Next Article in Journal
Test Platform for Developing New Optical Position Tracking Technology towards Improved Head Motion Correction in Magnetic Resonance Imaging
Previous Article in Journal
Experimental Demonstration of a Tunable Energy-Selective Gamma-Ray Imaging System Based on Recoil Electrons
Previous Article in Special Issue
Poisoning Attacks against Communication and Computing Task Classification and Detection Techniques
 
 
Font Type:
Arial Georgia Verdana
Font Size:
Aa Aa Aa
Line Spacing:
Column Width:
Background:
Article

Detecting DoS Attacks through Synthetic User Behavior with Long Short-Term Memory Network

by
Patrycja Nędza
and
Jerzy Domżał
*,†
Faculty of Computer Science, Electronics and Telecommunications, AGH University of Krakow, 30-059 Krakow, Poland
*
Author to whom correspondence should be addressed.
These authors contributed equally to this work.
Sensors 2024, 24(12), 3735; https://doi.org/10.3390/s24123735
Submission received: 11 April 2024 / Revised: 28 May 2024 / Accepted: 6 June 2024 / Published: 8 June 2024
(This article belongs to the Special Issue Cybersecurity and Reliability for 5G and Beyond and IoT Applications)

Abstract

With the escalation in the size and complexity of modern Denial of Service attacks, there is a need for research in the context of Machine Learning (ML) used in attack execution and defense against such attacks. This paper investigates the potential use of ML in generating behavioral telemetry data using Long Short-Term Memory network and spoofing requests for the analyzed traffic to look legitimate. For this research, a custom testing environment was built that listens for mouse and keyboard events and analyzes them accordingly. While the economic feasibility of this attack currently limits its immediate threat, advancements in technology could make it more cost-effective for attackers in the future. Therefore, proactive development of countermeasures remains essential to mitigate potential risks and stay ahead of evolving attack methods.

1. Introduction

Modern Denial of Service (DoS) attacks are becoming larger and more sophisticated every year, which imposes the need for robust defense mechanisms utilizing cutting-edge technologies [1,2,3,4]. With ML emerging as a promising tool in not only defense, but also attack execution, it is becoming necessary to explore its potential usage by attackers and to stay ahead of evolving threats. This study investigates the feasibility of leveraging ML for DoS attack detection by generating behavioral telemetry data using a Long Short-Term Memory (LSTM) network [5] and Bezier Curves, and crafting spoofing requests to make the analyzed traffic appear legitimate.
While previous research has explored ML-based approaches for DoS attack detection and mitigation, few studies have examined the potential of generating realistic attack traffic through ML itself. The authors of [6] present the machine learning techniques that can be implemented to enhance efficiency of Intrusion-Detection Systems (IDSs). For example, Average One Dependence Estimators (AODE) is presented as one of the recent improvements of the Naive Bayes algorithm. It is explained that the IDS using the AODE was proposed to detect different types of attacks with high accuracy. Among the other analyzed methods, the Random Forest, K-means or decision tree can be indicated. The authors conclude their review by stating that further work on reducing the false alarm rate and increasing the detection rate are desirable. The authors of [7] propose an IDS that can handle the entire packet information in a network with high efficiency using the hierarchical Long Short-Term Memory. This paper proves that the use of LSTM allows one to increase the detection rate of attacks significantly. However, there are still possibilities to successfully evade an ML-based IDS. In reference [8], an attack-resistance analysis of IDSs is provided. The authors show that, in existing systems, based on ML models, attackers can evade IDSs with up to 35.7% success rates. They also propose a new solution to counteract these weaknesses. Three defense mechanisms, model voting ensembling, ensembling adversarial training and query detection, are presented and it is shown that these methods can improve intrusion-detection rates to nearly 100% when considering most types of malicious traffic. Network intrusion-detection models are based on e.g., Multilayer Perceptron (MLP), Convolutional Neural Network (CNN) and LSTM. Another solution based on LSTM is presented in [9]. The authors propose an adversarial DBN-LSTM method to detect and protect against DDoS attacks in an SDN environment. The experiments conducted using the public dataset CICDDoS 2019 show that the proposed method allows for efficient detection of known DDoS attacks compared to other approaches. Taking into account the high effectiveness of solutions based on LSTM and their growing popularity, we decided to use this method in a new solution for simulating realistic DoS attacks.
This research contributes to the field by:
  • Demonstrating the potential of LSTM networks to generate realistic behavioral telemetry data that can be used for DoS attack simulations.
  • Evaluating the effectiveness of spoofing requests in masking attack traffic and challenging current detection methods.
  • Analyzing the economic feasibility of ML-based DoS attacks and highlighting the need for proactive countermeasures despite current limitations.
Our findings aim to accelerate the development of machine learning-based DoS attack-detection systems by providing valuable insights into attack methodologies and potential blind spots in existing defenses. What is new is the use of solutions based on LSTM in this area.

2. Related Work

In reference [10], the authors propose an adversarial Deep Belief Network–Long Short-Term Memory (DBN-LSTM) method for detecting and defending against DDoS attacks. The key point of the system is the adversarial DBN-LSTM anomaly-detection method. It can generate several adversarial samples and build adversarial datasets using the generative adversarial network (GAN) model. Moreover, other proposals have been presented to improve the performance of the system:
  • Implementation of DBN for data dimensionality reduction;
  • Implementation of LSTM to extract sample timing features to detect IP flow records and identify adversarial DDoS attacks.
The simulation experiments show that the proposed method can effectively detect DDoS attacks and improve system sensitivity to adversarial attacks. In this paper, we propose some new techniques to protect systems against the ML-based DoS attacks.
The authors of [11] presented a conditional GAN-based intrusion-detection system against DDoS attacks on IoT networks. The core of the system is the mechanism which generates synthetic traffic mapping known patterns and completely new network discriminator networks to detect anomalies. The obtained results confirm that the generated dataset significantly improved the detection effectiveness. An important element of the entire solution is the mechanism based on deep learning classifiers. In our proposal, we use different ML-based models to detect specific DoS attacks.
In [12], an LSTM-based system was proposed to detect and prevent DDoS attacks in public cloud networks. The system was designed based on a signature-based attack-detection approach. The accuracy rate is on the level of 99.83% according to the CICDDoS2019 dataset. The simulation results confirm that the prevention part of the system obtained a performance as good as for the previous studies conducted with different DL algorithms on the same and different datasets. In our approach, we use the LSTM-based system with data generated by behavioral telemetry. This is unique for currently known studies.
The review of currently known deep learning-based approaches for detecting DDoS attacks is presented in [13]. The review classifies the papers into five main research areas:
  • Types of DDoS attack-detection deep learning approaches;
  • Methodologies, strengths, and weaknesses of existing deep learning approaches for DDoS attack detection;
  • Benchmarked datasets and classes of attacks in used datasets;
  • The preprocessing strategies, hyperparameter values, experimental setups, and performance metrics;
  • The research gaps, and future directions.
Another review which presents different approaches to detecting DDoS attacks, using machine learning techniques is presented in [14]. Analyzed techniques, such as K-means, K-Nearest Neighbors, and Naive Bayes used in intrusion-detection systems and flow-based intrusion-detection systems were considered for review. In the review, the high-speed network accuracy-evaluation factors are highlighted. They provide a detailed DDoS attack taxonomy, and classify detection techniques. Several types of attacks were considered, e.g., Zero-Day Attacks, Reflection Attacks, DNS Amplification or SYN Flood.
In [15], a novel parallel model that integrates Convolutional Neural Network and Long Short-Term Memory was proposed. It allowed one to achieve higher accuracy than previous studies regarding detection of DoS attacks. By utilizing the NSL_KDD dataset, the presented model achieved an accuracy of 99.45% in detecting Denial of Service attacks.
In [16], the exploratory model of Multi-layer Perceptron (MLP) classifiers using deep neural network algorithms was proposed to improve the attack-detection system. The final outcome shown in the paper results in higher accuracy and precision by dealing with a huge dataset that was gathered. It was reported that the accuracy and precision was obtained at 98.85% and 92%, respectively.
The mechanism proposed in our paper has not been noticed in the analyzed literature presented in both review papers presented above.

3. Testing Environment

The testing environment simulates a simple login/register website utilizing JavaScript listeners for background data collection. Upon a user’s visit to the application, a continuous stream of requests to “telemetry.js” is initiated. This script captures both mouse position and keyboard key press timestamps, sending them to the server via POST requests. The pseudocode in Algorithm 1 outlines the implemented logic. The first section of the algorithm is responsible for collecting data from the keyboard, while the second part reads coordinates of mouse position. Finally the function SendTelemetryData sends the obtained data to two dedicated databases: Telemetry Database and Request Database.
Algorithm 1 Telemetry Data Collection
  • upon Document is fully loaded do
  •      on KeyDown event on window do
  •          t i m e s t a m p Current timestamp
  •         Call SendTelemetryData with ‘keyboard’ and t i m e s t a m p
  •      end on
  •      on MouseMove event on window do
  •          t i m e s t a m p Current timestamp
  •          m o u s e X Mouse X coordinate from event
  •          m o u s e Y Mouse Y coordinate from event
  •         Call SendTelemetryData with ‘mouse’, t i m e s t a m p , m o u s e X , m o u s e Y
  •      end on
  •      function SendTelemetryData(eventType, timestamp, x, y)
  •         Send POST request to ‘/track_telemetry’ with event data
  •         on Response received do
  •            Log response message
  •         end on
  •      end function
  • end upon
  • The Telemetry Database captures user interactions with the website, including:
    • Event ID (unique identifier),
    • IP address and source port,
    • Event type (keyboard or mouse),
    • Timestamp,
    • Mouse X and Y coordinates (applicable only for mouse events).
  • The Request Database logs information about individual requests made to the website, such as:
    • Request ID (unique identifier);
    • Telemetry data hash (linking request to interaction);
    • IP address and source port;
    • Timestamp (time of current request);
    • HTTP headers, status code, method, hostname, path;
    • Interaction start time (when was first GET request to critical endpoint sent).
To enhance security, user behavior data (telemetry) are collected only on critical pages like login and register. This allows us to focus verification efforts on areas with heightened risk of bot activity. Specifically, a unique telemetry hash is calculated after credentials are submitted via a POST request.
The hash-generation process, outlined in Algorithm 2, considers two key factors:
  • Mouse movement: we capture a string representing mouse position points throughout the interaction;
  • Keystroke cadence: the average time between key presses is calculated based on timestamps collected since the page loaded successfully.
The algorithm runs the SendRequestData function which for each POST action computes the hash of t e l e m e t r y _ s t r . After retrieving necessary data and initializing variables, entry data are analyzed, concerning whether they represent mouse or keyboard. For keyboard, time between key presses is additionally analyzed. Finally, computed hash and updated time strings are sent to the database.
Algorithm 2 Telemetry Data Hash
  • function SendRequestData
  •       t i m e s t a m p Current datetime
  •       r e s p Request headers as dictionary
  •       t e l e m e t r y _ h a s h ‘N/A’
  •      Initialize database cursor c o n n
  •      if Request method is ‘POST’ then
  •          Retrieve telemetry data between interaction start and current timestamp
  •           d a t a Fetched data
  •          if  d a t a is not empty then
  •             Initialize t e l e m e t r y _ s t r , k e y _ t i m e s t a m p s , t o t a l _ t i m e _ d i f f , c o u n t
  •             for each entry d in d a t a  do
  •                if  d [ 3 ] is ‘mouse’ then
  •                    Append mouse coordinates to t e l e m e t r y _ s t r
  •                else if  d [ 3 ] is ‘keyboard’ then
  •                    Add d [ 4 ] to k e y _ t i m e s t a m p s
  •                end if
  •             end for
  •             Calculate average time between key presses
  •             Append average time to t e l e m e t r y _ s t r
  •             Compute hash of t e l e m e t r y _ s t r
  •          end if
  •          Insert request data into the database
  •     end if
  •     Commit changes to the database
  •     Close database connection
  • end function

Attack Execution

The attack begins by stealthily gathering crucial information about the target login page. This involves pinpointing the exact positions of input boxes and the submit button, as meticulously outlined in Algorithm 3.
Algorithm 3 Get Initial Position of Element
  • function GetInitialPosition(host, path, element_id, offset)
  •       Initialize headless Chrome browser with fullscreen and SSL error ignore options
  •       Navigate browser to “https://{host}{path}”
  •       Find the element on the webpage by its ID
  •       Get the screen dimensions using PyAutoGUI
  •       Retrieve browser window position
  •       Calculate the center coordinates of the element
  •       Adjust coordinates to be within screen limits and apply offset
  •       Quit the browser
  •       return Screen coordinates (screen_x, screen_y)
  • end function
The algorithm triggers the GetInitialPosition function, which contains several elements that are launched sequentially. The goal is to find coordinates of the elements placed on the web page.
Armed with this knowledge, the attack commences by sending a carefully crafted stream of POST requests. Each request bears a deceptive payload: meticulously crafted mouse position data, designed to mimic genuine human interaction. This process, detailed in Algorithm 4, aims to evade detection by blending seamlessly with typical user behavior.
The algorithm triggers the SendTelemetryRequest function, which constructs data as a JSON string, which is equipped with coordinates and host, session, and browser details. Finally the string is sent with path, data, and necessary headers.
Algorithm 4 Send Telemetry Request
  • function SendTelemetryRequest(event_type, timestamp, x (optional), y (optional))
  •     Define path as ‘/track_telemetry’
  •     Construct data as a JSON string with event_type, timestamp, x, and y
  •     Define headers with necessary information including host, session, and browser details
  •     Call send_post_request with path, data, and headers
  • end function
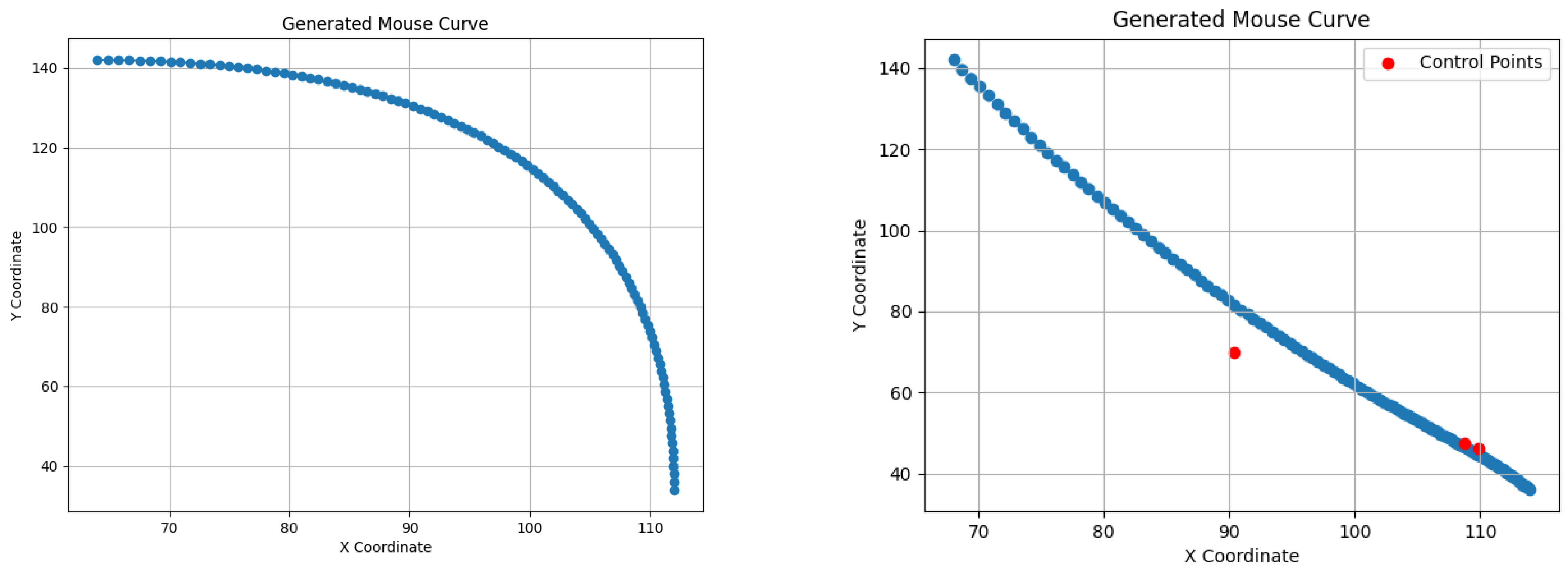
Mouse positions are calculated, leveraging Bézier curves, widely used in computer graphics, game development, and image processing, to generate realistic mouse trajectories. These curves offer flexibility and smooth transitions, crucial for mimicking natural user behavior. It is important to understand that those curves can be exchanged with new ML models, such as “SapiAgent”, to generate even more human-like mouse trajectories [17]. However, for simplicity, we will operate on the Bézier curves. They are defined by Bernstein polynomials as shown in Equation (1) [18],
B Z ( t ) = i = 0 n n i t i ( 1 t ) n i P i , 0 t 1
where:
  • n—the degree of the Bézier Curve (number of control points minus one);
  • t—the parameter of the Curve (position along the curve ranging between 0 to 1).
We strategically choose three control points for each curve:
  • Start point A;
  • End point B;
  • Three random points on the line connecting A and B, with a random perpendicular offset.
This point-selection process is elucidated in Algorithm 5.
Algorithm 5 Generate Random Point on Line
  1:
function GenerateRandomPointOnLine(point_a, point_b, randomness)
  2:
     t Random number between 0 and 1
  3:
     x ( 1 t ) × p o i n t _ a . x + t × p o i n t _ b . x
  4:
     y ( 1 t ) × p o i n t _ a . y + t × p o i n t _ b . y
  5:
    Calculate the directional difference d x , d y between p o i n t _ b and p o i n t _ a
  6:
    Determine perpendicular direction p e r p _ d x , p e r p _ d y
  7:
    Normalize the perpendicular direction
  8:
    Calculate r a n d o m _ d i s t a n c e based on r a n d o m n e s s
  9:
    Adjust x, y coordinates by applying r a n d o m _ d i s t a n c e in the perpendicular direction
10:
    return x, y
11:
end function
By leveraging Equation (1), we numerically calculate the Bézier curve points, as outlined in Algorithm 6.
Algorithm 6 Generate Bézier Curve Points
  1:
function GenerateBezierCurve(control_points, num_points)
  2:
     t Create a list of n u m _ p o i n t s evenly spaced values between 0 and 1
  3:
    Initialize c u r v e as a n u m _ p o i n t s × 2 zero matrix
  4:
     n Number of control points minus 1
  5:
    for  i 0 to n u m _ p o i n t s 1  do
  6:
          for  j 0 to n do
  7:
           Calculate Bernstein polynomial b e r n s t e i n _ p o l y
  8:
            c u r v e [ i ] c u r v e [ i ] + b e r n s t e i n _ p o l y × c o n t r o l _ p o i n t s [ j ]
  9:
         end for
10:
    end for
11:
    return  c u r v e
12:
end function
To visualize the generated curves and enhance understanding, we present them in Figure 1.
Once the simulated mouse reaches its intended input field, the attack shifts its focus to simulating keyboard activity. This attack leverages the assumption that attackers can readily build a database of keyboard dynamics for their use. To simulate real user behavior, a simple keylogger was implemented. The code samples 128 random passwords from the “rockyou.txt” file [19], one at a time. For each password, it meticulously records every keystroke, capturing both the exact moment the key is pressed (key_down) and released (key_up). These precise timing data continue until the user presses “Enter”, signaling the completion of the typed word. Captured data are then stored in a comma-separated value (CSV) file. The structure of this database is outlined in Table 1.
Each row uniquely identifies a keystroke with a timestamp (recorded in milliseconds), and associates it with the typed word (using an internal Word_ID) and the corresponding ASCII code.
A Long Short-Term Memory (LSTM) model serves as the backbone for predicting the intervals between keystrokes [5]. This choice leverages the inherent sequential nature of keystroke timing data, allowing the model to capture and learn crucial temporal dependencies. While our problem was quite simple, we used one hidden layer. A dense layer with 10 nodes per layer was implemented. The dropout value was set to 20%. This value is widely accepted as the best compromise between preventing model overfitting and retaining model accuracy. A uniform distribution was used to choose initial weight values. Decay rate was set to the default value of 0.97. Figure 2 visually represents the model’s structure. The model loss is shown on Figure 3.
Specifically, the model uses 34 input features, representing the maximum password length from the generated database. This allows the model to understand the potential range of keystroke sequences. The LSTM layer then processes this information efficiently, extracting appropriate patterns and relationships from data. Finally, the output layer utilizes these learned patterns to predict the time a key should be held for, as well as the interval between the current and next keystroke.
Algorithm 7 precisely predicts key press and release timings, ensuring a natural typing cadence. These meticulously timed events are then transmitted to the server, further solidifying the illusion of a human presence.
Algorithm 7 Type In Current Input Field
  • function TypeInCurrentField(word)
  •     global timestamp
  •     times ← predict_hold_and_release_times(word)
  •     for each time in times do
  •          offset ← create time delta from time[0]
  •          send_telemetry_request(“keyboard”, timestamp + offset)
  •          increment timestamp by offset and additional time from time[1]
  •     end for
  • end function
After successfully filling each input field, the attack seamlessly resumes its simulated mouse movements, guiding the cursor towards the submit button. Upon reaching this critical element, the attack culminates in the final submit button click. To maximize the likelihood of success, the attack relentlessly repeats this intricate sequence, relentlessly attempting passwords from the expansive “rockyou.txt” file. This unwavering persistence ensures that no potential password combination is overlooked.

4. Results

The attack was conducted on the self-written testing website with login/register functionality, running a JavaScript event listener in the background. It allowed us to collect behavioral data such as mouse position and timestamp of key press. Based on those data, a telemetry hash was calculated and stored in the server database, along with other information on the request such as the exact headers, status code, etc. All tests were performed on the localhost, using laptop with AMD Ryzen 5 4500U CPU and integrated GPU Radeon Graphics 2.38 GHz. The testing environment was equipped with 16 GB RAM and used the 64-bit Windows 10 operating system. As machine learning was involved, the chosen programming language was Python. It comes with available machine learning frameworks like tensorflow or keras, which were used in the process of making the keyboard dynamics model. For reading the .csv table, the Pandas framework was used. The testing application itself was created with the Flask framework. Data were stored on a MySQL Windows server using three separate databases. Information about registered users was stored in dedicated databases. The attack was based on the assumption the attacker could easily create a database for the keyboard dynamics used in the attack. For that reason, a simple key-logger was implemented, which created a .csv file on the output. Once the user visited the Flask application, a constant stream of requests to telemetry.js was made. There, the information about current mouse position and keyboard key press timestamps was collected and sent to the server via POST requests. Telemetry data were collected only on \login and \register pages. Those pages are critical from a security standpoint and need a special point of verification against bot activity. Code sampled 128 random passwords from the rockyou.txt file and recorded all key presses along with the key_up/key_down times until enter was clicked, indicating the end of the typed word. Logic was repeated for each word until all the data were collected and written into a .csv file.
We examined the request data, focusing on the following key columns:
  • ID;
  • Telemetry hash;
  • IP address;
  • Port;
  • Timestamp.
To illustrate the differences introduced by behavioral telemetry, we present excerpts of request data from two sets of simulations:
  • Without Behavioral Telemetry: As shown in Table 2, requests lack unique telemetry hashes. Bot traffic resulted in generating likewise hashes, making it potentially easier to mark as fraudulent.
  • With Behavioral Telemetry: Table 3 demonstrates the presence of randomized telemetry hashes, indicating the traffic was more sophisticated in the way behavioral telemetry was used. These unique identifiers, generated based on user behavior simulated during the attack, add a layer of complexity and potentially enhance the attack’s ability to evade detection.
Executing the attack yielded several clues about its impact on the server. The first one was the frequent number of 500 Internal Server Errors being logged. These responses suggest the server struggled to handle the influx of requests, potentially overloading resources. Another suggestion is the “ConnectionResetError” seen at the peak of traffic received by the server. This error indicates the server actively terminated connections, likely as a defense mechanism.
To gauge the attack’s resource consumption, we instrumented the server with dedicated threads. One thread continuously recorded Central Processing Unit (CPU) usage at a specified interval, while the other tracked memory usage. Figure 4 reveals how the attack affected CPU utilization. Unlike legitimate traffic, which exhibits periods of lower usage (subfigure_b), CPU usage during the attack remained consistently high (subfigure_a). This indicates the server struggled to process the influx of requests, likely exceeding its capacity. Furthermore, the lack of clear data at the end of the attack period (subfigure_a) suggests that resources were saturated, preventing complete file writing. As a result, the recorded data had to be truncated.
While CPU usage offered clear insights, Figure 5 shows no significant differences in memory consumption on the web application server during the attack (subfigure_a) compared to normal use (subfigure_b). This suggests the attack primarily impacted CPU resources. However, we expect the changes to be reflected in storage utilization on the Windows MySQL server, which requires further investigation.
Figure 6 compares the CPU usage of the attacker’s machine with the server throughout the attack. While the server experienced sustained high usage, the attacker’s CPU usage dropped to 0% just when the server shut down.
While the attack demonstrably impacted server resources, its efficiency from the attacker’s perspective is questionable. Many other DoS techniques offer a better “workload–result ratio”, meaning they achieve similar disruption with less resource investment. However, this advantage comes at the cost of easier detection. Table 4 illustrates a captured request sent during the attack. Generally, for the application itself, headers appear legitimate and do not differ from a typical request sent by a legitimate user.
It is important not to rely on timestamps collected by JavaScript, as they can be easily spoofed. Instead, similarly to the example presented in this paper, the timestamp is replaced on the back-end of the server once the POST request with telemetry data is received. Some systems may collect telemetry data for a period of time before sending the behavioral data to the server as a calculated hash to make it more difficult to spoof than straight x and y values. In such a scenario, it may be more difficult to review the data against spoofed values as hashes are non-reversible. Conversely, when logging all information, we can easily detect IP addresses, which were attempting to spoof the data, as shown in Table 5.

5. Conclusions and Future Work

The presented study analyzed a DoS attack using forged telemetry data, the aim of which was to imitate legitimate user behavior and avoid detection. Our analysis revealed:
  • Deceptive Nature: The attack exploited the system’s dependence on telemetry data for user identification and resource allocation. This highlights the inherent weaknesses of trust-based security models in complex systems.
  • Detection Challenges: The ability of the attack to blend into typical user behavior requires advanced detection methods that go beyond simple anomaly-based approaches.
However, while data collection is performed through controlled simulations, it may not fully capture the complexity of real-world attack scenarios. Additionally, the analysis focused on a specific type of attack, and the effectiveness of the scam may vary depending on the approach.
Our findings confirm previous research highlighting the increasing sophistication of DoS attacks and their increasing use of deceptive techniques. Moreover, the challenges of detecting deception attacks result in the need for advanced threat-detection methods that combine behavior analysis with anomaly detection.
The proposed solution can certainly be useful for detecting DoS attacks, but above all it shows the method that should be used in attack-detection systems. Today, the activities of malicious users are very complex and sophisticated. Attack-detection systems must have functionalities implemented to detect suspicious behavior, even though they increasingly imitate real users. Our solution shows directly how to strengthen protection against this type of attack. However, our results represent a first step in the development of this type of approach. In the future, we plan to undertake a deeper analysis of the possibilities of using the proposed solution. We will certainly optimize the solution’s operation by using modern machine learning models. It will be necessary to provide detailed comparative analyses with existing solutions.

Author Contributions

Conceptualization, P.N.; methodology, P.N.; software, P.N.; validation, J.D.; formal analysis, P.N.; investigation, P.N.; resources, P.N.; data curation, P.N.; writing—original draft preparation, P.N.; writing—review and editing, J.D.; visualization, P.N.; supervision, J.D.; project administration, J.D.; funding acquisition, P.N. All authors have read and agreed to the published version of the manuscript.

Funding

This work was supported by the Polish Ministry of Science and Higher Education with the subvention funds of the Faculty of Computer Science, Electronics and Telecommunications of AGH University of Krakow.

Institutional Review Board Statement

Not applicable.

Informed Consent Statement

Not applicable.

Data Availability Statement

The original contributions presented in the study are included in the article, further inquiries can be directed to the corresponding author/s.

Conflicts of Interest

The authors declare no conflicts of interest.

Abbreviations

The following abbreviations are used in this manuscript:
DoSDenial of Service
MLMachine Learning
LSTMLong Short-Term Memory
GANGenerative Adversarial Network
IDSIntrusion-Detection System
CSVComma-Separated Values
CPUCentral Processing Unit

References

  1. Tang, D.; Kuang, X. Distributed Denial of Service Attacks and Defense Mechanisms. IOP Conf. Ser. Mater. Sci. Eng. 2019, 612, 052046. [Google Scholar] [CrossRef]
  2. Kiner, E.; April, T. Google Mitigated the Largest DDoS Attack to Date, Peaking above 398 Million rps. Available online: https://cloud.google.com/blog/products/identity-security/google-cloud-mitigated-largest-ddos-attack-peaking-above-398-million-rps (accessed on 23 November 2023).
  3. Protecting Your Business from Cyber Attacks. The State of DDoS Attacks DDoS Insights from Q1 & Q2. 2023. Available online: https://www.zayo.com/resources/truth-and-trends-of-ddos-attacks/?utm_source=newsroom_website&utm_medium=press-release&utm_content=ddos-insights-report-2023&utm_campaign=2023_ddos_insights_report (accessed on 24 November 2023).
  4. Yoachimik, O.; Pacheco, J. DDoS Threat Report for 2023 Q3. Available online: https://blog.cloudflare.com/ddos-threat-report-2023-q3 (accessed on 24 November 2023).
  5. Lindemann, B.; Müller, T.; Vietz, H.; Jazdi, N.; Weyrich, M. A survey on Long Short-Term Memory networks for time series prediction. Procedia CIRP 2021, 99, 650–655. [Google Scholar] [CrossRef]
  6. Haripriya, L.; Jabbar, M.A. Role of Machine Learning in Intrusion Detection System: Review. In Proceedings of the 2018 Second International Conference on Electronics, Communication and Aerospace Technology (ICECA), Coimbatore, India, 30 September 2018; pp. 925–929. [Google Scholar] [CrossRef]
  7. Han, J.; Pak, W. Hierarchical LSTM-Based Network Intrusion Detection System Using Hybrid Classification. Appl. Sci. 2023, 13, 3089. [Google Scholar] [CrossRef]
  8. Usama, M.; Asim, M.; Latif, S.; Qadir, J. Generative Adversarial Networks For Launching and Thwarting Adversarial Attacks on Network Intrusion Detection Systems. In Proceedings of the 2019 15th International Wireless Communications & Mobile Computing Conference (IWCMC), Tangier, Morocco, 24–28 July 2019; pp. 78–83. [Google Scholar] [CrossRef]
  9. Zhang, C.; Costa-Pérez, X.; Patras, P. Adversarial Attacks Against Deep Learning-Based Network Intrusion Detection Systems and Defense Mechanisms. IEEE/ACM Trans. Netw. 2022, 30, 1294–1311. [Google Scholar] [CrossRef]
  10. Chen, L.; Wang, Z.; Huo, R.; Huang, T. An Adversarial DBN-LSTM Method for Detecting and Defending against DDoS Attacks in SDN Environments. Algorithms 2023, 16, 197. [Google Scholar] [CrossRef]
  11. Alabsi, B.A.; Anbar, M.; Rihan, S.D.A. Conditional Tabular Generative Adversarial Based Intrusion Detection System for Detecting Ddos and Dos Attacks on the Internet of Things Networks. Sensors 2023, 23, 5644. [Google Scholar] [CrossRef]
  12. Aydın, H.; Orman, Z.; Ali Aydın, M. A Long Short-Term Memory (LSTM)-based distributed Denial of Service (DDoS) detection and defense system design in public cloud network environment. Comput. Secur. 2022, 118, 102725. [Google Scholar] [CrossRef]
  13. Mittal, M.; Kumar, K.; Behal, S. Deep learning approaches for detecting DDoS attacks: A systematic review. Soft Comput. 2023, 27, 13039–13075. [Google Scholar] [CrossRef]
  14. Haseeb-ur-rehman, R.M.A.; Aman, A.H.M.; Hasan, M.K.; Ariffin, K.A.Z.; Namoun, A.; Tufail, A.; Kim, K.-H. High-Speed Network DDoS Attack Detection: A Survey. Sensors 2023, 23, 6850. [Google Scholar] [CrossRef]
  15. Salehi, M.; Yari, A. Detecting DOS Attacks Using a Hybrid CNN-LSTM Model. In Proceedings of the 2024 10th International Conference on Web Research (ICWR), Tehran, Iran, 24–25 April 2024. [Google Scholar]
  16. Karthika, R.A.; Sriramya, P.; Rohini, A. Detection and Classification of DDoS Attacks in Cloud Data Using Hybrid LSTM and RNN for Feature Selection. In Proceedings of the 2023 International Conference on Circuit Power and Computing Technologies (ICCPCT), Kollam, India, 10–11 August 2023. [Google Scholar]
  17. Antal, M.; Buza, K.; Fejer, N. SapiAgent: A Bot Based on Deep Learning to Generate Human-Like Mouse Trajectories. IEEE Access 2021, 9, 124396–124408. [Google Scholar] [CrossRef]
  18. Karateke, S.; Akalin, R.; Gümüş, M. The Evolution of Bézier Curves in Computer- Aided Geometric Design (CAGD): A Systematic Review. In Research on Mathematics and Science-II; Akpınar, A., Ed.; Özgür Publications: Istanbul, Türkiye, 2023; pp. 1–15. [Google Scholar] [CrossRef]
  19. Kali Linux. Rockyou. Available online: https://www.kali.org/tools/wordlists/ (accessed on 14 February 2024).
Figure 1. Bézier Curves generated (left) by ready python framework with two control points; (right) by calculating curve points with five control points.
Figure 1. Bézier Curves generated (left) by ready python framework with two control points; (right) by calculating curve points with five control points.
Sensors 24 03735 g001
Figure 2. Model architecture.
Figure 2. Model architecture.
Sensors 24 03735 g002
Figure 3. Training and Validation Loss of the model.
Figure 3. Training and Validation Loss of the model.
Sensors 24 03735 g003
Figure 4. CPU usage trend: (a) during attack; (b) during legitimate user interaction.
Figure 4. CPU usage trend: (a) during attack; (b) during legitimate user interaction.
Sensors 24 03735 g004aSensors 24 03735 g004b
Figure 5. Memory usage trend: (a) during attack; (b) during legitimate user interaction.
Figure 5. Memory usage trend: (a) during attack; (b) during legitimate user interaction.
Sensors 24 03735 g005
Figure 6. Attacker CPU usage compared to the server CPU usage.
Figure 6. Attacker CPU usage compared to the server CPU usage.
Sensors 24 03735 g006
Table 1. Generated database structure.
Table 1. Generated database structure.
Field NameField TypeKey Primary
TimestampDate-TimeTrue
Word_IDIntegerFalse
ASCII_CodeIntegerFalse
Down_Time_MSFloatFalse
Up_Time_MSFloatFalse
Table 2. Part of the request data for simulation without behavioral telemetry spoofing used.
Table 2. Part of the request data for simulation without behavioral telemetry spoofing used.
IDTelemetry HashIP AddressPortTimestamp
291e3b0c44298fc1c149afbf4c8996fb92427…192.168.1.13645132023-11-16 18:19:02
294e3b0c44298fc1c149afbf4c8996fb92427…192.168.1.13645132023-11-16 18:19:07
297e3b0c44298fc1c149afbf4c8996fb92427…192.168.1.13645132023-11-16 18:19:35
300e3b0c44298fc1c149afbf4c8996fb92427…192.168.1.13645132023-11-16 18:19:48
310e3b0c44298fc1c149afbf4c8996fb92427…192.168.1.13645132023-11-16 18:22:43
Table 3. Part of the request data for simulation with behavioral telemetry spoofing used.
Table 3. Part of the request data for simulation with behavioral telemetry spoofing used.
IDTelemetry HashIP AddressPortTimestamp
444393e9cd505f0a7af71979ffb01e97468d…192.168.1.13535462023-11-16 18:56:23
4464d373db4bafae80bddefd995a4d4a6d90…192.168.1.13535462023-11-16 18:56:27
448bd970844de692ae66388c6ce161d0d41f…192.168.1.13535462023-11-16 18:56:30
45425329f94ba7a792f5d4605cf94bd2240d…192.168.1.13535462023-11-16 18:58:53
456a866e3a3fa5ec701b12f242dad5128f92…192.168.1.13535462023-11-16 18:58:56
Table 4. Example attack POST request headers received by the server.
Table 4. Example attack POST request headers received by the server.
Host192.168.1.13
Accepttext/html,application/xhtml+xml, application/xml;q=0.9,image/avif,image/webp,image/apng,*/*;q=0.8, application/signed-exchange;v=b3;q=0.7
Cookiesession=.eJwlzLsKwyAARuFXkX8WU VND6guEDC0dsos0NhWsgpcuIe9eoeOBw3dgeUBDXCUT48QEEwMofKwu22f 1KZpSba7QB8jWx_XdKBEjuacvkVwORExaKX1RZL6tOClC2ne3GRhXzYUR9G B2gq05JyiFZeN71JsIfwz2o_r8txcqTh_vpMrnA.ZVZXxw.h1HjL5HRu_cm9I9MK _dJJnbRcqg
Originhttps://192.168.1.13
Refererhttps://192.168.1.13/login
Sec-Ch-UaGoogle Chrome;v=“119”, “Chromium”;v=“119", “Not?A_Brand";v=“24"
Connectionkeep-alive
User-AgentMozilla/5.0 (Windows NT 10.0; Win64; x64) AppleWebKit/537.36 (KHTML, like Gecko) Chrome/119.0.0.0 Safari/537.36
Content-Typeapplication/x-www-form-urlencoded
Cache-Controlmax-age=0
Content-Length30
Sec-Fetch-Destdocument
Sec-Fetch-Modenavigate
Sec-Fetch-Sitesame-origin
Sec-Fetch-User?1
Accept-Encodinggzip, deflate, br
Accept-Languageen-US,en;q=0.9
Sec-Ch-Ua-Mobile?0
Sec-Ch-Ua-PlatformWindows
Upgrade-Insecure-Requests1
Table 5. Fragment of the Telemetry table.
Table 5. Fragment of the Telemetry table.
IDIP AddressPortEvent TypeTimestampMouse XMouse Y
92192.168.1.1354513keyboard2023-11-07 22:32:48  
93192.168.1.1354513keyboard2023-11-07 22:32:48  
94192.168.1.1354513keyboard2023-11-07 22:32:48  
95192.168.1.1354513mouse2023-11-07 22:32:4914466
96192.168.1.1354513mouse2023-11-07 22:32:4915477
97192.168.1.1354513mouse2023-11-07 22:32:4917286
Disclaimer/Publisher’s Note: The statements, opinions and data contained in all publications are solely those of the individual author(s) and contributor(s) and not of MDPI and/or the editor(s). MDPI and/or the editor(s) disclaim responsibility for any injury to people or property resulting from any ideas, methods, instructions or products referred to in the content.

Share and Cite

MDPI and ACS Style

Nędza, P.; Domżał, J. Detecting DoS Attacks through Synthetic User Behavior with Long Short-Term Memory Network. Sensors 2024, 24, 3735. https://doi.org/10.3390/s24123735

AMA Style

Nędza P, Domżał J. Detecting DoS Attacks through Synthetic User Behavior with Long Short-Term Memory Network. Sensors. 2024; 24(12):3735. https://doi.org/10.3390/s24123735

Chicago/Turabian Style

Nędza, Patrycja, and Jerzy Domżał. 2024. "Detecting DoS Attacks through Synthetic User Behavior with Long Short-Term Memory Network" Sensors 24, no. 12: 3735. https://doi.org/10.3390/s24123735

APA Style

Nędza, P., & Domżał, J. (2024). Detecting DoS Attacks through Synthetic User Behavior with Long Short-Term Memory Network. Sensors, 24(12), 3735. https://doi.org/10.3390/s24123735

Note that from the first issue of 2016, this journal uses article numbers instead of page numbers. See further details here.

Article Metrics

Back to TopTop