Theoretical Study of Microwires with an Inhomogeneous Magnetic Structure Using Magnetoimpedance Tomography
Abstract
1. Introduction
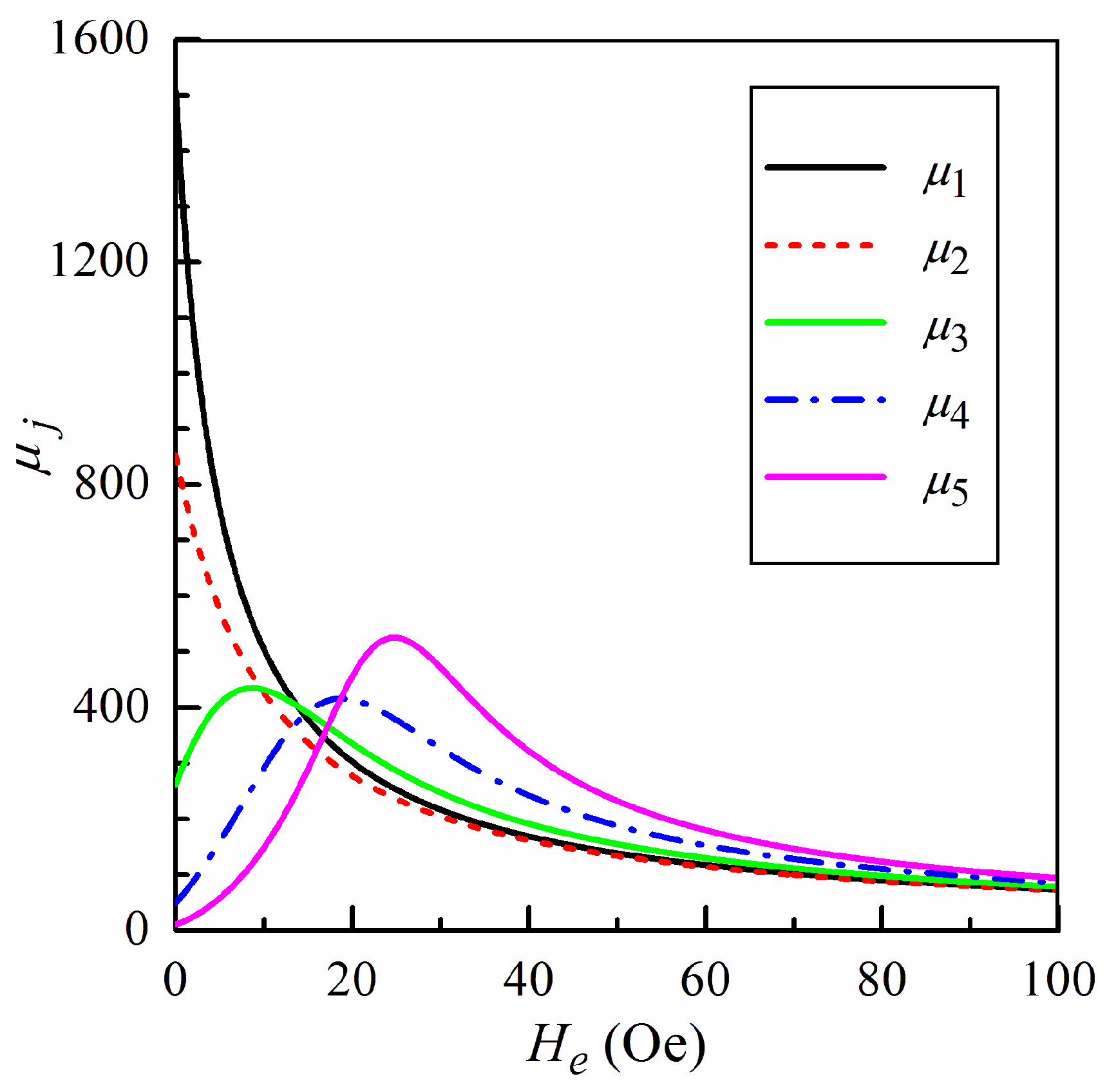
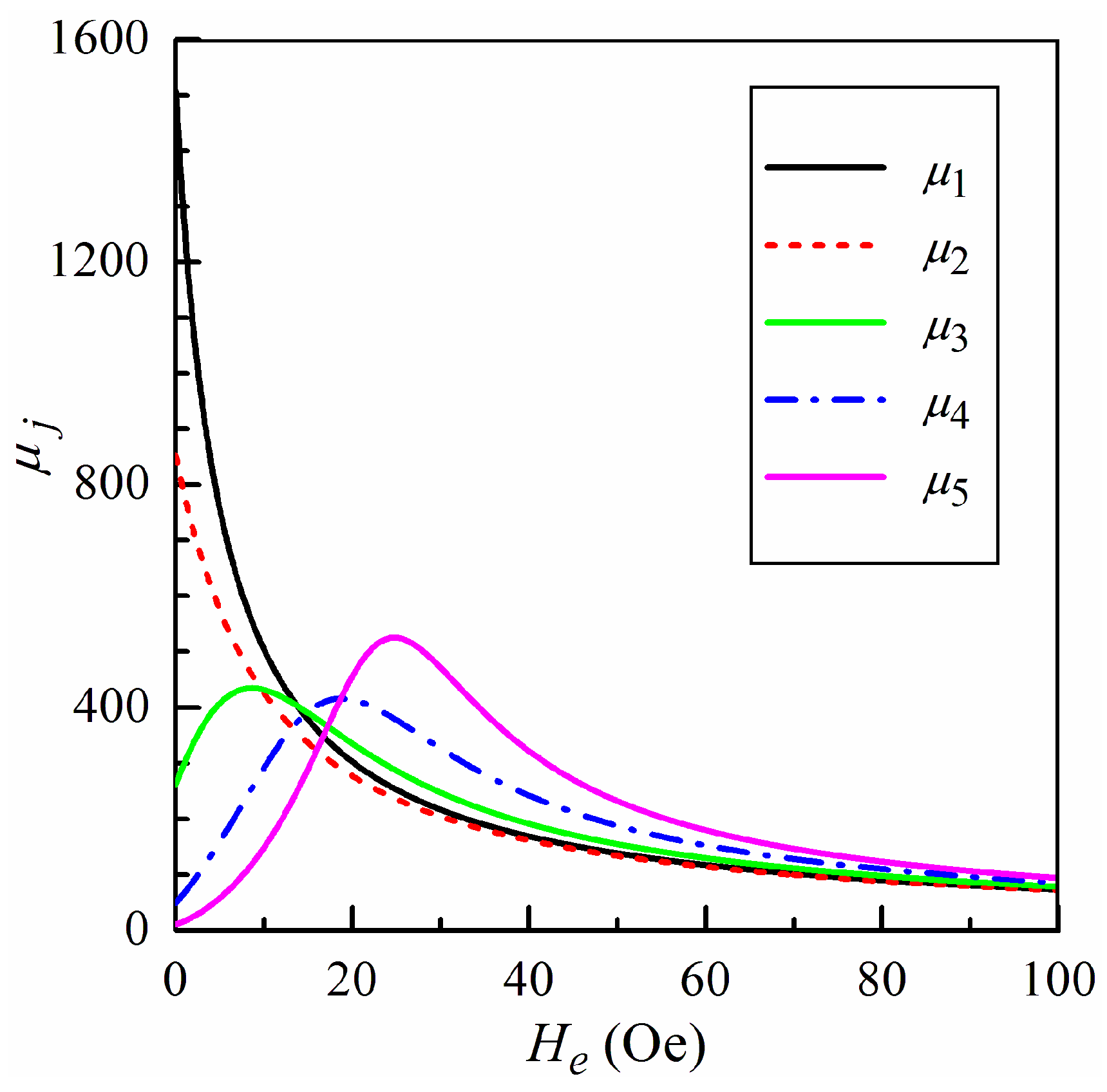
2. Model
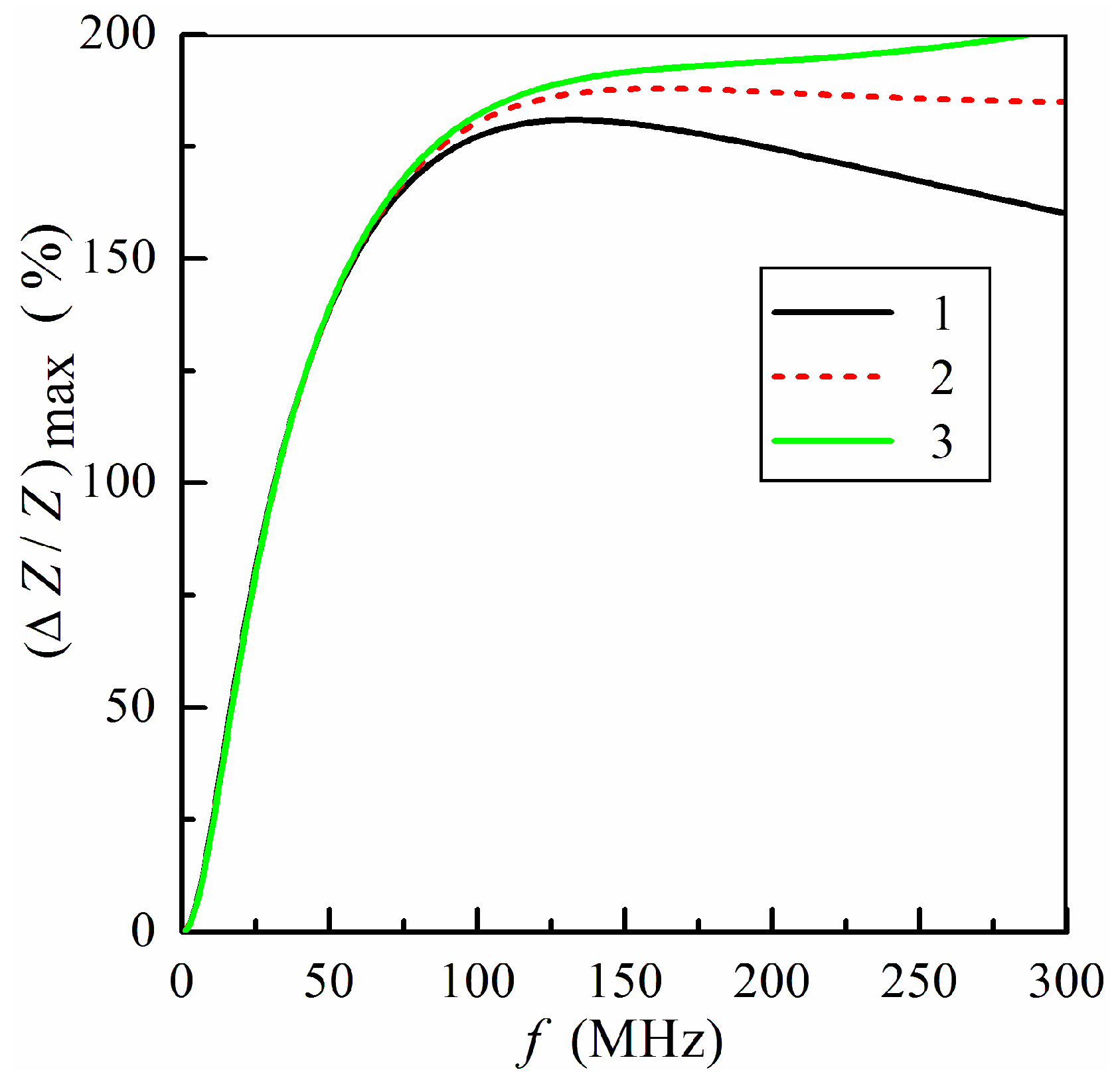
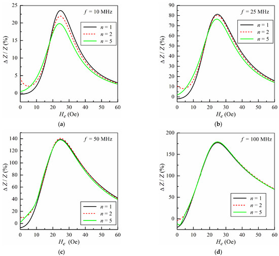
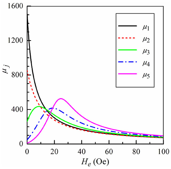
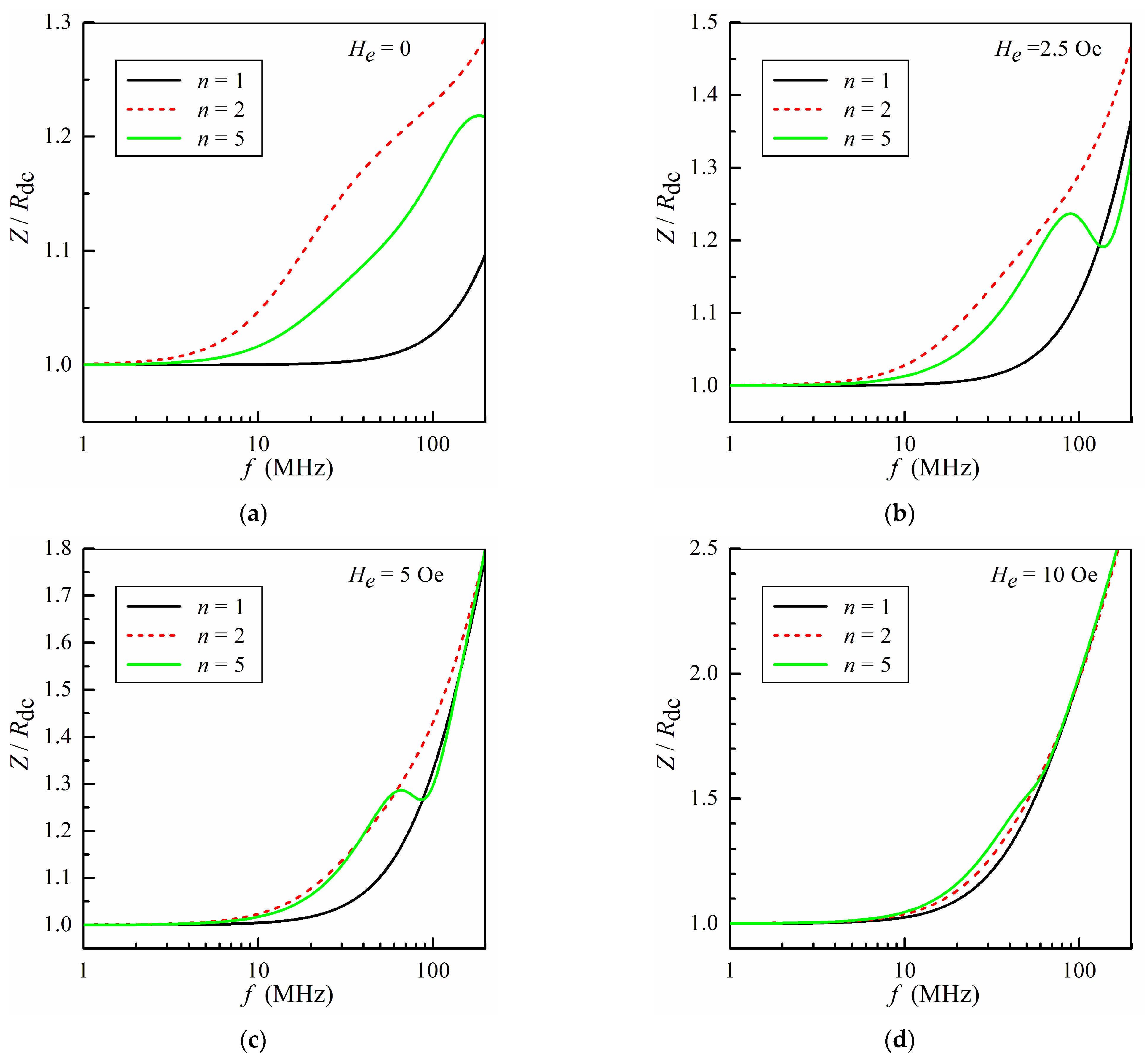
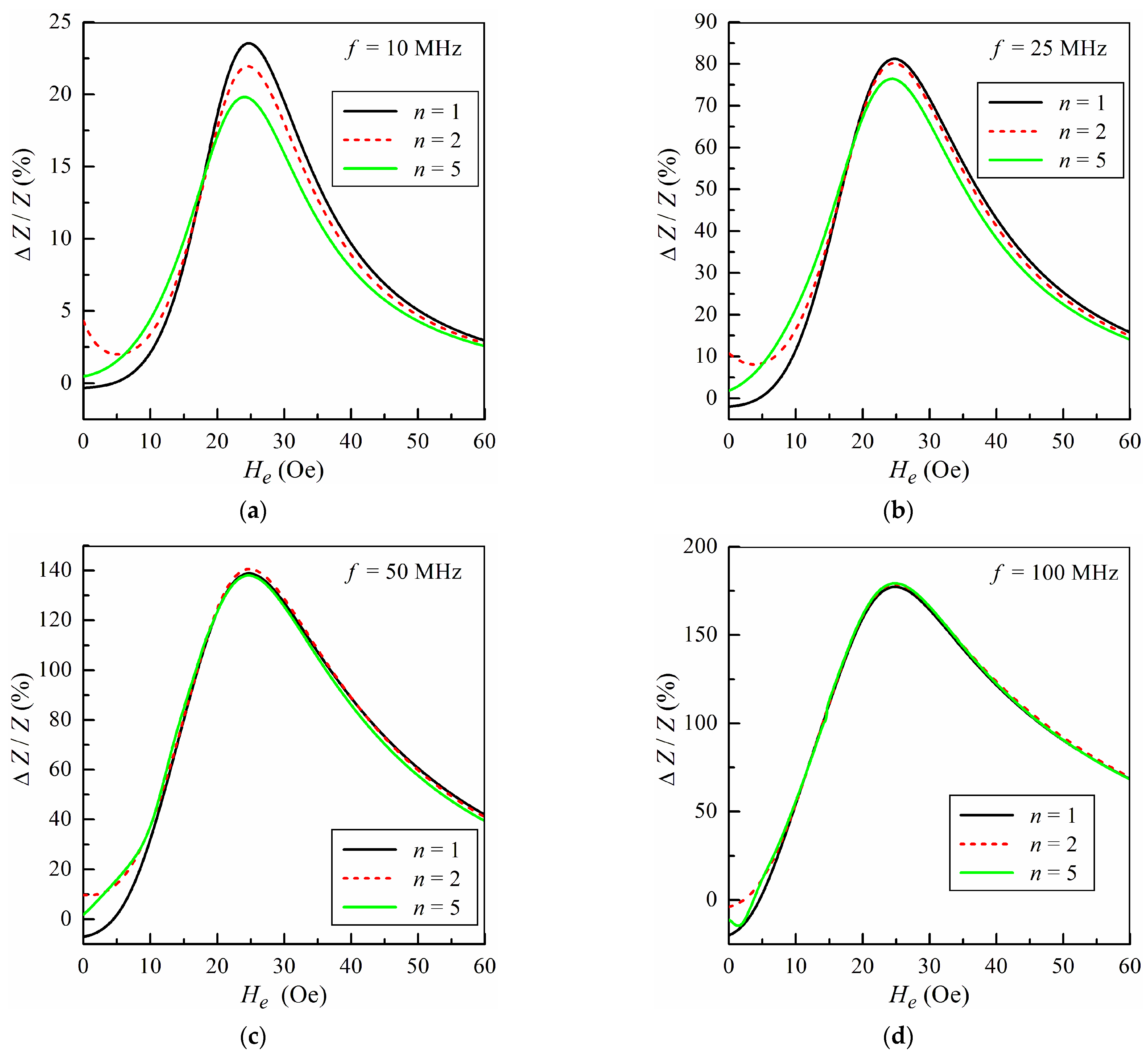
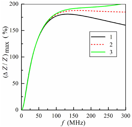
3. Results and Discussion
4. Conclusions
Author Contributions
Funding
Institutional Review Board Statement
Informed Consent Statement
Data Availability Statement
Acknowledgments
Conflicts of Interest
References
- Makhotkin, V.E.; Shurukhin, B.P.; Lopatin, V.A.; Marchukov, P.Y.; Levin, Y.K. Magnetic field sensors based on amorphous ribbons. Sens. Actuators A 1991, 21, 759–762. [Google Scholar] [CrossRef]
- Beach, R.S.; Berkowitz, A.E. Giant magnetic field dependent impedance of amorphous FeCoSiB wire. Appl. Phys. Lett. 1994, 64, 3652–3654. [Google Scholar] [CrossRef]
- Panina, L.V.; Mohri, K. Magneto-impedance effect in amorphous wires. Appl. Phys. Lett. 1994, 65, 1189–1191. [Google Scholar] [CrossRef]
- Mohri, K.; Uchiyama, T.; Panina, L.V.; Yamamoto, M.; Bushida, K. Recent advances of amorphous wire CMOS IC magnetoimpedance sensors: Innovative high-performance micromagnetic sensor chip. J. Sens. 2015, 2015, 718069. [Google Scholar] [CrossRef]
- Nakai, T. Sensitivity of thin film magnetoimpedance sensor in 0.3 T surface normal magnetic field. IEEJ Trans. Electr. Electron. Eng. 2020, 15, 1230–1235. [Google Scholar] [CrossRef]
- Riveros, P.A.D.; Silva, E.C.; Pacheco, S.; Cabrera, L.S.B.; Barbosa, C.R.H. Design, implementation and experimental characterisation of a high sensitivity GMI gradiometer with an interference compensation system. IET Sci. Meas. Technol. 2020, 14, 688–694. [Google Scholar] [CrossRef]
- Traoré, P.S.; Asfour, A.; Yonnet, J.-P. Noise analysis of a high sensitivity GMI sensor based on a Field-Programmable-Gate-Array. Sens. Actuators A 2021, 331, 112972. [Google Scholar] [CrossRef]
- Yao, R.; Takemura, Y.; Uchiyama, T. High precision MI sensor with low energy consumption driven by low-frequency Wiegand pulse. AIP Adv. 2023, 13, 025201. [Google Scholar] [CrossRef]
- Blanc-Béguin, F.; Nabily, S.; Gieraltowski, J.; Turzo, A.; Querellou, S.; Salaun, P.Y. Cytotoxicity and GMI bio-sensor detection of maghemite nanoparticles internalized into cells. J. Magn. Magn. Mater. 2009, 321, 192–197. [Google Scholar] [CrossRef]
- Buznikov, N.A.; Safronov, A.P.; Orue, I.; Golubeva, E.V.; Lepalovskij, V.N.; Svalov, A.V.; Chlenova, A.A.; Kurlyandskaya, G.V. Modelling of magnetoimpedance response of thin film sensitive element in the presence of ferrogel: Next step toward development of biosensor for in tissue embedded magnetic nanoparticles detection. Biosens. Bioelectr. 2018, 117, 366–372. [Google Scholar] [CrossRef]
- Uchiyama, T.; Ma, J. Development of pico tesla resolution amorphous wire magneto-impedance sensor for bio-magnetic field measurements. J. Magn. Magn. Mater. 2020, 514, 167074. [Google Scholar] [CrossRef]
- Pei, C.; Zhang, B.; Xie, J.; Kou, Z.; Li, X.; Feng, T.; Sun, B.; Wang, W. Superlattice-shelled nanocrystalline core structural design for highly sensitive GMI sensors. Acta Mater. 2023, 255, 119088. [Google Scholar] [CrossRef]
- Knobel, M.; Vázquez, M.; Kraus, L. Giant magnetoimpedance. In Handbook of Magnetic Materials; Buschow, K.H.J., Ed.; Elsevier: Amsterdam, The Netherlands, 2003; Volume 15, pp. 497–563. [Google Scholar]
- Zhukov, A.; Ipatov, M.; Zhukova, V. Advances in giant magnetoimpedance of materials. In Handbook of Magnetic Materials; Buschow, K.H.J., Ed.; Elsevier: Amsterdam, The Netherlands, 2015; Volume 24, pp. 139–236. [Google Scholar]
- Antonov, A.S.; Rakhmanov, A.L.; Buznikov, N.A.; Prokoshin, A.F.; Granovsky, A.B.; Perov, N.S.; Usov, N.A. Magnetic properties and magneto-impedance of cold-drawn permalloy-copper composite wires. IEEE Trans. Magn. 1999, 35, 3640–3642. [Google Scholar] [CrossRef]
- Jantaratana, P.; Bebenin, N.G.; Kurlyandskaya, G.V. Magnetoimpedance and magnetization processes of FeCoNi electroplated tubes. J. Appl. Phys. 2009, 105, 013908. [Google Scholar] [CrossRef]
- García-Miquel, H.; Carbonell, J.; Boria, V.E.; Sánchez-Dehesa, J. Experimental evidence of left handed transmission through arrays of ferromagnetic microwires. Appl. Phys. Lett. 2009, 94, 054103. [Google Scholar] [CrossRef]
- Smith, K.C.A.; Oatley, C.W. The scanning electron microscope and its fields of application. Br. J. Appl. Phys. 1955, 6, 391–399. [Google Scholar] [CrossRef]
- Ogasawara, I.; Ueno, S. Preparation and properties of amorphous wires. IEEE Trans. Magn. 1995, 31, 1219–1223. [Google Scholar] [CrossRef]
- Marin, P.; Marcos, M.; Hernando, A. High magnetomechanical coupling on magnetic microwire for sensors with biological applications. Appl. Phys. Lett. 2010, 96, 262512. [Google Scholar] [CrossRef]
- Shcherbinin, S.V.; Pérez, R.; Vazquez, M.; Kurlyandskaya, G.V. Ferromagnetic resonance in electroplated CuBe/FeCoNi and amorphous CoFeSiB wires Ferromagnetic resonance in electroplated CuBe/FeCoNi and amorphous CoFeSiB wires. IEEE Trans. Magn. 2020, 56, 2800110. [Google Scholar] [CrossRef]
- Baselt, D.R.; Lee, G.U.; Natesan, M.; Metzger, S.W.; Sheehan, P.E.; Colton, R. A biosensor based on magnetoresistance technology. Biosens. Bioelectron. 1998, 13, 731–739. [Google Scholar] [CrossRef]
- Kurlyandskaya, G.V.; Fal Miyar, V. Surface modified amorphous ribbon based magnetoimpedance biosensor. Biosens. Bioelectron. 2007, 22, 2341–2345. [Google Scholar] [CrossRef]
- Cerdeira, M.A.; Kurlyandskaya, G.V.; Fernandez, A.; Tejedor, M.; Garcia-Miquel, H. Giant magnetoimpedance effect in surface modified CoFeMoSiB amorphous ribbons. Chin. Phys. Lett. 2003, 20, 2246–2249. [Google Scholar] [CrossRef]
- Fal-Miyar, V.; Kumar, A.; Mohapatra, S.; Shirley, S.; Frey, N.A.; Barandiaránd, J.M.; Kurlyandskaya, G.V. Giant magnetoimpedance for biosensing in drug delivery. Appl. Phys. Lett. 2007, 91, 143902. [Google Scholar]
- Volchkov, S.O.; Pasynkova, A.A.; Derevyanko, M.S.; Kozlov, N.V.; Svalov, A.V.; Semirov, A.V. Magnetoimpedance of CoFeCrSiB ribbon-based sensitive element with FeNi covering: Experiment and modeling. Sensors 2021, 21, 6728. [Google Scholar] [CrossRef] [PubMed]
- Yang, Z.; Lei, C.; Sun, X.C.; Zhou, Y.; Liu, Y. Enhanced GMI effect in tortuous-shaped Co-based amorphous ribbons coated with graphene. J. Mater. Sci. Mater. Electron. 2016, 27, 3493–3498. [Google Scholar] [CrossRef]
- Semirov, A.V.; Derevyanko, M.S.; Bukreev, D.A.; Moiseev, A.A.; Kudryavtsev, V.O.; Safronov, A.P. Magnetoimpedance of cobalt-based amorphous ribbons/polymer composites. J. Magn. Magn. Mater. 2016, 415, 97–101. [Google Scholar] [CrossRef]
- Kurlyandskaya, G.V.; Blyakhman, F.A.; Makarova, E.B.; Buznikov, N.A.; Safronov, A.P.; Fadeyev, F.A.; Shcherbinin, S.V.; Chlenova, A.A. Functional magnetic ferrogels: From biosensors to regenerative medicine. AIP Adv. 2020, 10, 125128. [Google Scholar] [CrossRef]
- Dolabdjian, C.; Ménard, D. Giant magneto-impedance (GMI) magnetometers. In High Sensitivity Magnetometers; Grosz, A., Haji-Sheikh, M.J., Mukhopadhyay, S.C., Eds.; Springer: Berlin/Heidelberg, Germany, 2017; pp. 103–126. [Google Scholar]
- Uchiyama, T.; Mohri, K.; Honkura, Y.; Panina, L.V. Recent advances of pico-Tesla resolution magneto-impedance sensor based on amorphous wire CMOS IC MI Sensor. IEEE Trans. Magn. 2012, 48, 3833–3839. [Google Scholar] [CrossRef]
- Chiriac, H.; Óvári, T.A. Amorphous glass-covered magnetic wires: Preparation, properties, applications. Prog. Mater. Sci. 1996, 40, 333–407. [Google Scholar] [CrossRef]
- Vázquez, M. Advanced magnetic microwires. In Handbook of Magnetism and Advanced Magnetic Materials; Kronműller, H., Parkin, S.S.P., Eds.; Wiley: Chichester, UK, 2007; pp. 2193–2226. [Google Scholar]
- Zhukov, A.; González, J.; Vázquez, M.; Larin, V.; Torcunov, A. Nanocrystalline and amorphous magnetic microwires. In Encyclopedia of Nanoscience and Nanotechnology; Nalwa, H.S., Ed.; American Scientific: Stevenson Ranch, CA, USA, 2014; Volume 6, pp. 365–367. [Google Scholar]
- Baranov, S.A.; Larin, V.S.; Torcunov, A.V. Technology, preparation and properties of the cast glass-coated magnetic microwires. Crystals 2017, 7, 136. [Google Scholar] [CrossRef]
- Zhukova, V.; Ipatov, M.; Talaat, A.; Blanco, J.M.; Churyukanova, M.; Zhukov, A. Effect of stress annealing on magnetic properties and GMI effect of Co- and Fe-rich microwires. J. Alloys Compd. 2017, 707, 189–194. [Google Scholar] [CrossRef]
- El Kammouni, R.; Vázquez, M.; Lezama, L.; Kurlyandskaya, G.; Kraus, L. Temperature dependence of microwave absorption phenomena in single and biphase soft magnetic microwires. J. Magn. Magn. Mater. 2014, 368, 126–132. [Google Scholar] [CrossRef]
- Gonzalez, A.; Zhukova, V.; Corte-Leon, P.; Chizhik, A.; Ipatov, M.; Blanco, J.M.; Zhukov, A. Tuning of magnetoimpedance effect and magnetic properties of Fe-rich glass-coated microwires by Joule heating. Sensors 2022, 22, 1053. [Google Scholar] [CrossRef] [PubMed]
- Zhukova, V.; Corte-Leon, P.; Talaat, A.; Ipatov, M.; García-Gomez, A.; González, A.; Blanco, J.M.; Zhukov, A. Optimization of giant magnetoimpedance effect of amorphous microwires by postprocessing. Processes 2024, 12, 556. [Google Scholar] [CrossRef]
- Chiriac, H.; Óvári, T.A.; Pop, G. Internal stress distribution in glass-covered amorphous magnetic wires. Phys. Rev. B 1995, 52, 10104–10113. [Google Scholar] [CrossRef] [PubMed]
- Antonov, A.S.; Borisov, V.T.; Borisov, O.V.; Prokoshin, A.F.; Usov, N.A. Residual quenching stresses in glass-coated amorphous ferromagnetic microwires. J. Phys. D Appl. Phys. 2000, 33, 1161–1168. [Google Scholar] [CrossRef]
- Larin, V.S.; Torcunov, A.V.; Zhukov, A.; González, J.; Vazquez, M.; Panina, L. Preparation and properties of glass-coated microwires. J. Magn. Magn. Mater. 2002, 249, 39–45. [Google Scholar] [CrossRef]
- Baranov, S.A. Magnetic models of cast microwires. Surf. Eng. Appl. Electrochem. 2011, 47, 316–330. [Google Scholar] [CrossRef]
- Chizhik, A.; Garcia, C.; Zhukov, A.; Gawronski, P.; Kulakowski, K.; Gonzalez, J.; Blanco, J.M. Investigation of helical magnetic structure in Co-rich amorphous microwires. J. Magn. Magn. Mater. 2007, 316, 332–336. [Google Scholar] [CrossRef]
- Chizhik, A.; Blanco, J.M.; Zhukov, A.; Gonzalez, J.; Garcia, C.; Gawronski, P.; Kulakowski, K. Magneto-optical determination of helical magnetic structure in amorphous microwires. Physica B 2008, 403, 289–292. [Google Scholar] [CrossRef]
- Chiriac, H.; Óvári, T.-A.; Corodeanu, S.; Ababei, G. Interdomain wall in amorphous glass-coated microwires. Phys. Rev. B 2007, 76, 214433. [Google Scholar] [CrossRef]
- Landau, L.D.; Lifshitz, E.M. Electrodynamics of Continuous Media; Pergamon: London, UK, 1975. [Google Scholar]
- Usov, N.A.; Antonov, A.S.; Lagar’kov, A.N. Theory of giant magneto-impedance effect in amorphous wires with different types of magnetic anisotropy. J. Magn. Magn. Mater. 1998, 185, 159–173. [Google Scholar] [CrossRef]
- Ménard, D.; Yelon, A. Theory of longitudinal magnetoimpedance in wires. J. Appl. Phys. 2000, 88, 379–393. [Google Scholar] [CrossRef]
- Makhnovskiy, D.P.; Panina, L.V.; Mapps, D.J. Field-dependent surface impedance tensor in amorphous wires with two types of magnetic anisotropy: Helical and circumferential. Phys. Rev. B 2001, 63, 144424. [Google Scholar] [CrossRef]
- Chen, D.-X.; Pascual, L.; Fraga, E.; Vazquez, M.; Hernando, A. Magnetic and transport eddy-current anomalies in cylinders with core-and-shell regions. J. Magn. Magn. Mater. 1999, 202, 385–396. [Google Scholar] [CrossRef]
- Usov, N.A.; Antonov, A.S.; Lagar’kov, A.N.; Granovsky, A.B. GMI Spectra of amorphous wires with different types of magnetic anisotropy in the core and the shell regions. J. Magn. Magn. Mater. 1999, 203, 108–110. [Google Scholar] [CrossRef]
- Melo, L.G.C.; Ménard, D.; Ciureanu, P.; Yelon, A.; Cochrane, R.W. Coupled core–shell model of magnetoimpedance in wires. J. Appl. Phys. 2004, 95, 1331–1335. [Google Scholar] [CrossRef]
- Popov, V.V.; Berzhansky, V.N.; Gomonay, H.V.; Qin, F.X. Stress-induced magnetic hysteresis in amorphous microwires probed by microwave giant magnetoimpedance measurements. J. Appl. Phys. 2013, 113, 17A326. [Google Scholar] [CrossRef]
- Buznikov, N.A.; Popov, V.V. A core–shell model for magnetoimpedance in stress-annealed Fe-rich amorphous microwires. J. Supercond. Nov. Magn. 2021, 34, 169–177. [Google Scholar] [CrossRef]
- Alekhina, I.; Kolesnikova, V.; Rodionov, V.; Andreev, N.; Panina, L.; Rodionova, V.; Perov, N. An indirect method of micromagnetic structure estimation in microwires. Nanomaterials 2021, 11, 274. [Google Scholar] [CrossRef]
- Bukreev, D.A.; Derevyanko, M.S.; Moiseev, A.A.; Svalov, A.V.; Semirov, A.V. The study of the distribution of electrical and magnetic properties over the conductor cross-section using magnetoimpedance tomography: Modeling and experiment. Sensors 2022, 22, 9512. [Google Scholar] [CrossRef]
- Bukreev, D.A.; Derevyanko, M.S.; Moiseev, A.A.; Kudryavtsev, V.O.; Kurlyandskaya, G.V.; Semirov, A.V. Modeling and an experimental study of the frequency dependences of the impedance of composite wires. Phys. Met. Metallogr. 2022, 123, 887–892. [Google Scholar] [CrossRef]
- Bukreev, D.A.; Derevyanko, M.S.; Moiseev, A.A.; Matsyuk, I.M.; Ballesteros, A.; Svalov, A.V.; Semirov, A.V. Magneto- impedance tomography of composite CuBe/FeCoNi wires. SPIN 2023, 13, 2340004. [Google Scholar] [CrossRef]
- Bukreev, D.A.; Derevyanko, M.S.; Moiseev, A.A.; Semirov, A.V. Magnetoimpedance tomography of amorphous CoFeTaSiB wires. Phys. Met. Metallogr. 2023, 124, 781–786. [Google Scholar] [CrossRef]
- Bukreev, D.A.; Derevyanko, M.S.; Semirov, A.V. Magnetoimpedance effect in cobalt-based amorphous ribbons with an inhomogeneous magnetic structure. Sensors 2023, 23, 8283. [Google Scholar] [CrossRef]
- Bukreev, D.A.; Derevyanko, M.S.; Moiseev, A.A.; Kurlyandskaya, G.V.; Semirov, A.V. The influence of relaxation annealing on the magnetic properties and magnetic impedance of amorphous Co-based wires. Phys. Met. Metallogr. 2023, 124, 1159–1164. [Google Scholar] [CrossRef]
- Panina, L.V.; Mohri, K.; Ushiyama, T.; Noda, M.; Bushida, K. Giant magneto-impedance in Co-rich amorphous wires and films. IEEE Trans. Magn. 1995, 31, 1249–1260. [Google Scholar] [CrossRef]
- Kraus, L. GMI modeling and material optimization. Sens. Actuators A 2003, 106, 187–194. [Google Scholar] [CrossRef]
- Kraus, L. The theoretical limits of giant magneto-impedance. J. Magn. Magn. Mater. 1999, 196–197, 354–356. [Google Scholar] [CrossRef]
- Zhukova, V.; Blanco, J.M.; Ipatov, M.; Gonzalez, J.; Churyukanova, M.; Zhukov, A. Engineering of magnetic softness and giant magnetoimpedance effect in Fe-rich microwires by stress-annealing. Scr. Mater. 2018, 142, 10–14. [Google Scholar] [CrossRef]
- Zhukova, V.; Blanco, J.M.; Ipatov, M.; Churyukanova, M.; Taskaev, S.; Zhukov, A. Tailoring of magnetoimpedance effect and magnetic softness of Fe-rich glass-coated microwires by stress-annealing. Sci. Rep. 2018, 8, 3202. [Google Scholar] [CrossRef] [PubMed]
- Varga, R.; Vojtanik, P.; Davies, H.A. Low-field magnetoimpedance of amorphous CoFeSiB alloy wire. J. Magn. Magn. Mater. 2003, 261, 360–368. [Google Scholar] [CrossRef]
- Garcia-Beneytez, J.M.; Vinai, F.; Brunetti, L.; Garcia-Miquel, H.; Vázquez, M. Study of magneto impedance effect in the microwave frequency range for soft magnetic wires and microwires. Sens. Actuators A 2000, 81, 78–81. [Google Scholar] [CrossRef]
- Lofland, S.E.; Garcia-Miquel, H.; Vázquez, M.; Bragat, S.M. Microwave magnetoabsortion in glass-coated amorphous microwires with radii close to skin depth. J. Appl. Phys. 2002, 92, 2058–2063. [Google Scholar] [CrossRef]





| j | Region Radius rj, μm | Anisotropy Field Hj, Oe | Anisotropy Axis Angle ψj, rad |
|---|---|---|---|
| 1 | 2 | 5 | 0.5π |
| 2 | 4 | 8 | 0.4π |
| 3 | 5 | 10 | 0.2π |
| 4 | 7 | 15 | 0.1π |
| 5 | 10 | 20 | 0.05π |
Disclaimer/Publisher’s Note: The statements, opinions and data contained in all publications are solely those of the individual author(s) and contributor(s) and not of MDPI and/or the editor(s). MDPI and/or the editor(s) disclaim responsibility for any injury to people or property resulting from any ideas, methods, instructions or products referred to in the content. |
© 2024 by the authors. Licensee MDPI, Basel, Switzerland. This article is an open access article distributed under the terms and conditions of the Creative Commons Attribution (CC BY) license (https://creativecommons.org/licenses/by/4.0/).
Share and Cite
Buznikov, N.A.; Kurlyandskaya, G.V. Theoretical Study of Microwires with an Inhomogeneous Magnetic Structure Using Magnetoimpedance Tomography. Sensors 2024, 24, 3669. https://doi.org/10.3390/s24113669
Buznikov NA, Kurlyandskaya GV. Theoretical Study of Microwires with an Inhomogeneous Magnetic Structure Using Magnetoimpedance Tomography. Sensors. 2024; 24(11):3669. https://doi.org/10.3390/s24113669
Chicago/Turabian StyleBuznikov, Nikita A., and Galina V. Kurlyandskaya. 2024. "Theoretical Study of Microwires with an Inhomogeneous Magnetic Structure Using Magnetoimpedance Tomography" Sensors 24, no. 11: 3669. https://doi.org/10.3390/s24113669
APA StyleBuznikov, N. A., & Kurlyandskaya, G. V. (2024). Theoretical Study of Microwires with an Inhomogeneous Magnetic Structure Using Magnetoimpedance Tomography. Sensors, 24(11), 3669. https://doi.org/10.3390/s24113669

