurophysiol. 1984, 24, 243–265. [Google Scholar]
- Hakonen, M.; Piitulainen, H.; Visala, A. Current state of digital signal processing in myoelectric interfaces and related applications. Biomed. Signal Process. Control 2015, 18, 334–359. [Google Scholar] [CrossRef]
- Atzori, M.; Gijsberts, A.; Castellini, C.; Caputo, B.; Hager, A.G.M.; Elsig, S.; Giatsidis, G.; Bassetto, F.; Muller, H. Electromyography data for non-invasive naturally-controlled robotic hand prostheses. Sci. Data 2014, 1, 13. [Google Scholar] [CrossRef]
- Shim, H.-m.; Lee, S. Multi-channel electromyography pattern classification using deep belief networks for enhanced user experience. J. Cent. South Univ. 2015, 22, 1801–1808. [Google Scholar] [CrossRef]
- Rojas-Martínez, M.; Mañanas, M.A.; Alonso, J.F. High-density surface EMG maps from upper-arm and forearm muscles. J. NeuroEng. Rehabil. 2012, 9, 85. [Google Scholar] [CrossRef]
- Atzori, M.; Cognolato, M.; Muller, H. Deep Learning with Convolutional Neural Networks Applied to Electromyography Data: A Resource for the Classification of Movements for Prosthetic Hands. Front. Neurorobot. 2016, 10, 10. [Google Scholar] [CrossRef]
- Zhang, S.Q.; Zhang, X.; Cao, S.; Gao, X.P.; Chen, X.; Zhou, P. Myoelectric Pattern Recognition Based on Muscle Synergies for Simultaneous Control of Dexterous Finger Movements. IEEE Trans. Hum.-Mach. Syst. 2017, 47, 576–582. [Google Scholar] [CrossRef]
- Zhang, X.; Zhou, P. High-Density Myoelectric Pattern Recognition toward Improved Stroke Rehabilitation. IEEE Trans. Biomed. Eng. 2012, 59, 1649–1657. [Google Scholar] [CrossRef]
- Chen, J.C.; Bi, S.; Zhang, G.; Cao, G.Z. High-Density Surface EMG-Based Gesture Recognition Using a 3D Convolutional Neural Network. Sensors 2020, 20, 1201. [Google Scholar] [CrossRef]
- Xing, K.X.; Yang, P.P.; Huang, J.; Wang, Y.J.; Zhu, Q.M. A real-time EMG pattern recognition method for virtual myoelectric hand control. Neurocomputing 2014, 136, 345–355. [Google Scholar] [CrossRef]
- McCool, P.; Petropoulakis, L.; Soraghan, J.J.; Chatlani, N. Improved pattern recognition classification accuracy for surface myoelectric signals using spectral enhancement. Biomed. Signal Process. Control 2015, 18, 61–68. [Google Scholar] [CrossRef]
- Duan, F.; Dai, L.L.; Chang, W.N.; Chen, Z.Q.; Zhu, C.; Li, W. sEMG-Based Identification of Hand Motion Commands Using Wavelet Neural Network Combined with Discrete Wavelet Transform. IEEE Trans. Ind. Electron. 2016, 63, 1923–1934. [Google Scholar] [CrossRef]
- Chu, J.U.; Moon, I.; Lee, Y.J.; Kim, S.K.; Mun, M.S. A supervised feature-projection-based real-time EMG pattern recognition for multifunction myoelectric hand control. IEEE-ASME Trans. Mechatron. 2007, 12, 282–290. [Google Scholar] [CrossRef]
- Tsai, A.C.; Luh, J.J.; Lin, T.T. A novel STFT-ranking feature of multi-channel EMG for motion pattern recognition. Expert Syst. Appl. 2015, 42, 3327–3341. [Google Scholar] [CrossRef]
- Chu, J.U.; Lee, Y.J. Conjugate-Prior-Penalized Learning of Gaussian Mixture Models for Multifunction Myoelectric Hand Control. IEEE Trans. Neural Syst. Rehabil. Eng. 2009, 17, 287–297. [Google Scholar] [CrossRef]
- Huang, Y.H.; Englehart, K.B.; Hudgins, B.; Chan, A.D.C. A Gaussian mixture model based classification scheme for myoelectric control of powered upper limb prostheses. IEEE Trans. Biomed. Eng. 2005, 52, 1801–1811. [Google Scholar] [CrossRef]
- Chan, A.D.C.; Englehart, K.B. Continuous myoelectric control for powered prostheses using hidden Markov models. IEEE Trans. Biomed. Eng. 2005, 52, 121–124. [Google Scholar] [CrossRef]
- Chen, X.; Wang, Z.J. Pattern recognition of number gestures based on a wireless surface EMG system. Biomed. Signal Process. Control 2013, 8, 184–192. [Google Scholar] [CrossRef]
- Al Omari, F.; Hui, J.; Mei, C.L.; Liu, G.H. Pattern Recognition of Eight Hand Motions Using Feature Extraction of Forearm EMG Signal. Proc. Nat. Acad. Sci. India A 2014, 84, 473–480. [Google Scholar] [CrossRef]
- Rehman, M.Z.U.; Waris, A.; Gilani, S.O.; Jochumsen, M.; Niazi, I.K.; Jamil, M.; Farina, D.; Kamavuako, E.N. Multiday EMG-Based Classification of Hand Motions with Deep Learning Techniques. Sensors 2018, 18, 2497. [Google Scholar] [CrossRef]
- Geng, W.D.; Du, Y.; Jin, W.G.; Wei, W.T.; Hu, Y.; Li, J.J. Gesture recognition by instantaneous surface EMG images. Sci. Rep. 2016, 6, 8. [Google Scholar] [CrossRef]
- Cheng, J.; Wei, F.L.; Li, C.; Liu, Y.; Liu, A.P.; Chen, X. Position-independent gesture recognition using sEMG signals via canonical correlation analysis. Comput. Biol. Med. 2018, 103, 44–54. [Google Scholar] [CrossRef]
- Phinyomark, A.; Quaine, F.; Charbonnier, S.; Serviere, C.; Tarpin-Bernard, F.; Laurillau, Y. EMG feature evaluation for improving myoelectric pattern recognition robustness. Expert Syst. Appl. 2013, 40, 4832–4840. [Google Scholar] [CrossRef]
- Phinyomark, A.; Phukpattaranont, P.; Limsakul, C. Feature reduction and selection for EMG signal classification. Expert Syst. Appl. 2012, 39, 7420–7431. [Google Scholar] [CrossRef]
- Doswald, A.; Carrino, F.; Ringeval, F. Advanced Processing of sEMG Signals for User Independent Gesture Recognition. In Proceedings of the XIII Mediterranean Conference on Medical and Biological Engineering and Computing 2013: MEDICON 2013, Seville, Spain, 25–28 September 2013; Springer International Publishing: Cham, Switzerland, 2014; pp. 758–761. [Google Scholar]
- Yan, Z.; Wang, Z.; Xie, H. The application of mutual information-based feature selection and fuzzy LS-SVM-based classifier in motion classification. Comput. Methods Programs Biomed. 2008, 90, 275–284. [Google Scholar] [CrossRef]
- Khushaba, R.N.; Kodagoda, S. Electromyogram (EMG) feature reduction using Mutual Components Analysis for multifunction prosthetic fingers control. In Proceedings of the 2012 12th International Conference on Control Automation Robotics & Vision (ICARCV), Guangzhou, China, 5–7 December 2012; pp. 1534–1539. [Google Scholar]
- Al-Angari, H.M.; Kanitz, G.; Tarantino, S.; Cipriani, C. Distance and mutual information methods for EMG feature and channel subset selection for classification of hand movements. Biomed. Signal Process. Control 2016, 27, 24–31. [Google Scholar] [CrossRef]
- Bullock, I.M.; Zheng, J.Z.; Rosa, S.D.L.; Guertler, C.; Dollar, A.M. Grasp Frequency and Usage in Daily Household and Machine Shop Tasks. IEEE Trans. Haptics 2013, 6, 296–308. [Google Scholar] [CrossRef]
- Peng, X.D.; Zhou, X.; Zhu, H.Q.; Ke, Z.J.; Pan, C.C. MSFF-Net: Multi-Stream Feature Fusion Network for surface electromyography gesture recognition. PLoS ONE 2022, 17, e0276436. [Google Scholar] [CrossRef]
- Zhang, X.; Zhang, X.; Wu, L.; Li, C.; Chen, X.; Chen, X. Domain Adaptation With Self-Guided Adaptive Sampling Strategy: Feature Alignment for Cross-User Myoelectric Pattern Recognition. IEEE Trans. Neural Syst. Rehabil. Eng. 2022, 30, 1374–1383. [Google Scholar] [CrossRef]
- Xue, B.; Wu, L.; Liu, A.; Zhang, X.; Chen, X.; Chen, X. Reduce the User Burden of Multiuser Myoelectric Interface via Few-Shot Domain Adaptation. IEEE Trans. Neural Syst. Rehabil. Eng. 2023, 31, 972–980. [Google Scholar] [CrossRef]
- Zhang, A.; Niu, Y.; Gao, Y.; Wu, J.; Gao, Z. Second-order information bottleneck based spiking neural networks for sEMG recognition. Inf. Sci. 2022, 585, 543–558. [Google Scholar] [CrossRef]
- Xi, X.; Zhang, Y.; Zhao, Y.; She, Q.; Luo, Z. Denoising of surface electromyogram based on complementary ensemble empirical mode decomposition and improved interval thresholding. Rev. Sci. Instrum. 2019, 90, 035003. [Google Scholar] [CrossRef]
- Englehart, K.; Hudgin, B.; Parker, P.A. A wavelet-based continuous classification scheme for multifunction myoelectric control. IEEE Trans. Biomed. Eng. 2001, 48, 302–311. [Google Scholar] [CrossRef]
- Srisuwan, N.; Phukpattaranont, P.; Limsakul, C. Comparison of feature evaluation criteria for speech recognition based on electromyography. Med. Biol. Eng. Comput. 2018, 56, 1041–1051. [Google Scholar] [CrossRef]
- Chowdhury, R.H.; Reaz, M.B.I.; Ali, M.A.B.; Bakar, A.A.A.; Chellappan, K.; Chang, T.G. Surface Electromyography Signal Processing and Classification Techniques. Sensors 2013, 13, 12431–12466. [Google Scholar] [CrossRef]
- Rojas-Martínez, M.; Serna, L.Y.; Jordanic, M.; Marateb, H.R.; Merletti, R.; Mañanas, M.A. High-density surface electromyography signals during isometric contractions of elbow muscles of healthy humans. Sci. Data 2020, 7, 397. [Google Scholar] [CrossRef]
- Amma, C.; Krings, T.; Böer, J.; Schultz, T. Advancing Muscle-Computer Interfaces with High-Density Electromyography. In Proceedings of the 33rd Annual ACM Conference on Human Factors in Computing Systems, Seoul, Republic of Korea, 18–23 April 2015. [Google Scholar]










| Feature | Mathematical Expression |
|---|---|
| Mean Absolute Value (MAV) | |
| Root Mean Square (RMS) | |
| Variance (VAR) | |
| Waveform Length (WL) | |
| Peak Frequency (PKF) | |
| Mean Frequency (MNF) | |
| Median Frequency (MDF) | |
| Wavelet Packet Energy (WPE) |
| Subject | Feature Selection |
|---|---|
| 1 | (MAV, RMS, VAR, WL, PKF, MNF, MDF, WPE) |
| 2 | (MAV, RMS, VAR, WL, PKF, MNF, MDF, WPE) |
| 3 | (MAV, RMS, VAR, WL, PKF, MNF, MDF, WPE) |
| 4 | (MAV, RMS, VAR, WL, PKF, MNF, MDF, WPE) |
| 5 | (MAV, RMS, VAR, WL, PKF, MNF, MDF, WPE) |
| 6 | (MAV, RMS, VAR, WL, PKF, MNF, MDF, WPE) |
| 7 | (MAV, RMS, VAR, WL, PKF, MNF, MDF, WPE) |
| 8 | (MAV, RMS, VAR, WL, PKF, MNF, MDF, WPE) |
| 9 | (MAV, RMS, VAR, WL, PKF, MNF, MDF, WPE) |
| 10 | (MAV, RMS, VAR, WL, PKF, MNF, MDF, WPE) |
| 11 | (MAV, RMS, VAR, WL, PKF, MNF, MDF, WPE) |
| 12 | (MAV, RMS, VAR, WL, PKF, MNF, MDF, WPE) |
| 13 | (MAV, RMS, VAR, WL, PKF, MNF, MDF, WPE) |
| 14 | (MAV, RMS, VAR, WL, PKF, MNF, MDF, WPE) |
| Methods | Parameters | Time (s) | Acc (%) |
|---|---|---|---|
| KNN | ✗ | 136.14 | 85.51 |
| AdaBoost | ✗ | 45.15 | 88.43 |
| SVM | ✗ | 46.11 | 91.16 |
| CNN | 166,789 | 991.728 | 90.78 |
| CNN_LSTM | 241,029 | 1063.68 | 92.43 |
| Subject | Feature Fusion | Feature Selection | |||
|---|---|---|---|---|---|
| F1 | F2 | F3 | F4 | ||
| 1 | 96.15 | 93.35 | 94.79 | 94.07 | 87.26 |
| 2 | 95.11 | 91.75 | 86.54 | 87.74 | 87.74 |
| 3 | 96.31 | 92.15 | 91.59 | 83.33 | 89.26 |
| 4 | 93.59 | 82.45 | 82.45 | 51.2 | 79.09 |
| 5 | 90.46 | 89.18 | 75.03 | 86.46 | 76.12 |
| 6 | 86.92 | 51.14 | 51.14 | 80.25 | 51.47 |
| 7 | 85.11 | 74.44 | 65.63 | 64.47 | 64.98 |
| 8 | 90.06 | 90.46 | 80.62 | 76.12 | 75.96 |
| 9 | 92.63 | 91.02 | 89.82 | 84.05 | 89.61 |
| 10 | 94.63 | 89.58 | 90.14 | 91.58 | 88.78 |
| 11 | 91.83 | 77.64 | 68.91 | 68.19 | 63.30 |
| 12 | 92.63 | 83.57 | 85.49 | 81.33 | 64.18 |
| 13 | 78.64 | 95.35 | 76.28 | 79.65 | 75.56 |
| 14 | 92.26 | 89.42 | 86.62 | 88.78 | 72.52 |
| Mean (%) | 91.17 | 85.11 | 80.36 | 79.80 | 79.13 |
| Std | 4.95 | 11.49 | 12.01 | 11.65 | 11.88 |
Disclaimer/Publisher’s Note: The statements, opinions and data contained in all publications are solely those of the individual author(s) and contributor(s) and not of MDPI and/or the editor(s). MDPI and/or the editor(s) disclaim responsibility for any injury to people or property resulting from any ideas, methods, instructions or products referred to in the content. |
© 2024 by the authors. Licensee MDPI, Basel, Switzerland. This article is an open access article distributed under the terms and conditions of the Creative Commons Attribution (CC BY) license (https://creativecommons.org/licenses/by/4.0/).
Share and Cite
Chen, X.; Yang, H.; Zhang, D.; Hu, X.; Xie, P. Hand Gesture Recognition Based on High-Density Myoelectricity in Forearm Flexors in Humans. Sensors 2024, 24, 3970. https://doi.org/10.3390/s24123970
Chen X, Yang H, Zhang D, Hu X, Xie P. Hand Gesture Recognition Based on High-Density Myoelectricity in Forearm Flexors in Humans. Sensors. 2024; 24(12):3970. https://doi.org/10.3390/s24123970
Chicago/Turabian StyleChen, Xiaoling, Huaigang Yang, Dong Zhang, Xinfeng Hu, and Ping Xie. 2024. "Hand Gesture Recognition Based on High-Density Myoelectricity in Forearm Flexors in Humans" Sensors 24, no. 12: 3970. https://doi.org/10.3390/s24123970
APA StyleChen, X., Yang, H., Zhang, D., Hu, X., & Xie, P. (2024). Hand Gesture Recognition Based on High-Density Myoelectricity in Forearm Flexors in Humans. Sensors, 24(12), 3970. https://doi.org/10.3390/s24123970
