Design of Fluxgate Current Sensor Based on Magnetization Residence Times and Neural Networks
Abstract
1. Introduction
- We have observed and comprehensively explained the unique ‘M’-shaped magnetization within the fluxgate current sensor for the first time, employing our proposed magnetic microelements method.
- We have established theoretical support for current sensing and ambient interference suppression by analyzing the nonlinear coupling between magnetization residence times and the magnetic field within the M waveforms.
- We have integrated neural networks with the sensing mechanism innovatively to facilitate high-precision target current extraction.
2. Structure of the Sensor Probe
3. Theoretical Support and Detection Strategy
3.1. Theoretical Modeling
3.2. Numerical Analysis
3.3. Residence Times of Magnetization States
3.4. Neural Networks-Based Detection
4. Circuits Design
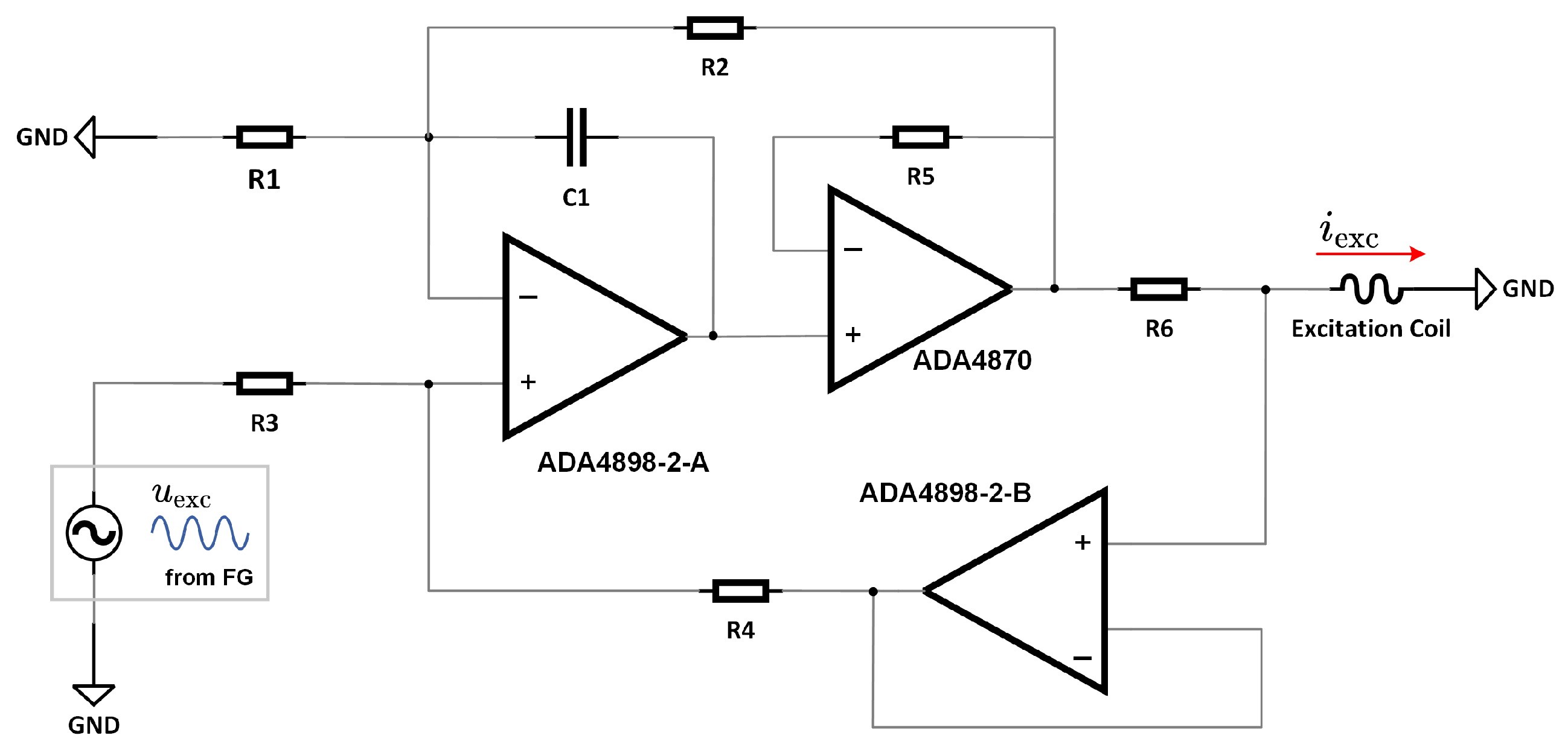
4.1. Current Drive Circuit for Excitation Coil
4.2. Conditioning Circuit for Residence Times Detection
4.3. Timing Sequence Detection
5. Results
5.1. Experimental Setup
5.2. Experimental Data and Traditional RTD Estimation
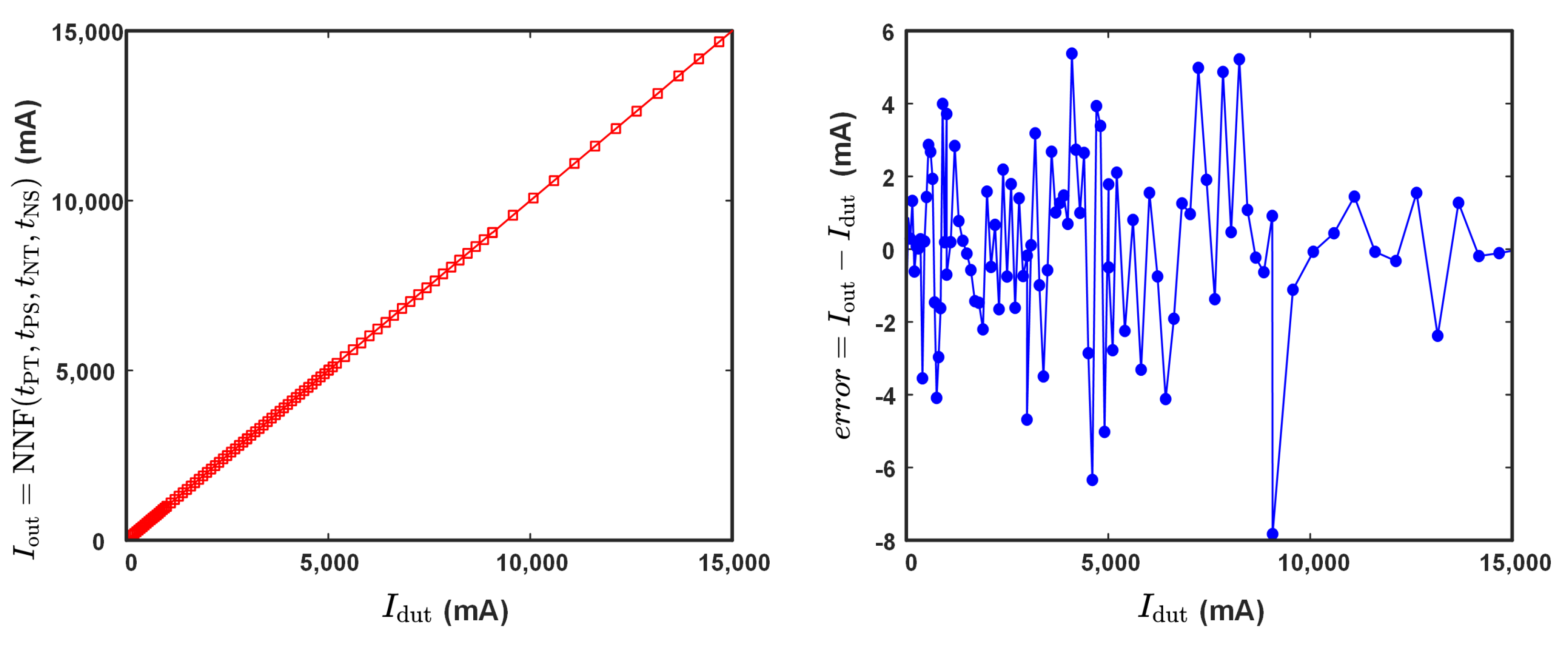
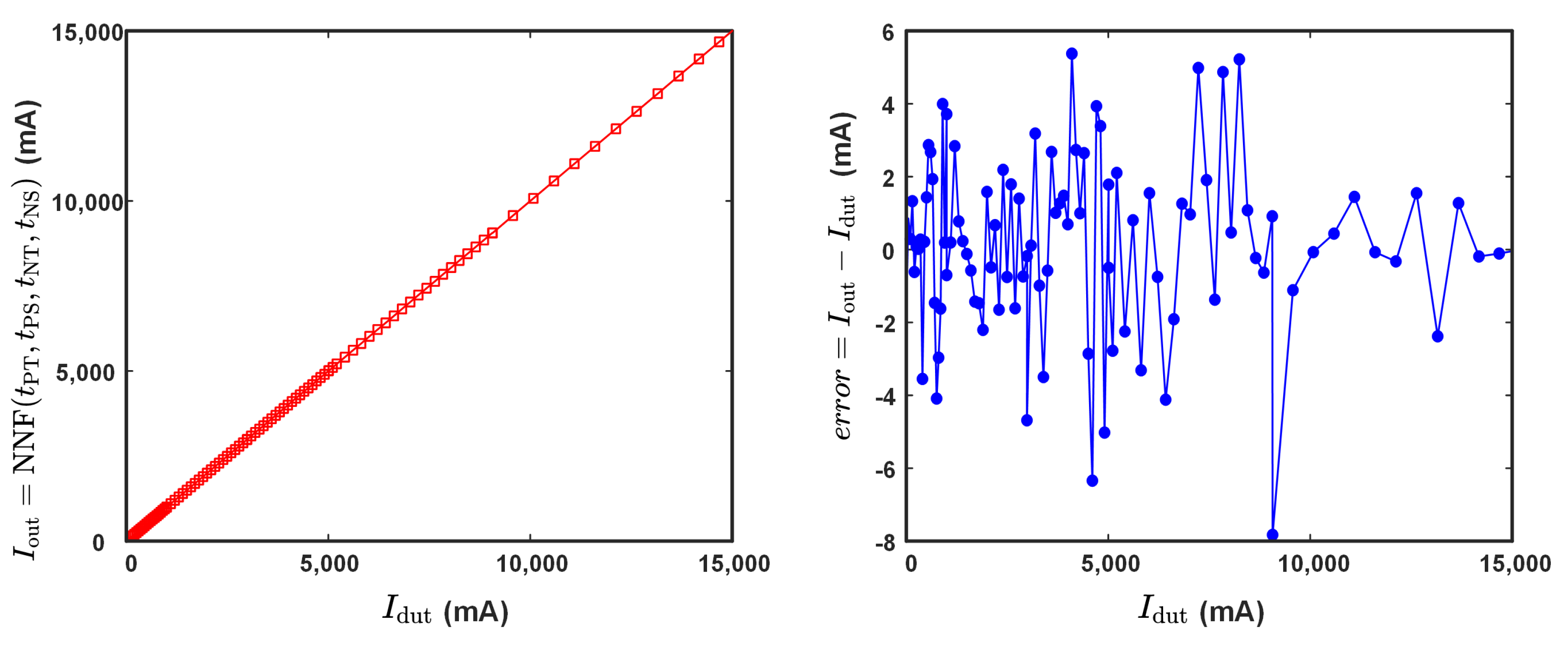
5.3. Neural Networks Training and Sensor Calibration
6. Discussion
Author Contributions
Funding
Institutional Review Board Statement
Informed Consent Statement
Data Availability Statement
Acknowledgments
Conflicts of Interest
References
- Ziegler, S.; Woodward, R.C.; Iu, H.H.C.; Borle, L.J. Current Sensing Techniques: A Review. IEEE Sens. J. 2009, 9, 354–376. [Google Scholar] [CrossRef]
- Ripka, P. Electric current sensors: A review. Meas. Sci. Technol. 2010, 21, 112001. [Google Scholar] [CrossRef]
- Nanyan, A.N.; Isa, M.; Hamid, H.A.; Rohani, M.N.K.H.; Ismail, B. The Rogowski Coil Sensor in High Current Application: A Review. IOP Conf. Ser. Mater. Sci. Eng. 2018, 318, 012054. [Google Scholar] [CrossRef]
- Wei, S.; Liao, X.; Zhang, H.; Pang, J.; Zhou, Y. Recent Progress of Fluxgate Magnetic Sensors: Basic Research and Application. Sensors 2021, 21, 1500. [Google Scholar] [CrossRef]
- Ying, D.; Hall, D.A. Current Sensing Front-Ends: A Review and Design Guidance. IEEE Sens. J. 2021, 21, 22329–22346. [Google Scholar] [CrossRef]
- Dianov, A. Recommendations and typical errors in design of power converter PCBs with shunt sensors. IEEE Open J. Ind. Electron. Soc. 2022, 3, 329–338. [Google Scholar] [CrossRef]
- Rathore, B.; Dadhich, A. A Review Paper on Current Transformer. INROADS-Int. J. Jaipur Natl. Univ. 2016, 5, 145–148. [Google Scholar] [CrossRef]
- Crescentini, M.; Syeda, S.F.; Gibiino, G.P. Hall-effect current sensors: Principles of operation and implementation techniques. IEEE Sens. J. 2021, 22, 10137–10151. [Google Scholar] [CrossRef]
- Rifai, D.; Abdalla, A.N.; Ali, K.; Razali, R. Giant magnetoresistance sensors: A review on structures and non-destructive eddy current testing applications. Sensors 2016, 16, 298. [Google Scholar] [CrossRef]
- Wang, R.; Xu, S.; Li, W.; Wang, X. Optical fiber current sensor research: Review and outlook. Opt. Quantum Electron. 2016, 48, 442. [Google Scholar] [CrossRef]
- Xu, J.; Wang, J.; Li, S.; Cao, B. A method to simultaneously detect the current sensor fault and estimate the state of energy for batteries in electric vehicles. Sensors 2016, 16, 1328. [Google Scholar] [CrossRef]
- Lu, J.; Hu, Y.; Chen, G.; Wang, Z.; Liu, J. Mutual calibration of multiple current sensors with accuracy uncertainties in IPMSM drives for electric vehicles. IEEE Trans. Ind. Electron. 2019, 67, 69–79. [Google Scholar] [CrossRef]
- Komsiyska, L.; Buchberger, T.; Diehl, S.; Ehrensberger, M.; Hanzl, C.; Hartmann, C.; Hölzle, M.; Kleiner, J.; Lewerenz, M.; Liebhart, B.; et al. Critical review of intelligent battery systems: Challenges, implementation, and potential for electric vehicles. Energies 2021, 14, 5989. [Google Scholar] [CrossRef]
- Aguilera, F.; de la Barrera, P.M.; De Angelo, C.H. Speed and current sensor fault-tolerant induction motor drive for electric vehicles based on virtual sensors. Electr. Eng. 2022, 104, 3157–3171. [Google Scholar] [CrossRef]
- Zou, B.; Zhang, L.; Xue, X.; Tan, R.; Jiang, P.; Ma, B.; Song, Z.; Hua, W. A review on the fault and defect diagnosis of lithium-ion battery for electric vehicles. Energies 2023, 16, 5507. [Google Scholar] [CrossRef]
- Basu, A.K.; Tatiya, S.; Bhattacharya, S. Overview of electric vehicles (EVs) and EV sensors. In Sensors for Automotive and Aerospace Applications; Springer: Singapore, 2019; pp. 107–122. [Google Scholar]
- Mironenko, O.; Kempton, W. Comparing Devices for Concurrent Measurement of AC Current and DC Injection during Electric Vehicle Charging. World Electr. Veh. J. 2020, 11, 57. [Google Scholar] [CrossRef]
- Mironenko, O.; Kempton, W.; Kiamilev, F. Current-Sensing Techniques for Revenue Metering and for Detecting Direct Current Injection from Electric Vehicles. SAE Int. J. Electrified Veh. 2021, 10, 137–146. [Google Scholar] [CrossRef]
- Watanabe, Y.; Otsubo, M.; Takahashi, A.; Yanai, T.; Nakano, M.; Fukunaga, H. Temperature Characteristics of a Fluxgate Current Sensor With Fe–Ni–Co Ring Core. IEEE Trans. Magn. 2015, 51, 4004104. [Google Scholar] [CrossRef]
- Garcha, P.; Schaffer, V.; Haroun, B.; Ramaswamy, S.; Wieser, J.; Lang, J.; Chandraksan, A. A Duty-Cycled Integrated-Fluxgate Magnetometer for Current Sensing. IEEE J. Solid-State Circuits 2022, 57, 2741–2751. [Google Scholar] [CrossRef]
- Lu, C.C.; Lin, Y.C.; Tian, Y.Z.; Jeng, J.T. Hybrid Microfluxgate and Current Transformer Sensor. IEEE Trans. Magn. 2022, 58, 8002105. [Google Scholar] [CrossRef]
- Wei, Y.; Li, C.; Zhao, W.; Xue, M.; Cao, B.; Chu, X.; Ye, C. Electrical Compensation for Magnetization Distortion of Magnetic Fluxgate Current Sensor. IEEE Trans. Instrum. Meas. 2022, 71, 9503409. [Google Scholar] [CrossRef]
- Ding, Z.; Wang, J.; Li, C.; Wang, K.; Shao, H. A Wideband Closed-Loop Residual Current Sensor Based on Self-Oscillating Fluxgate. IEEE Access 2023, 11, 134126–134135. [Google Scholar] [CrossRef]
- Yang, X.; Guo, W.; Li, C.; Zhu, B.; Chen, T.; Ge, W. Design Optimization of a Fluxgate Current Sensor With Low Interference. IEEE Trans. Appl. Supercond. 2016, 26, 9001205. [Google Scholar] [CrossRef]
- Chen, Y.; Huang, Q.; Khawaja, A.H. An Interference-Rejection Strategy for Measurement of Small Current Under Strong Interference With Magnetic Sensor Array. IEEE Sens. J. 2019, 19, 692–700. [Google Scholar] [CrossRef]
- Itzke, A.; Weiss, R.; DiLeo, T.; Weigel, R. The Influence of Interference Sources on a Magnetic Field-Based Current Sensor for Multiconductor Measurement. IEEE Sens. J. 2018, 18, 6782–6787. [Google Scholar] [CrossRef]
- Lu, C.; Zhou, H.; Li, L.; Yang, A.; Xu, C.; Ou, Z.; Wang, J.; Wang, X.; Tian, F. Split-core magnetoelectric current sensor and wireless current measurement application. Measurement 2022, 188, 110527. [Google Scholar] [CrossRef]
- Chen, Y.; Huang, Q.; Khawaja, A.H. Interference-rejecting current measurement method with tunnel magnetoresistive magnetic sensor array. IET Sci. Meas. Technol. 2018, 12, 733–738. [Google Scholar] [CrossRef]
- Weiss, R.; Itzke, A.; Reitenspieß, J.; Hoffmann, I.; Weigel, R. A Novel Closed Loop Current Sensor Based on a Circular Array of Magnetic Field Sensors. IEEE Sens. J. 2019, 19, 2517–2524. [Google Scholar] [CrossRef]
- Yang, X.; Guo, W.; Li, C.; Zhu, B.; Pang, L.; Wang, Y. A Fluxgate Current Sensor With a U-Shaped Magnetic Gathering Shell. IEEE Trans. Magn. 2015, 51, 4005504. [Google Scholar] [CrossRef]
- Tan, X.; Li, W.; Qian, G.; Ao, G.; Xu, X.; Wei, R.; Ke, Y.; Zhang, W. Design of a Fluxgate Weak Current Sensor with Anti-Low Frequency Interference Ability. Energies 2022, 15, 8489. [Google Scholar] [CrossRef]
- Bulsara, A.R.; Seberino, C.; Gammaitoni, L.; Karlsson, M.F.; Lundqvist, B.; Robinson, J.W.C. Signal detection via residence-time asymmetry in noisy bistable devices. Phys. Rev. E 2003, 67, 016120. [Google Scholar] [CrossRef]
- Ando, B.; Baglio, S.; Bulsara, A.; Sacco, V. “Residence times difference” fluxgate magnetometers. IEEE Sens. J. 2005, 5, 895–904. [Google Scholar] [CrossRef]
- Baglio, S.; Bulsara, A.R.; Andò, B.; La Malfa, S.; Marletta, V.; Trigona, C.; Longhini, P.; Kho, A.; In, V.; Neff, J.D.; et al. Exploiting Nonlinear Dynamics in Novel Measurement Strategies and Devices: From Theory to Experiments and Applications. IEEE Trans. Instrum. Meas. 2011, 60, 667–695. [Google Scholar] [CrossRef]
- Li, J.; Zhang, X.; Shi, J.; Heidari, H.; Wang, Y. Performance Degradation Effect Countermeasures in Residence Times Difference (RTD) Fluxgate Magnetic Sensors. IEEE Sens. J. 2019, 19, 11819–11827. [Google Scholar] [CrossRef]
- Wang, Y.; Wu, S.; Zhou, Z.; Cheng, D.; Pang, N.; Wan, Y. Research on the dynamic hysteresis loop model of the residence times difference (RTD)-fluxgate. Sensors 2013, 13, 11539–11552. [Google Scholar] [CrossRef]
- Andò, B.; Ascia, A.; Baglio, S.; Bulsara, A.; Neff, J.; In, V. Towards an optimal readout of a residence times difference (RTD) Fluxgate magnetometer. Sens. Actuators A Phys. 2008, 142, 73–79. [Google Scholar] [CrossRef]
- Trigona, C.; Sinatra, V.; Andò, B.; Baglio, S.; Bulsara, A.R. Flexible Microwire Residence Times Difference Fluxgate Magnetometer. IEEE Trans. Instrum. Meas. 2017, 66, 559–568. [Google Scholar] [CrossRef]
- Pang, N.; Wang, D.; Yang, Y.; Wang, R. Research on a Time Difference Processing Method for RTD-Fluxgate Data Based on the Combination of the Mahalanobis Distance and Group Covariance. Sensors 2023, 23, 9223. [Google Scholar] [CrossRef]
- Trigona, C.; Sinatra, V.; Andò, B.; Baglio, S.; Bulsara, A.R.; Mostile, G.; Nicoletti, A.; Zappia, M. Measurements of Iron Compound Content in the Brain Using a Flexible Core Fluxgate Magnetometer at Room Temperature. IEEE Trans. Instrum. Meas. 2018, 67, 971–980. [Google Scholar] [CrossRef]
- Andò, B.; Baglio, S.; Crispino, R.; Graziani, S.; Marletta, V.; Mazzaglia, A.; Sinatra, V.; Mascali, D.; Torrisi, G. A Fluxgate-Based Approach for Ion Beam Current Measurement in ECRIS Beamline: Design and Preliminary Investigations. IEEE Trans. Instrum. Meas. 2019, 68, 1477–1484. [Google Scholar] [CrossRef]
- Trigona, C.; Sinatra, V.; Andò, B.; Baglio, S.; Bulsara, A. RTD-Fluxgate magnetometers for detecting iron accumulation in the brain. IEEE Instrum. Meas. Mag. 2020, 23, 7–13. [Google Scholar] [CrossRef]
- Trujillo, H.; Cruz, J.; Rivero, M.; Barrios, M. Analysis of the fluxgate response through a simple spice model. Sens. Actuators A Phys. 1999, 75, 1–7. [Google Scholar] [CrossRef]
- Guerra, F.; Mota, W. Magnetic core model. IET Sci. Meas. Technol. 2007, 1, 145–151. [Google Scholar] [CrossRef]
- KOHSHIN. HF-A06V0625PP5D. 2024. Available online: https://www.kohshin-ele.com/en/products/currentsensor/fluxgate/HF/HF-A/ (accessed on 31 May 2024).
- Ponjavic, M.; Veinovic, S. Low-power self-oscillating fluxgate current sensor based on Mn-Zn ferrite cores. J. Magn. Magn. Mater. 2021, 518, 167368. [Google Scholar] [CrossRef]
















| Thickness | Composition | Saturation Density | Magnetic Coercivity | Maximum Permeability |
|---|---|---|---|---|
| 20 µm | 0.48 T | 0.22 A/m | >580,000 |
| Model | Measurement Range (A) | Linearity Error (%) |
|---|---|---|
| Sensor with nerual network combined RTD | 15 | 0.054 |
| Sensor with the traditional RTD | 6 | 2.17 |
Disclaimer/Publisher’s Note: The statements, opinions and data contained in all publications are solely those of the individual author(s) and contributor(s) and not of MDPI and/or the editor(s). MDPI and/or the editor(s) disclaim responsibility for any injury to people or property resulting from any ideas, methods, instructions or products referred to in the content. |
© 2024 by the authors. Licensee MDPI, Basel, Switzerland. This article is an open access article distributed under the terms and conditions of the Creative Commons Attribution (CC BY) license (https://creativecommons.org/licenses/by/4.0/).
Share and Cite
Li, J.; Ren, W.; Luo, Y.; Zhang, X.; Liu, X.; Zhang, X. Design of Fluxgate Current Sensor Based on Magnetization Residence Times and Neural Networks. Sensors 2024, 24, 3752. https://doi.org/10.3390/s24123752
Li J, Ren W, Luo Y, Zhang X, Liu X, Zhang X. Design of Fluxgate Current Sensor Based on Magnetization Residence Times and Neural Networks. Sensors. 2024; 24(12):3752. https://doi.org/10.3390/s24123752
Chicago/Turabian StyleLi, Jingjie, Wei Ren, Yanshou Luo, Xutong Zhang, Xinpeng Liu, and Xue Zhang. 2024. "Design of Fluxgate Current Sensor Based on Magnetization Residence Times and Neural Networks" Sensors 24, no. 12: 3752. https://doi.org/10.3390/s24123752
APA StyleLi, J., Ren, W., Luo, Y., Zhang, X., Liu, X., & Zhang, X. (2024). Design of Fluxgate Current Sensor Based on Magnetization Residence Times and Neural Networks. Sensors, 24(12), 3752. https://doi.org/10.3390/s24123752

