Detection Method of Epileptic Seizures Using a Neural Network Model Based on Multimodal Dual-Stream Networks
Abstract
1. Introduction
2. EEG Data Sets and Methods
2.1. Dataset
2.1.1. The University of Bonn Dataset
2.1.2. New Delhi Dataset
2.2. Data Set Preprocessing
2.2.1. FFT (Fast Fourier Transform) and (Short-Time Fourier Transform) STFT
2.2.2. First-Order Difference and Second-Order Difference
2.3. Neural Network Module
2.3.1. One-Dimensional Convolutional Neural Network
2.3.2. Two-Dimensional Convolutional Neural Network
2.3.3. Long Short-Term Memory (LSTM)
3. Methods
3.1. Overall Process of Detection Method of Epileptic Seizures Using a Neural Network Model Based on Multimodal Dual-Stream Networks
- Data preparation: obtain and prepare Bonn and New Delhi datasets for experiments; these contain EEG signal data on epileptic seizures.
- Feature extraction: Preprocess the original EEG signal, including filtering and noise removal. Extract the differential characteristics of the signal, the amplitude spectrum and the phase spectrum in the frequency domain to form a two-dimensional feature vector.
- Establish a multi-modal dual-stream network model: Design and build a multi-modal dual-stream network model, combining one-dimensional convolution, two-dimensional convolution and the LSTM neural network. The first-class network is used to extract the spatial features of the EEG two-dimensional vector, while the other-stream network focuses on extracting the temporal features of the signal. Utilizing a hybrid neural network structure, temporal and spatial features are simultaneously extracted from signals to enhance recognition performance. A channel attention module is introduced to improve the model’s attention to features related to epileptic seizures.
- Experiment: The Bonn and New Delhi data sets are divided into training sets, validation sets and test sets. Train, validate, and test the model to evaluate its performance. The performance of the model on the epileptic seizure detection task was evaluated using accuracy, recall, precision, and F1 score.
- Result analysis: analyze the experimental results and compare the performance differences between the proposed model and the baseline model.
3.2. Neural Network Model Based on Multimodal Dual-Stream Networks
- Input: time-series signal, including original signal, first-order difference, second-order difference, amplitude spectrum and phase spectrum in frequency domain.
- Processed through three one-dimensional convolution modules, a feature vector is output.
- Perform batch normalization and ReLU activation function on , and then add it to the feature vector processed by a one-dimensional convolution module to obtain .
- Input y1 into the LSTM network to obtain a output feature vector .
- Input: STFT matrix of the original signal.
- Processed through three two-dimensional convolution modules, batch normalization and ReLU activation function, a feature matrix is obtained.
- Flatten , , and and concatenate them into one eigenvector.
- Output the feature vector to the fully connected layer and output the classification probability through softmax.
4. Experimental Results and Analysis
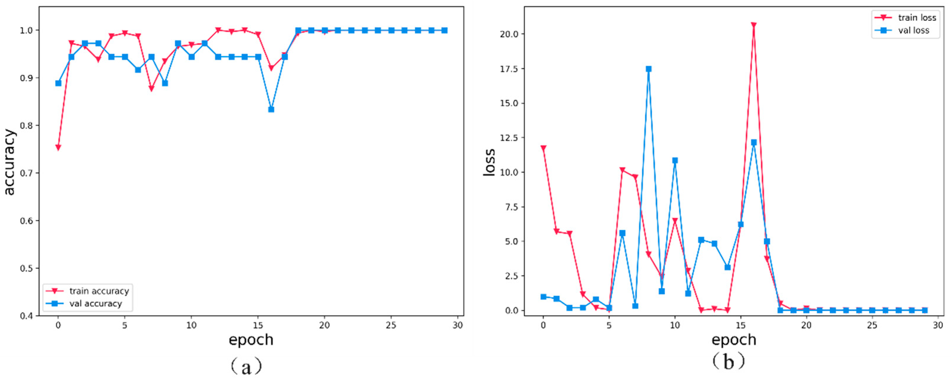
4.1. Bonn Dataset
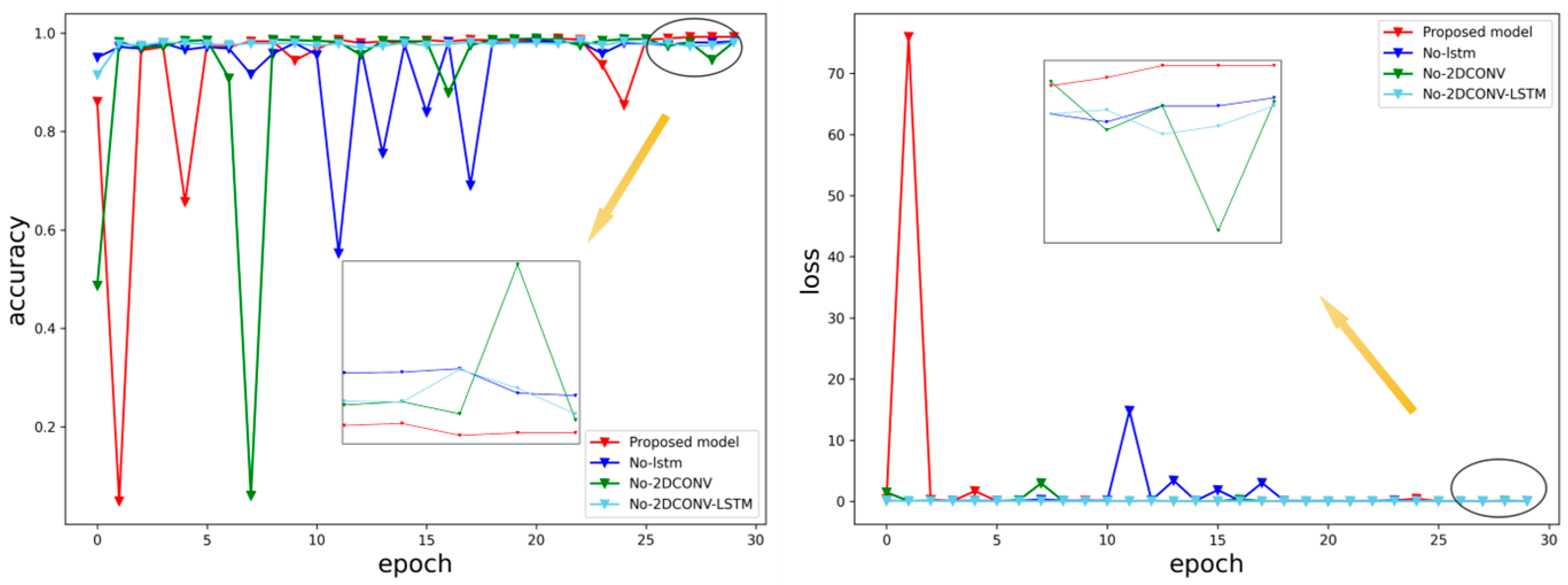
- Remove the LSTM module: the accuracy is 98.2%, and the loss function is 0.05341.
- Remove the two-dimensional convolution module: the accuracy is 98.1%, and the loss function is 0.03859.
- Remove the LSTM and two-dimensional convolution modules at the same time: the accuracy is 98%, and the loss function is 0.04234.
- Remove the LSTM module: accuracy 0.9775, precision 0.9909, recall 0.9699, F1-score 0.9803.
- Remove the two-dimensional convolution module: accuracy 0.9877, precision 0.9909, recall 0.9873, F1-score 0.9891.
- Remove the LSTM and two-dimensional convolution modules at the same time: accuracy 0.9724, precision 0.9761, recall 0.9743, F1-score 0.9752.
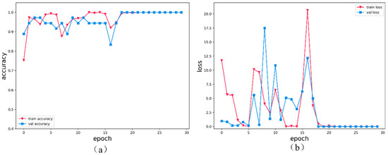
4.2. New Delhi Dataset
4.3. Comparison and Discussion with Related Studies
5. Conclusions
Author Contributions
Funding
Institutional Review Board Statement
Informed Consent Statement
Data Availability Statement
Conflicts of Interest
References
- Deivasigamani, S.; Senthilpari, C.; Wong, H.Y. Computer Aided Automatic Detection and Classification of EEG Signals for Screening Epilepsy Disorder. J. Inf. Sci. Eng. 2018, 34, 687–700. [Google Scholar]
- Lasefr, Z.; Elleithy, K.; Reddy, R.R.; Abdelfattah, E.; Faezipour, M. An Epileptic Seizure Detection Technique Using EEG Signals with Mobile Application Development. Appl. Sci. 2023, 13, 9571. [Google Scholar] [CrossRef]
- Fatma, N.; Singh, P.; Siddiqui, M.K. Survey on Epileptic Seizure Detection on Varied Machine Learning Algorithms. Int. J. Image Graph. 2023, 2550013. [Google Scholar] [CrossRef]
- Harikumar, R.; Babu, C.G.; Shankar, M.G. Extreme Learning Machine (ELM) based Performance Analysis and Epilepsy Identification from EEG Signals. Iete J. Res. 2021, 69, 6304–6314. [Google Scholar] [CrossRef]
- Ibrahim, S.; Djemal, R.; Alsuwailem, A. Electroencephalography (EEG) signal processing for epilepsy and autism spectrum disorder diagnosis. Biocybern. Biomed. Eng. 2018, 38, 16–26. [Google Scholar] [CrossRef]
- Iranmanesh, S.; Raikos, G.; Imtiaz, S.A.; Rodriguez-Villegas, E. A Seizure-Based Power Reduction SoC for Wearable EEG in Epilepsy. IEEE Access 2019, 7, 151682–151691. [Google Scholar] [CrossRef]
- Khan, K.A.; Shanir, P.P.; Khan, Y.U.; Farooq, O. A hybrid Local Binary Pattern and wavelets based approach for EEG classification for diagnosing epilepsy. Expert Syst. Appl. 2020, 140, 112895. [Google Scholar] [CrossRef]
- Kumar, G.; Chander, S.; Almadhor, A. An intelligent epilepsy seizure detection system using adaptive mode decomposition of EEG signals. Phys. Eng. Sci. Med. 2022, 45, 261–272. [Google Scholar] [CrossRef] [PubMed]
- Murariu, M.G.; Dorobantu, F.R.; Tarniceriu, D. A Novel Automated Empirical Mode Decomposition (EMD) Based Method and Spectral Feature Extraction for Epilepsy EEG Signals Classification. Electronics 2023, 12, 1958. [Google Scholar] [CrossRef]
- Sikdar, D.; Roy, R.; Mahadevappa, M. Epilepsy and seizure characterisation by multifractal analysis of EEG subbands. Biomed. Signal Process. Control 2018, 41, 264–270. [Google Scholar] [CrossRef]
- Sunaryono, D.; Sarno, R.; Siswantoro, J. Gradient boosting machines fusion for automatic epilepsy detection from EEG signals based on wavelet features. J. King Saud Univ.-Comput. Inf. Sci. 2022, 34, 9591–9607. [Google Scholar] [CrossRef]
- Ai, G.P.; Zhang, Y.J.; Wen, Y.Z.; Gu, M.H.; Zhang, H.H.; Wang, P.J. Convolutional neural network-based lightweight hardware IP core design for EEG epilepsy prediction. Microelectron. J. 2023, 137, 105810. [Google Scholar] [CrossRef]
- Ficici, C.; Telatar, Z.; Erogul, O. Automated temporal lobe epilepsy and psychogenic nonepileptic seizure patient discrimination from multichannel EEG recordings using DWT based analysis. Biomed. Signal Process. Control 2022, 77, 103755. [Google Scholar] [CrossRef]
- Gangstad, S.W.; Mikkelsen, K.B.; Kidmose, P.; Tabar, Y.R.; Weisdorf, S.; Lauritzen, M.H.; Hemmsen, M.C.; Hansen, L.K.; Kjaer, T.W.; Duun-Henriksen, J. Automatic sleep stage classification based on subcutaneous EEG in patients with epilepsy. Biomed. Eng. Online 2019, 18, 106. [Google Scholar]
- Ghazali, S.M.; Alizadeh, M.; Mazloum, J.; Baleghi, Y. Modified binary salp swarm algorithm in EEG signal classification for epilepsy seizure detection. Biomed. Signal Process. Control 2022, 78, 103858. [Google Scholar]
- Gu, Y.; Cleeren, E.; Dan, J.; Claes, K.; Van Paesschen, W.; Van Huffel, S.; Hunyadi, B. Comparison between Scalp EEG and Behind-the-Ear EEG for Development of a Wearable Seizure Detection System for Patients with Focal Epilepsy. Sensors 2018, 18, 29. [Google Scholar] [CrossRef]
- Gaurav, G.; Shukla, R.; Singh, G.; Sahani, A.K. A Machine Learning Approach to the Smartwatch-based Epileptic Seizure Detection System. IETE J. Res. 2022, 1–13. [Google Scholar] [CrossRef]
- Gini, A.T.P.; Queen, M.P.F. Epileptic seizure detection in EEG using improved entropy. Int. J. Biomed. Eng. Technol. 2020, 33, 325–345. [Google Scholar] [CrossRef]
- Hussein, R.; Elgendi, M.; Wang, Z.J.; Ward, R.K. Robust detection of epileptic seizures based on L1-penalized robust regression of EEG signals. Expert Syst. Appl. 2018, 104, 153–167. [Google Scholar] [CrossRef]
- Majzoub, S.; Fahmy, A.; Sibai, F.; Diab, M.; Mahmoud, S. Epilepsy Detection with Multi-channel EEG Signals Utilizing AlexNet. Circuits Syst. Signal Process. 2023, 42, 6780–6797. [Google Scholar] [CrossRef]
- Sidaoui, B.; Sadouni, K. Epilepsy Seizure Prediction from EEG Signal Using Machine Learning Techniques. Adv. Electr. Comput. Eng. 2023, 23, 47–54. [Google Scholar] [CrossRef]
- Vani, S.; Suresh, G.R.; Balakumaran, T.; Ashawise, C.T. EEG Signal Analysis for Automated Epilepsy Seizure Detection Using Wavelet Transform and Artificial Neural Network. J. Med. Imaging Health Inform. 2019, 9, 1301–1306. [Google Scholar] [CrossRef]
- Aayesh; Qureshi, M.B.; Afzaal, M.; Qureshi, M.S.; Gwak, J. Fuzzy-Based Automatic Epileptic Seizure Detection Framework. CMC-Comput. Mater. Contin. 2022, 70, 5601–5630. [Google Scholar] [CrossRef]
- Glory, H.A.; Vigneswaran, C.; Jagtap, S.S.; Shruthi, R.; Hariharan, G.; Sriram, V.S.S. AHW-BGOA-DNN: A novel deep learning model for epileptic seizure detection. Neural Comput. Appl. 2021, 33, 6065–6093. [Google Scholar] [CrossRef]
- Chen, Z.X.; Lu, G.L.; Xie, Z.H.; Shang, W. A Unified Framework and Method for EEG-Based Early Epileptic Seizure Detection and Epilepsy Diagnosis. IEEE Access 2020, 8, 20080–20092. [Google Scholar] [CrossRef]
- Dang, W.D.; Lv, D.M.; Rui, L.G.; Liu, Z.A.; Chen, G.R.; Gao, Z.K. Studying Multi-Frequency Multilayer Brain Network via Deep Learning for EEG-Based Epilepsy Detection. IEEE Sens. J. 2021, 21, 27651–27658. [Google Scholar] [CrossRef]
- Lebal, A.; Moussaoui, A.; Rezgui, A. Epilepsy-Net: Attention-based 1D-inception network model for epilepsy detection using one-channel and multi-channel EEG signals. Multimed. Tools Appl. 2023, 82, 17391–17413. [Google Scholar] [CrossRef]
- Li, M.Y.; Chen, W.Z.; Zhang, T. Classification of epilepsy EEG signals using DWT-based envelope analysis and neural network ensemble. Biomed. Signal Process. Control 2017, 31, 357–365. [Google Scholar] [CrossRef]
- Andrzejak, R.G.; Lehnertz, K.; Mormann, F.; Rieke, C.; David, P.; Elger, C.E. Indications of nonlinear deterministic and finite-dimensional structures in time series of brain electrical activity: Dependence on recording region and brain state. Phys. Rev. E 2001, 64, 061907. [Google Scholar] [CrossRef]
- Swami, P.; Panigrahi, B.; Nara, S.; Bhatia, M.; Gandhi, T. EEG Epilepsy Datasets. 2016. Available online: https://www.researchgate.net/publication/308719109_EEG_Epilepsy_Datasets (accessed on 28 February 2024).
- Tsipouras, M. Spectral information of EEG signals with respect to epilepsy classification. Eurasip J. Adv. Signal Process. 2019, 2019, 10. [Google Scholar] [CrossRef]
- Lenkov, D.N.; Volnova, A.B.; Pope, A.R.D.; Tsytsarev, V. Advantages and limitations of brain imaging methods in the research of absence epilepsy in humans and animal models. J. Neurosci. Methods 2013, 212, 195–202. [Google Scholar] [CrossRef] [PubMed]
- Hussain, I.; Hossain, M.A.; Jany, R.; Bari, M.A.; Uddin, M.; Kamal, A.R.M.; Ku, Y.; Kim, J.S. Quantitative evaluation of EEG-biomarkers for prediction of sleep stages. Sensors 2022, 22, 3079. [Google Scholar] [CrossRef]
- Samiee, K.; Kovács, P.; Gabbouj, M. Epileptic Seizure Classification of EEG Time-Series Using Rational Discrete Short-Time Fourier Transform. IEEE Trans. Biomed. Eng. 2015, 62, 541–552. [Google Scholar] [CrossRef] [PubMed]
- San-Segundo, R.; Gil-Martín, M.; D'Haro-Enríquez, L.F.; Pardo, J.M. Classification of epileptic EEG recordings using signal transforms and convolutional neural networks. Comput. Biol. Med. 2019, 109, 148–158. [Google Scholar] [CrossRef] [PubMed]
- Sonmezocak, T.; Guler, G.; Yildiz, M. Classification of Resampled Pediatric Epilepsy EEG Data Using Artificial Neural Networks with Discrete Fourier Transforms. Elektron. Ir Elektrotechnika 2023, 29, 19–25. [Google Scholar] [CrossRef]
- Shayeste, H.; Asl, B.M. Automatic seizure detection based on Gray Level Co-occurrence Matrix of STFT imaged-EEG. Biomed. Signal Process. Control 2023, 79, 104109. [Google Scholar] [CrossRef]
- Tahir, M.; Halim, Z.; Waqas, M.; Sukhia, K.N.; Tu, S.S. Emotion detection using convolutional neural network and long short-term memory: A deep multimodal framework. Multimed. Tools Appl. 2023, 83, 53497–53530. [Google Scholar] [CrossRef]
- Do, N.T.; Kim, S.H.; Yang, H.J.; Lee, G.S.; Yeom, S. Context-Aware Emotion Recognition in the Wild Using Spatio-Temporal and Temporal-Pyramid Models. Sensors 2021, 21, 2344. [Google Scholar] [CrossRef]
- Graves, A.; Graves, A. Long short-term memory. In Supervised Sequence Labelling with Recurrent Neural Networks; Springer: Berlin/Heidelberg, Germany, 2012; pp. 37–45. [Google Scholar]
- Han, X.; Ghaemi, M.S.; Ando, K.; Einhaus, J.; Wong, R.J.; Stevenson, D.K.; Gaudilliere, B. Differential dynamics of the maternal immune system in healthy pregnancy and preeclampsia. Front. Immunol. 2019, 10, 450842. [Google Scholar] [CrossRef]
- Riccio, C.; Martone, A.; Zazzaro, G.; Pavone, L. Training Datasets for Epilepsy Analysis: Preprocessing and Feature Extraction from Electroencephalography Time Series. Data 2024, 9, 61. [Google Scholar] [CrossRef]
- Shen, M.; Wen, P.; Song, B.; Li, Y. An EEG based real-time epilepsy seizure detection approach using discrete wavelet transform and machine learning methods. Biomed. Signal Process. Control 2022, 77, 103820. [Google Scholar] [CrossRef]
- Xu, G.; Ren, T.; Chen, Y.; Che, W. A One-Dimensional CNN-LSTM Model for Epileptic Seizure Recognition Using EEG Signal Analysis. Front. Neurosci. 2020, 14, 578126. [Google Scholar] [CrossRef]














| Healthy Control | Patients with Epilepsy | ||||
|---|---|---|---|---|---|
| Identifier | Z | O | N | F | S |
| State | Opened eyes | Closed eyes | Interictal period | Interictal period | Ictal period |
| Electrode position | Scalp | Scalp | Intracranial hippocampus | Intracranial lesion area | Intracranial lesion area |
| Authors | Modeling Method | Dataset | Performance Metrics |
|---|---|---|---|
| Richhariya and Tanveer [15] | PCA, ICA and DWT | University of Bonn | Accuracy 99.0% |
| Li et al. [28] | Wavelet-based envelope analysis | University of Bonn | Accuracy 98.8% |
| Shen et al. [43] | Discrete wavelet transform and support vector machine | University of Bonn | Accuracy 97%, sensitivity 96.67% |
| Xu et al. [44] | 1D CNN-LSTM | University of Bonn | Accuracy 99.39%, Precision 98.39%, Recall 98.79%, F1-score 98.59% |
| Proposed method | Multimodal dual-stream networks | University of Bonn | Accuracy 99.69%, Precision 99.44%, Recall 1%, F1-score 99.72% |
Disclaimer/Publisher’s Note: The statements, opinions and data contained in all publications are solely those of the individual author(s) and contributor(s) and not of MDPI and/or the editor(s). MDPI and/or the editor(s) disclaim responsibility for any injury to people or property resulting from any ideas, methods, instructions or products referred to in the content. |
© 2024 by the authors. Licensee MDPI, Basel, Switzerland. This article is an open access article distributed under the terms and conditions of the Creative Commons Attribution (CC BY) license (https://creativecommons.org/licenses/by/4.0/).
Share and Cite
Wang, B.; Xu, Y.; Peng, S.; Wang, H.; Li, F. Detection Method of Epileptic Seizures Using a Neural Network Model Based on Multimodal Dual-Stream Networks. Sensors 2024, 24, 3360. https://doi.org/10.3390/s24113360
Wang B, Xu Y, Peng S, Wang H, Li F. Detection Method of Epileptic Seizures Using a Neural Network Model Based on Multimodal Dual-Stream Networks. Sensors. 2024; 24(11):3360. https://doi.org/10.3390/s24113360
Chicago/Turabian StyleWang, Baiyang, Yidong Xu, Siyu Peng, Hongjun Wang, and Fang Li. 2024. "Detection Method of Epileptic Seizures Using a Neural Network Model Based on Multimodal Dual-Stream Networks" Sensors 24, no. 11: 3360. https://doi.org/10.3390/s24113360
APA StyleWang, B., Xu, Y., Peng, S., Wang, H., & Li, F. (2024). Detection Method of Epileptic Seizures Using a Neural Network Model Based on Multimodal Dual-Stream Networks. Sensors, 24(11), 3360. https://doi.org/10.3390/s24113360
