Practical NIR Assay Derived from Cyanine to Evaluate Intracellular H2S in Living Cell Imaging
Abstract
1. Introduction
2. Materials and Methods
2.1. Materials
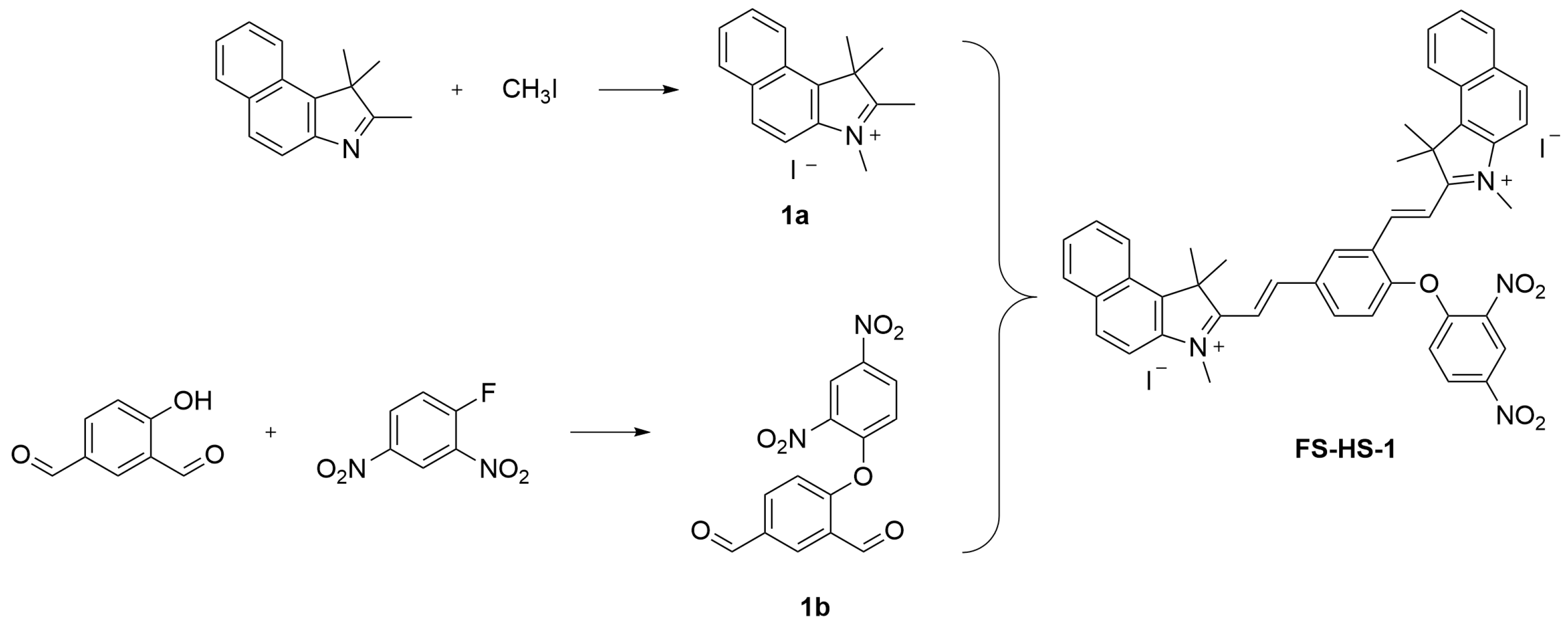
2.2. Synthesis of Probe FS-HS-1
2.3. Selective Analysis Experiments
2.4. Reaction Time Analysis Experiments
2.5. Titration Experiment
2.6. Potential Applications in Cells
3. Results and Discussion
3.1. Selective Analysis Experiments
3.2. Response Time and pH Experiments
3.3. Titration Experiments of FS-HS-1
3.4. Proposed Mechanism of FS-HS-1 towards H2S
3.5. Potential Application of Probe FS-HS-1 in Cells
3.5.1. Cytotoxicity Assay
3.5.2. Single-Photon Cell Imaging Experiment
3.5.3. Two-Photon Cell Imaging Experiment
4. Conclusions
Supplementary Materials
Author Contributions
Funding
Institutional Review Board Statement
Informed Consent Statement
Data Availability Statement
Acknowledgments
Conflicts of Interest
References
- Pant, J.; Mondal, A.; Manuel, J.; Singha, P.; Mancha, J.; Handa, H. H2S-Releasing Composite: A Gasotransmitter Platform for Potential Biomedical Applications. ACS Biomater. Sci. Eng. 2020, 6, 2062–2071. [Google Scholar] [CrossRef] [PubMed]
- Smith, H.M.; Pluth, M.D. Advances and Opportunities in H2S Measurement in Chemical Biology. JACS Au 2023, 3, 2677–2691. [Google Scholar] [CrossRef]
- Sun, X.; Wang, W.; Dai, J.; Jin, S.; Huang, J.; Guo, C.; Wang, C.; Pang, L.; Wang, Y. A Long-Term and Slow-Releasing Hydrogen Sulfide Donor Protects against Myocardial Ischemia/Reperfusion Injury. Sci. Rep. 2017, 7, 3541. [Google Scholar] [CrossRef] [PubMed]
- Bai, L.; Dai, J.; Xia, Y.; He, K.; Xue, H.; Guo, Q.; Tian, D.; Xiao, L.; Zhang, X.; Teng, X.; et al. Hydrogen Sulfide Ameliorated High Choline-Induced Cardiac Dysfunction by Inhibiting cGAS-STING-NLRP3 Inflammasome Pathway. Oxidative Med. Cell. Longev. 2022, 2022, 1392896. [Google Scholar] [CrossRef]
- Hu, X.; Xiao, Y.; Sun, J.; Ji, B.; Luo, S.; Wu, B.; Zheng, C.; Wang, P.; Xu, F.; Cheng, K.; et al. New possible silver lining for pancreatic cancer therapy: Hydrogen sulfide and its donors. Acta Pharm. Sin. B 2021, 11, 1148–1157. [Google Scholar] [CrossRef] [PubMed]
- Elrod, J.W.; Calvert, J.W.; Morrison, J.; Doeller, J.E.; Kraus, D.W.; Tao, L.; Jiao, X.; Scalia, R.; Kiss, L.; Szabo, C.; et al. Hydrogen sulfide attenuates myocardial ischemia-reperfusion injury by preservation of mitochondrial function. Proc. Natl. Acad. Sci. USA 2007, 104, 15560–15565. [Google Scholar] [CrossRef]
- Shackelford, R.; Ozluk, E.; Islam, M.Z.; Hopper, B.; Meram, A.; Ghali, G.; Kevil, C.G. Hydrogen sulfide and DNA repair. Redox Biol 2021, 38, 101675. [Google Scholar] [CrossRef]
- Cirino, G.; Szabo, C.; Papapetropoulos, A. Physiological roles of hydrogen sulfide in mammalian cells, tissues, and organs. Physiol. Rev. 2023, 103, 31–276. [Google Scholar] [CrossRef]
- Duan, L.; Zhang, A. Progress of hydrogen sulfide in lung cancer. Cancer Prog. 2021, 19, 1405–1408. [Google Scholar]
- Li, J.; Su, Z.; Yu, C.; Yuan, Y.; Wu, Q.; Liu, J.; Peng, B.; Hu, W.; Lu, X.; Yu, H.; et al. Recent progress in the development of sensing systems for in vivo detection of biological hydrogen sulfide. Dye. Pigment. 2021, 192, 109451. [Google Scholar] [CrossRef]
- Vandiver, M.S.; Snyder, S.H. Hydrogen sulfide: A gasotransmitter of clinical relevance. J. Mol. Med. 2012, 90, 255–263. [Google Scholar] [CrossRef] [PubMed]
- Olas, B. Gasomediators (NO, CO, and H2S) and their role in hemostasis and thrombosis. Clin. Chim. Acta 2015, 445, 115–121. [Google Scholar] [CrossRef] [PubMed]
- Li, N.; Fan, X.; Wang, Z.; Hu, W.; Yang, H.; Xiong, Y.; Yu, G. Establishment and Validation of a Method for the Detection of Hydrogen Sulfide in Organs by Fluorescent Probe Method. Chin. Pharmacol. Bull. 2023, 39, 1592–1598. [Google Scholar] [CrossRef]
- Lin, V.S.; Lippert, A.R.; Chang, C.J. Chapter Four—Azide-Based Fluorescent Probes: Imaging Hydrogen Sulfide in Living Systems. Methods Enzymol. 2015, 554, 63–80. [Google Scholar] [CrossRef] [PubMed]
- Zhou, Y.; Chen, W.; Zhu, J.; Pei, W.; Wang, C.; Huang, L.; Yao, C.; Yan, Q.; Huang, W.; Loo, J.S.C.; et al. Inorganic-Organic Hybrid Nanoprobe for NIR-Excited Imaging of Hydrogen Sulfide in Cell Cultures and Inflammation in a Mouse Model. Small 2014, 10, 4874–4885. [Google Scholar] [CrossRef]
- Lin, V.S.; Chen, W.; Xian, M.; Chang, C.J. Chemical probes for molecular imaging and detection of hydrogen sulfide and reactive sulfur species in biological systems. Chem. Soc. Rev. 2015, 44, 4596–4618. [Google Scholar] [CrossRef]
- Jose, D.A.; Sakla, R.; Sharma, N.; Gadiyaram, S.; Kaushik, R.; Ghosh, A. Sensing and Bioimaging of the Gaseous Signaling Molecule Hydrogen Sulfide by Near-Infrared Fluorescent Probes. ACS Sens. 2020, 5, 3365–3391. [Google Scholar] [CrossRef]
- Qin, X.; Liu, X.; Wang, J.; Chen, H.; Shen, X.-C. A NIR ratiometric fluorescent probe for the rapid detection of hydrogen sulfide in living cells and zebrafish. Talanta 2024, 266, 125043. [Google Scholar] [CrossRef] [PubMed]
- Wang, Z.; Li, Y.; Zhang, Q.; Jing, C.; Jiang, Y.; Yang, T.; Han, T.; Xiong, F. A highly selective and easily acquisitive near-infrared fluorescent probe for detection and imaging of hydrogen sulfide in cells. Spectrochim. Acta Part A Mol. Biomol. Spectrosc. 2023, 293, 122428. [Google Scholar] [CrossRef]
- Chen, Z.; Su, L.; Wu, Y.; Liu, J.; Wu, R.; Li, Q.; Wang, C.; Liu, L.; Song, J. Design and synthesis of a small molecular NIR-II chemiluminescence probe for in vivo-activated H2S imaging. Proc. Natl. Acad. Sci. USA 2023, 120, e2205186120. [Google Scholar] [CrossRef]
- Yan, Q.; He, S.; Feng, L.; Zhang, M.; Han, C.; Wu, Y.; Wang, C.; Ma, X.; Ma, T. A Turn-On Fluorescent Probe for Highly Selective Detection and Visualization of Hydrogen Sulfide in Fungi. Molecules 2024, 29, 577. [Google Scholar] [CrossRef]
- Karton Lifshin, N.; Segal, E.; Omer, L.; Portnoy, M.; Satchi-Fainaro, R.; Shabat, D. A Unique Paradigm for a Turn-On Near-Infrared Cyanine-Based Probe: Noninvasive Intravital Optical Imaging of Hydrogen Peroxide. J. Am. Chem. Soc. 2011, 133, 10960–10965. [Google Scholar] [CrossRef] [PubMed]
- Redy-Keisar, O.; Kisin-Finfer, E.; Ferber, S.; Satchi-Fainaro, R.; Shabat, D. Synthesis and use of QCy7-derived modular probes for the detection and imaging of biologically relevant analytes. Nat. Protoc. 2014, 9, 27–36. [Google Scholar] [CrossRef]
- Ge, Y.; Rong, F.; Li, W.; Wang, Y. On-demand therapeutic delivery of hydrogen sulfide aided by biomolecules. J. Control. Release 2022, 352, 586–599. [Google Scholar] [CrossRef] [PubMed]
- Guo, M.Y.; Wang, W.; Ainiwaer, D.; Yang, Y.S.; Wang, B.Z.; Yang, J.; Zhu, H.L. A fluorescent Rhodol-derived probe for rapid and selective detection of hydrogen sulfide and its application. Talanta 2022, 237, 122960. [Google Scholar] [CrossRef]
- Guo, M.Y.; Li, Y.Z.; Liu, X.J.; Wang, B.Z.; Yang, Y.S.; Zhu, H.L. A structural optimized fluorescent probe for monitoring hydrogen sulfide in cells and zebrafish. Spectrochim. Acta Part A Mol. Biomol. Spectrosc. 2024, 309, 123763. [Google Scholar] [CrossRef] [PubMed]
- Guo, M.Y.; Liu, X.J.; Li, Y.Z.; Wang, B.Z.; Yang, Y.S.; Zhu, H.L. A human serum albumin-binding-based fluorescent probe for monitoring hydrogen sulfide and bioimaging. Analyst 2024, 149, 1280–1288. [Google Scholar] [CrossRef]
- Yin, W.; Wang, H.; Ma, F.; Xu, Z.; Lu, Y.; Zhou, M.; Deng, B.; Wang, H.; Zhang, J. A benzophenoxazine-based NIR fluorescent probe for the detection of hydrogen sulfide and imaging in living cells. Analyst 2022, 147, 4547–4552. [Google Scholar] [CrossRef]
- Ou, L.; Guo, R.; Lin, W. A coumarin-based “off-on” fluorescent probe for highly selective detection of hydrogen sulfide and imaging in living cells. Anal. Methods 2021, 13, 1511–1516. [Google Scholar] [CrossRef]
- Xu, Z.; Zheng, Y.; Qiao, R.; Cao, S.; Fang, Y.; Bo, X.; Zhu, H.; Ying, C.; Sun, Y.; Zheng, J. Organic fluorescent probe for concurrent imaging and apoptosis induction in cancer cells in vivo and in vitro by utilizing endogenous hydrogen sulfide. Chem. Eng. J. 2023, 456, 141000. [Google Scholar] [CrossRef]
- Ma, L.; Chen, Z.; Hu, Y.; Zhang, Z.; Huang, Y.; Zhang, H.; Liu, C. A new highly selective fluorescent probe design for visualizing hydrogen sulfide in food sample. Tetrahedron Lett. 2023, 122, 154508. [Google Scholar] [CrossRef]
- Su, W.; Huang, L.; Zhu, L.; Lin, W. A novel fluorescent probe for imagining hydrogen sulfide upregulation in acute lung injury. Sens. Actuators B Chem. 2022, 369, 132297. [Google Scholar] [CrossRef]
- Maity, D.; Raj, A.; Samanta, P.K.; Karthigeyan, D.; Kundu, T.K.; Pati, S.K.; Govindaraju, T. A probe for ratiometric near-infrared fluorescence and colorimetric hydrogen sulfide detection and imaging in live cells. RSC Adv. 2014, 4, 11147–11151. [Google Scholar] [CrossRef]
- Wang, D.; He, J.; Sun, J. Two-photon ratiometric fluorescent probe based on NBD-amine functionalized semiconducting polymer nanoparticles for real-time imaging of hydrogen sulfide in living cells and zebrafish. Talanta 2021, 228, 122269. [Google Scholar] [CrossRef] [PubMed]
- Cao, X.; Lin, W.; Zheng, K.; He, L. A near-infrared fluorescent turn-on probe for fluorescence imaging of hydrogen sulfide in living cells based on thiolysis of dinitrophenyl ether. Chem. Commun. 2012, 48, 10529–10531. [Google Scholar] [CrossRef] [PubMed]
- Lin, X.; Lu, X.; Zhou, J.; Ren, H.; Dong, X.; Zhao, W.; Chen, Z. Instantaneous fluorescent probe for the specific detection of H2S. Spectrochim. Acta Part A Mol. Biomol. Spectrosc. 2019, 213, 416–422. [Google Scholar] [CrossRef] [PubMed]
- Su, D.; Cheng, D.; Lv, Y.; Ren, X.; Wu, Q.; Yuan, L. A unique off-on near-infrared QCy7-derived probe for selective detection and imaging of hydrogen sulfide in cells and in vivo. Spectrochim. Acta Part A Mol. Biomol. Spectrosc. 2020, 226, 117635. [Google Scholar] [CrossRef]
- Eto, K.; Kimura, H. A Novel Enhancing Mechanism for Hydrogen Sulfide-producing Activity of Cystathionine β-Synthase. J. Biol. Chem. 2002, 277, 42680–42685. [Google Scholar] [CrossRef]










Disclaimer/Publisher’s Note: The statements, opinions and data contained in all publications are solely those of the individual author(s) and contributor(s) and not of MDPI and/or the editor(s). MDPI and/or the editor(s) disclaim responsibility for any injury to people or property resulting from any ideas, methods, instructions or products referred to in the content. |
© 2024 by the authors. Licensee MDPI, Basel, Switzerland. This article is an open access article distributed under the terms and conditions of the Creative Commons Attribution (CC BY) license (https://creativecommons.org/licenses/by/4.0/).
Share and Cite
Ye, C.; Wang, A.; Lu, Y.; Lin, X.; Huang, L.; Li, D. Practical NIR Assay Derived from Cyanine to Evaluate Intracellular H2S in Living Cell Imaging. Sensors 2024, 24, 3744. https://doi.org/10.3390/s24123744
Ye C, Wang A, Lu Y, Lin X, Huang L, Li D. Practical NIR Assay Derived from Cyanine to Evaluate Intracellular H2S in Living Cell Imaging. Sensors. 2024; 24(12):3744. https://doi.org/10.3390/s24123744
Chicago/Turabian StyleYe, Chenqian, Axue Wang, Yuxin Lu, Xinye Lin, Luqiang Huang, and Daliang Li. 2024. "Practical NIR Assay Derived from Cyanine to Evaluate Intracellular H2S in Living Cell Imaging" Sensors 24, no. 12: 3744. https://doi.org/10.3390/s24123744
APA StyleYe, C., Wang, A., Lu, Y., Lin, X., Huang, L., & Li, D. (2024). Practical NIR Assay Derived from Cyanine to Evaluate Intracellular H2S in Living Cell Imaging. Sensors, 24(12), 3744. https://doi.org/10.3390/s24123744

