IR.WoT: An Architecture and Vision for a Unified Web of Things Search Engine
Abstract
1. Introduction
2. WoTSE: Background and Related Work
2.1. WoTSE-Related Key Concepts
- Internet of Things (IoT): A network of physical objects, or “things” embedded with electronics, software, sensors, and actuators. These things connect to the internet to collect and exchange data. IoT applications range from simple tasks like monitoring room temperature to complex systems like managing self-driving car networks. Formal and extended definitions can be found in ITU-T (https://www.itu.int/ITU-T/recommendations/rec.aspx?rec=y.2060 accessed on 1 March 2024) and IETF (https://www.ietf.org/topics/iot/ accessed on 1 March 2024).
- Web of Things (WoT): An extension of the web that allows interaction with physical objects through standardized web technologies like HTTP, REST, XML [8], and JSON [9]. WoT provides an abstraction layer, creating a virtual representation of a physical object called a “Thing Description”. This description can be accessed and interacted with using web protocols. This enables applications to consistently discover and interact with a wide range of IoT devices, regardless of the underlying hardware or communication protocols. The term “Web of Things”was used for the first time in 2007 by David Raggett at the UWE Web Developers Conference in Bristol (United Kingdom) according to several specialized media on the subject (https://www.w3.org/People/Raggett/ accessed on 1 March 2024).
- Thing Description: A standardized format for describing the capabilities and properties of a physical object in the WoT. A Thing Description typically includes information such as the object’s type, sensors and actuators, the data it collects, and actions it performs. This standardization allows different applications and devices to consistently understand and interact with the object (https://www.w3.org/TR/architecture-wot/ accessed on 1 March 2024).
- Thing Model: A conceptual representation of a physical object in the WoT. Think of a Thing Model as a blueprint for creating Thing Descriptions. It defines the essential characteristics and functionalities a specific type of object should have in the WoT.
- WoT Architecture: A set of principles and guidelines for designing and implementing WoT systems. The WoT architecture typically includes components like Thing Descriptions, protocols for device-to-application communication, and mechanisms for device discovery and registration.
- WoT Discovery: The process of finding and identifying WoT resources on the Web. WoT discovery protocols allow applications to search for devices based on their capabilities or location.
- WoT Security and Privacy: The set of measures and techniques used to protect WoT systems from unauthorized access, use, or modification. WoT security is crucial as it ensures the privacy and integrity of data collected by IoT devices and services provided through them [10].
- WoT Search Engine (WoTSE): A specialized search engine designed to find and discover WoT resources on the Web [5,11]. Similar to how traditional search engines index websites, WoTSEs index Thing Descriptions or other metadata associated with WoT devices. This allows developers and users to find relevant IoT devices based on their functionalities and capabilities.
2.2. Challenges of Traditional Web Search in the WoT Context
- Focus on Textual Content: Traditional search engines primarily rely on textual content analysis to index and rank web pages. However, WoT resources often lack rich textual descriptions. Sensors and actuators communicate data streams that require specialized indexing techniques.
- Limited Understanding of Thing Functionalities: Web search engines struggle to understand the functionalities and capabilities of physical objects represented in WoT. Current web search offers limited ways to search based on sensor types, data formats, or actions supported by a device.
- Lack of Standardized Metadata: Traditional search engines rely on metadata embedded in web pages. WoT currently lacks standardized metadata descriptions for physical objects. This makes it difficult to discover devices based on specific functionalities or data characteristics.
- Real-Time Data and State Changes: WoT abstracts a large number of real-world objects that continuously produce data streams. Traditional IR systems are not designed to handle this level of dynamism and require frequent updates to maintain accurate search results.
- Scalability: The anticipated growth of billions of interconnected devices in the WoT necessitates scalable search engine architectures to handle the massive amount of data and information generated.
- Evolving Search Requirements: As the WoT landscape matures, user search needs will evolve beyond basic keyword searches. Users will require advanced functionalities to discover devices based on sensor types, data formats, real-time data characteristics, and desired functionalities within their IoT applications.
- Security, Privacy, and Trust: WoTSEs shall balance powerful search functionalities with user privacy [12]. Data exposure from queries and semantic inferences from sensor data raise concerns. Mitigating these requires minimizing data collection, exploring decentralized architectures, and robust security protocols. Building trust hinges on user control and adherence to evolving WoT security standards [13].
2.3. WoT Conceptual Model
3. Proposed System: IR.WoT Architecture
- Crawling (Data Ingestion/Preprocessing): This module is responsible for collecting data from various WoT devices and sensors, handling different data formats and protocols. In our implementation, an event-driven simulation mechanism is used to inject synthetic WoT-like data. This module also prepares the ingested data for indexing based on the data type. This includes cleaning, normalization, and feature extraction.
- Indexing: This module processes the preprocessed data and builds searchable indexes for efficient retrieval. Indexing techniques may vary depending on the data type (e.g., full-text indexing for textual data, spatial indexing for location-based searches). A more detailed description of the indexing mechanism is provided in the next section.
- Querying: This module allows users to submit queries through an interface. The interface facilitates specifying keywords, locations, time frames, and data types of interest. The design considerations section provides details regarding the graphical user interface (GUI).
- Retrieving and Ranking: This module ranks the retrieved data based on its relevance to the user’s query. The ranking algorithm considers factors such as keyword matching, spatial proximity, and temporal relevance. We employ a base algorithm with extensions inspired by BM25.
- Presentation (Query and Results UI): This module presents the search results in a user-friendly format. This can include raw sensor data, sensor descriptions, or information about physical objects associated with the sensors. This is also responsible for capturing the user information needs in the form of queries.
3.1. IR.WoT General System Functionalities
3.2. Evolutionary Directions and Engineering
4. System Implementation: Design Considerations and Cloud Deployment
4.1. Design Considerations in the Query and Presentation Module
4.1.1. Simple and Composite Queries
- Simple Queries in the form //A[B]
- Composite Queries of the form //A[B]//C[D]
4.1.2. User Interface—Query UI
- Main Menu: The UI presents a main menu with hyperlinks to various sections, including:
- –
- A search bar for entering natural language queries.
- –
- Structure constraints to filter results based on sensors, things (physical objects), or spaces. This allows users to refine their search based on the type of data they require.
- –
- The ability to search for XML elements related to contact information for individuals who own or manage elements within the WoT system (e.g., sensors, things, spaces).
- CAS Constraints: The system offers advanced options for specifying CAS constraints on XML elements. These constraints can be applied to properties, actions, and events associated with the data.
- Location Awareness: The IR.WoT system offers location-aware search functionality. By default, it will prompt users to share their current location to center search results geographically. Alternatively, users can choose to assume a specific location (e.g., Granada, Spain) as the search origin.
- Navigation Bar: The left navigation bar provides informative hyperlinks:
- –
- Information about the underlying scientific research project.
- –
- Details on the IR system itself.
- –
- Submenus offering:
- *
- A “Home” or search interface button.
- *
- Instructions for using the search engine.
- *
- An overview of the general IR.WoT system architecture.
- *
- Advanced configuration options for the search engine (accessible to users with technical expertise). This menu can be collapsed to maximize screen space for the search interface.
- Open-Source Development: The IR.WoT system, along with the associated SIM.WoT discrete event simulator (used to generate synthetic data) is licensed under the General Public License v3.0. The source code is available on GitHub, accessible through the icon in the top right corner of the UI.
4.1.3. User Interface—Results UI
- General Information of Results. The user is provided with the following information:
- –
- The query terms entered by the user are paraphrased.
- –
- Number of Results presented on the page and the total number of matches. Or if not, a message if no match is found.
- –
- An indication of the translation to NEXI of the constraints entered by the user.
- Ordered List of Results. Each outcome item is presented with the following detailed information.
- –
- Hyperlink to the matching XML document.
- –
- The relevance value for each document, this for practical and prototyping purposes only.
- –
- Short descriptive name of the corresponding entity.
- –
- Geographic coordinates of the entity corresponding to query time.
- –
- General status of the entity (virtual things and sensors) at query time.
- –
- Sorted list of internal XML elements matching the query from most to least relevant.
- Results Location Map.
- –
- Center of the map corresponds to the current location of the user or query.
- –
- Geo-localized markers for each of the results.
- –
- Search radius selected by the user in the query.
4.2. Design Considerations in the Indexing and Analysis Module
| Algorithm 1 Index construction in IR.WoT |
Require:
|
4.3. Design Considerations in the Ranking and Retrieval Module
4.4. Cloud Deployment Considerations
- Search in the Web of Things (WoT).
- Run CO and CAS queries in WoT.
- Run experimental framework with IR.WoT.
- Collect IR.WoT experimental statistics.
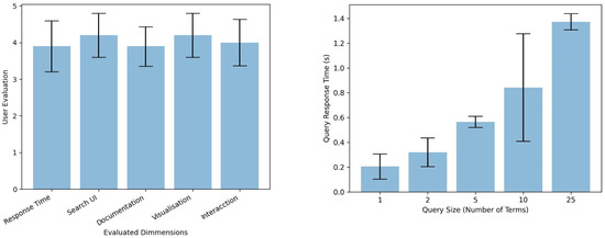
5. Experimentation and Evaluation
5.1. Evaluation in Time and Space Performance
- Insertion: We measure the average time required to insert new data into the index structures.
- Updation: We evaluate the average time required to modify existing data within the indexes.
- Deletion: We measure the average time to delete data from the indexes.
- Search: We evaluate the average time required to perform search queries using the different index structures.
5.2. Usability and User Experience Evaluation
5.2.1. Test and Control Procedures
5.2.2. User Testing Session I
- Complete a participation consent form and a background and user experience questionnaire. It is used as the base model of the information and informed consent sheet for the study participants.
- Provide information about the user’s information needs and search requirements in a search form.
- Receive tutorial session on the use of IR.WoT.
- Perform searches on the user’s own information problem in the order provided.
- Use the online instructions by clicking on the corresponding menus.
- Obtain a digital copy of the search results of a predetermined size;
- Complete an online questionnaire regarding user satisfaction regarding IR.WoT search engine features and interaction.
- Repeat steps (4) to (7) until all searches are tested.
5.2.3. User Testing Session II
- Evaluate the relevance of search results according to a set of delivered judgment guidelines.
- Select and sort items from search results according to the instructions provided.
- Participate in a post-search interview to provide feedback on the search process, IR system, and overall engine performance.
5.3. Experimentation Report and Analysis of Results
6. Conclusions and Future Work
Future Work and Research Directions
- Data Minimization: Minimizing the amount of data collected and stored is crucial. WoTSEs should focus on retrieving only the data necessary to fulfill user queries.
- Decentralized Architectures: Centralized user data storage creates a single point of failure and a privacy risk. Exploring decentralized architectures can distribute trust and potentially enhance privacy.
- Dynamic Consent Management: Users should have granular control over what data is collected, used, and for how long. Fine-grained consent mechanisms are essential.
Author Contributions
Funding
Institutional Review Board Statement
Informed Consent Statement
Data Availability Statement
Conflicts of Interest
Abbreviations
| CoT | Cloud of Things |
| IoT | Internet of Things |
| IR | Information Retrieval |
| WoT | Web of Things |
| WoTSE | Web of Things Search Engine |
| XaaS | cloud-based services |
References
- Son, Y.H.; Lee, K.C. Cloud of things based on linked data. In Proceedings of the 2018 International Conference on Information Networking (ICOIN), Chiang Mai, Thailand, 10–12 January 2018; pp. 447–449. [Google Scholar] [CrossRef]
- Mohammed, A.; Obaid, H.; Pattnaik, P.K.; Pani, S.K. Towards on Cloud of Things: Survey, Challenges, Open Research Issues, and Tools. In Proceedings of the 2018 Second International Conference on Inventive Communication and Computational Technologies (ICICCT), Coimbatore, India, 20–21 April 2018; pp. 1458–1463. [Google Scholar] [CrossRef]
- Anees, T.; Habib, Q.; Al-Shamayleh, A.S.; Khalil, W.; Obaidat, M.A.; Akhunzada, A. The Integration of WoT and Edge Computing: Issues and Challenges. Sustainability 2023, 15, 5983. [Google Scholar] [CrossRef]
- Jirka, S.; Bröring, A.; Stasch, C. Discovery Mechanisms for the Sensor Web. Sensors 2009, 9, 2661–2681. [Google Scholar] [CrossRef] [PubMed]
- Zhou, Y.; De, S.; Wang, W.; Moessner, K. Search Techniques for the Web of Things: A Taxonomy and Survey. Sensors 2016, 16, 600. [Google Scholar] [CrossRef] [PubMed]
- Rafiq, I.; Mahmood, A.; Razzaq, S.; Jafri, S.H.M.; Aziz, I. IoT applications and challenges in smart cities and services. J. Eng. 2023, 2023, e12262. [Google Scholar] [CrossRef]
- Kojima, M.; Sakazawa, S. Building an IoT interoperable system based on the W3C Web of Things standard. In Proceedings of the 2022 IEEE 11th Global Conference on Consumer Electronics (GCCE), Osaka, Japan, 18–21 October 2022; pp. 182–183. [Google Scholar] [CrossRef]
- Bray, T.; Paoli, J.; Sperberg-McQueen, C.; Maler, E.; Yergeau, F. Extensible markup language (XML). World Wide Web J. 1997, 2, 27–66. [Google Scholar]
- Bray, T. The JavaScript Object Notation (JSON) Data Interchange Format. (RFC Editor,2017,12). Available online: https://www.rfc-editor.org/info/rfc8259 (accessed on 30 March 2024).
- Abba Ari, A.A.; Ngangmo, O.K.; Titouna, C.; Thiare, O.; Mohamadou, A.; Gueroui, A.M. Enabling privacy and security in Cloud of Things: Architecture, applications, security & privacy challenges. Appl. Comput. Inform. 2024, 20, 119–141. [Google Scholar]
- Tran, N.K.; Sheng, Q.Z.; Babar, M.A.; Yao, L. Searching the Web of Things: State of the Art, Challenges, and Solutions. ACM Comput. Surv. 2017, 50, 1–34. [Google Scholar] [CrossRef]
- Manta-Caro, C.; Fernández-Luna, J.M.; Fernández, W.J. Cybersecurity as Information Retrieval Dimension for Cloud-based Edge-powered IoT Search. In Proceedings of the 2020 IEEE Latin-American Conference on Communications (LATINCOM), Santo Domingo, Dominican Republic, 18–20 November 2020; pp. 1–6. [Google Scholar] [CrossRef]
- Sardar, R.; Anees, T. Web of Things: Security Challenges and Mechanisms. IEEE Access 2021, 9, 31695–31711. [Google Scholar] [CrossRef]
- Christophe, B.; Verdot, V.; Toubiana, V. Searching the “Web of Things”. In Proceedings of the 2011 IEEE Fifth International Conference on Semantic Computing (ICSC ’11), Palo Alto, CA, USA, 18–21 September 2011; pp. 308–315. [Google Scholar] [CrossRef]
- Iggena, T.; Bin Ilyas, E.; Fischer, M.; Tönjes, R.; Elsaleh, T.; Rezvani, R.; Pourshahrokhi, N.; Bischof, S.; Fernbach, A.; Xavier Parreira, J.; et al. IoTCrawler: Challenges and Solutions for Searching the Internet of Things. Sensors 2021, 21, 1559. [Google Scholar] [CrossRef]
- Cimmino, A.; Poveda-Villalón, M.; García-Castro, R. eWoT: A Semantic Interoperability Approach for Heterogeneous IoT Ecosystems Based on the Web of Things. Sensors 2020, 20, 822. [Google Scholar] [CrossRef]
- Seif Eddine, M.; Rodin, V. WoT Search Engine based on Multi Agent System: A Conceptual Framework. Int. J. Interact. Mob. Technol. 2022, 16, 49–61. [Google Scholar] [CrossRef]
- Llopis, J.A.; Fernández-García, A.J.; Criado, J.; Iribarne, L.; Ayala, R.; Wang, J.Z. A deep learning model for natural language querying in Cyber–Physical Systems. Internet Things 2023, 24, 100922. [Google Scholar] [CrossRef]
- Guinard, D. A Web of Things Application Architecture—Integrating the Real-World into the Web. Ph.D. Thesis, ETH Zurich, Zurich, Switzerland, 2011. [Google Scholar]
- Noura, M.; Atiquzzaman, M.; Gaedke, M. Interoperability in Internet of Things: Taxonomies and Open Challenges. Mob. Netw. Appl. 2019, 24, 796–809. [Google Scholar] [CrossRef]
- Faheem, M.R.; Anees, T.; Hussain, M. The Web of Things: Findability Taxonomy and Challenges. IEEE Access 2019, 7, 185028–185041. [Google Scholar] [CrossRef]
- Manta-Caro, C.; Fernández-Luna, J.M. Advances in real-time indexing models and techniques for the web of things. In Proceedings of the 2016 8th IEEE Latin-American Conference on Communications (LATINCOM), Medellin, Colombia, 15–17 November 2016; pp. 1–6. [Google Scholar]
- Tran, N.K.; Babar, M.A.; Sheng, Q.Z.; Grundy, J. A Framework for Internet of Things Search Engines Engineering. In Proceedings of the 2019 26th Asia-Pacific Software Engineering Conference (APSEC), Putrajaya, Malaysia, 2–5 December 2019; pp. 228–235. [Google Scholar]
- Tran, N.K.; Sheng, Q.Z.; Babar, M.A.; Yao, L.; Zhang, W.E.; Dustdar, S. Internet of Things Search Engine: Concepts, Classification, and Open Issues. arXiv 2018, arXiv:1812.02930. [Google Scholar]
- Zhang, N. Service Discovery and Selection Based on Dynamic QoS in the Internet of Things. Complexity 2021, 2021, 1–12. [Google Scholar] [CrossRef]
- Liang, F.; Qian, C.; Hatcher, W.G.; Yu, W. Search Engine for the Internet of Things: Lessons from Web Search, Vision, and Opportunities. IEEE Access 2019, 7, 104673–104691. [Google Scholar] [CrossRef]
- Raghu Nandan, R.; Nalini, N.; Hamsavath, P.N. IoT-CBSE: A Search Engine for Semantic Internet of Things. In Emerging Research in Computing, Information, Communication and Applications; Shetty, N.R., Patnaik, L.M., Nagaraj, H.C., Hamsavath, P.N., Nalini, N., Eds.; Springer: Singapore, 2022; pp. 265–271. [Google Scholar]
- Skarmeta, A.F.; Santa, J.; Martínez, J.A.; Parreira, J.X.; Barnaghi, P.; Enshaeifar, S.; Beliatis, M.J.; Presser, M.A.; Iggena, T.; Fischer, M.; et al. IoTCrawler: Browsing the Internet of Things. In Proceedings of the 2018 Global Internet of Things Summit (GIoTS), Bilbao, Spain, 4–7 June 2018; pp. 1–6. [Google Scholar]
- Yang, P.; Kang, X.; Wu, Q.; Yang, B.; Zhang, P. Participant Selection Strategy with Privacy Protection for Internet of Things Search. IEEE Access 2020, 8, 40966–40976. [Google Scholar] [CrossRef]
- Barclay, I.; Simpkin, C.; Bent, G.; Porta, T.L.; Millar, D.; Preece, A.; Taylor, I.; Verma, D. Enabling Discoverable Trusted Services for Highly Dynamic Decentralized Workflows. In Proceedings of the 2020 IEEE/ACM Workflows in Support of Large-Scale Science (WORKS), Atlanta, GA, USA, 12 November 2020; pp. 41–48. [Google Scholar] [CrossRef]
- Khadir, K.; Guermouche, N.; Monteil, T.; Guittoum, A. Towards avatar-based discovery for IoT services using social networking and clustering mechanisms. In Proceedings of the 2020 16th International Conference on Network and Service Management (CNSM), Izmir, Turkey, 2–6 November 2020; pp. 1–7. [Google Scholar] [CrossRef]
- Jung, J.; Chun, S.; Jin, X.; Lee, K.H. Enabling smart objects discovery via constructing hypergraphs of heterogeneous IoT interactions. J. Inf. Sci. 2018, 44, 110–124. [Google Scholar] [CrossRef]
- Nitti, M.; Atzori, L.; Cvijikj, I.P. Network navigability in the social Internet of Things. In Proceedings of the 2014 IEEE World Forum on Internet of Things (WF-IoT), Seoul, Republic of Korea, 6–8 March 2014; pp. 405–410. [Google Scholar]
- Ma, H.; Liu, W. A Progressive Search Paradigm for the Internet of Things. IEEE Multimed. 2018, 25, 76–86. [Google Scholar] [CrossRef]
- Pattar, S.; Buyya, R.; Venugopal, K.R.; Iyengar, S.S.; Patnaik, L.M. Searching for the IoT Resources: Fundamentals, Requirements, Comprehensive Review, and Future Directions. IEEE Commun. Surv. Tutor. 2018, 20, 2101–2132. [Google Scholar] [CrossRef]
- Pattar, S.; Kulkarni, D.S.; Vala, D.; Buyya, R.; Venugopal, K.R.; Iyengar, S.S.; Patnaik, L.M. Progressive Search Algorithm for Service Discovery in an IoT Ecosystem. In Proceedings of the 2019 International Conference on Internet of Things (iThings) and IEEE Green Computing and Communications (GreenCom) and IEEE Cyber, Physical and Social Computing (CPSCom) and IEEE Smart Data (SmartData), Atlanta, GA, USA, 14–17 July 2019; pp. 1041–1048. [Google Scholar]
- Kamilaris, A.; Yumusak, S.; Ali, M.I. WOTS2E: A search engine for a Semantic Web of Things. In Proceedings of the 2016 IEEE 3rd World Forum on Internet of Things (WF-IoT), Reston, VA, USA, 12–14 December 2016; pp. 436–441. [Google Scholar]
- Trotman, A.; Sigurbjörnsson, B. Narrowed Extended XPath I (NEXI). In Advances in XML Information Retrieval; Fuhr, N., Lalmas, M., Malik, S., Szlávik, Z., Eds.; Springer: Berlin/Heidelberg, Germany, 2005; pp. 16–40. [Google Scholar]
- Chinenyanga, T.T.; Kushmerick, N. Expressive Retrieval from XML Documents. In Proceedings of the 24th Annual International ACM SIGIR Conference on Research and Development in Information Retrieval (SIGIR ’01), New Orleans, LA, USA, 9–13 September 2001; pp. 163–171. [Google Scholar] [CrossRef]
- Fuhr, N.; Grossjohann, K. XIRQL: An XML Query Language Based on Information Retrieval Concepts. ACM Trans. Inf. Syst. 2004, 22, 313–356. [Google Scholar] [CrossRef]
- Michel, J.; Julien, C. A Cloudlet-Based Proximal Discovery Service for Machine-to-Machine Applications. In Mobile Computing, Applications, and Services; Memmi, G., Blanke, U., Eds.; Springer: Cham, Switzerland, 2014; pp. 215–232. [Google Scholar]
- Dhanalekshmi, G.; Asawa, K. Performance evaluation of various data structures in building efficient indexing schemes for XML documents. In Proceedings of the 2017 Tenth International Conference on Contemporary Computing (IC3), Noida, India, 10–12 August 2017; pp. 1–3. [Google Scholar] [CrossRef]
- Büttcher, S.; Clarke, C.L.A.; Cormack, G.V. Information Retrieval: Implementing and Evaluating Search Engines; MIT Press: Cambridge, MA, USA, 2010. [Google Scholar]
- Zhang, C. FuzWare: A fuzzy-based middleware for context-aware service. In Proceedings of the 2017 IEEE 2nd Advanced Information Technology, Electronic and Automation Control Conference (IAEAC), Chongqing, China, 25–26 March 2017; pp. 1181–1185. [Google Scholar]
- Gopinathan, D.; Asawa, K. New Path Based Index Structure for Processing CAS Queries over XML Database. J. Comput. Inf. Technol. 2017, 25, 211–225. [Google Scholar] [CrossRef]
- Geva, S.; Kamps, J.; Schenkel, R. (Eds.) Focused Retrieval of Content and Structure, 10th International Workshop of the Initiative for the Evaluation of XML Retrieval, INEX 2011, Saarbrücken, Germany, 12–14 December 2011; Revised Selected Papers; Lecture Notes in Computer Science; Springer: Berlin/Heidelberg, Germany, 2012; Volume 7424. [Google Scholar] [CrossRef]
- Belahyane, I.; Mammass, M.; Abioui, H.; Moutaoukkil, A.; Idarrou, A. Structural Information Retrieval in XML Documents: A Graph-based Approach. Int. J. Adv. Comput. Sci. Appl. 2022, 13, 0130377. [Google Scholar] [CrossRef]
- Bessai-Mechmache, F.Z.; Hammouche, K.; Alimazighi, Z. A Genetic Algorithm-Based XML Information Retrieval Model. In Proceedings of the 2020 21st International Arab Conference on Information Technology (ACIT), Giza, Egypt, 28–30 November 2020; pp. 1–5. [Google Scholar] [CrossRef]
- Itakura, K.Y.; Clarke, C.L. A Framework for BM25F-Based XML Retrieval. In Proceedings of the 33rd International ACM SIGIR Conference on Research and Development in Information Retrieval (SIGIR ’10), Geneva, Switzerland, 11–15 July 2010; pp. 843–844. [Google Scholar] [CrossRef]
- Manta-Caro, C.; Fernández-Luna, J.M. Modeling and Simulating the Web of Things from an Information Retrieval Perspective. ACM Trans. Web 2017, 12, 1–27. [Google Scholar] [CrossRef]
- Su, L.T. A comprehensive and systematic model of user evaluation of web search engines: I. Theory and background. J. Am. Soc. Inf. Sci. Technol. 2003, 54, 1175–1192. [Google Scholar] [CrossRef]











| Feature | IR.WoT | WoTmAS2E [17]; Mili-Rodin (2022) | eWoT [16]; Cimmino et al. (2020) | [23]; Tran et al. (2018, 2019) | WOTS2E [37]; Kamilaris et al. (2016) |
|---|---|---|---|---|---|
| Strengths | |||||
| Data Handling | Handles some diverse data types | Not explicitly addressed | Leverages semantics for heterogeneous data interoperability | May not support all data types | Supports diverse data types through progressive search approach |
| Search Flexibility | Allows for spatial, temporal, and thematic, content-based search | Spatial, temporal, and content-based search | Enables semantic search based on ontologies | Keyword-based search with ranking based on natural order | Semantic search with focus on geospatial aspects |
| Context Awareness | Considers spatiotemporal and thematic aspects during search | Considers spatiotemporal aspects during search | Can potentially leverage semantics for richer context awareness | Lacks consideration of specific contextual factors | May consider contextual factors through progressive search approach |
| Ranking and Retrieval | Employs BM25-inspired ranking for relevant IR | Not explicitly addressed | Not explicitly addressed | Utilizes ranking based on natural order or QoS metrics | Semantic similarity measures for ranking sensor data and actuator capabilities |
| Modular Architecture | Facilitates easier integration and future enhancements | Modular architecture with focus on agent communication | Layered-based approach which relies on SPARQL | Component-based framework | Component-based framework |
| Security and Privacy | Acknowledges the importance of security and privacy and trust, not addressed | Security and privacy not explicitly addressed | Security and privacy not explicitly addressed | Security and privacy not explicitly addressed | Security and privacy not explicitly addressed |
| Limitations | |||||
| Scalability | Not explicitly discussed for large-to-massive scale deployments | Scalability of multi-agent system architecture needs evaluation | Scalability of semantic reasoning needs evaluation | Scalability challenges not explicitly addressed | Scalability of semantic reasoning for large-scale deployments |
| Real-time Search | Not explicitly addressed how efficiently it handles real-time data | Efficiency of handling real-time data with multi-agent communication needs evaluation | May introduce overhead due to semantic reasoning for real-time data | Real-time aspects not explicitly addressed | Real-time aspects not explicitly addressed |
| Standardization | Adherence to future WoT search standards is to be determined | Adherence to future WoT search standards is to be determined | Relies on establishing ontologies and semantic descriptions | Lacks emphasis on standardization | Lacks emphasis on standardization |
| Index Structure | Insert | Delete | Update | Search |
|---|---|---|---|---|
| Map hash and Linked List | O(1) | O(1) | O(1) * | O(n) |
| Map hash and B+ Tree | O(1) | O(1) | O(1) * | >O(Log n) ** |
| Map hash and Red-Balck Tree | O(1) | O(1) | O(1) * | O(Log n) |
| Entity Type | Entity Number | Document Siye (KB) | Size by Type (KB) |
|---|---|---|---|
| IZN | 4 | 2.02 | 8.08 |
| SSP | 500 | 2.02 | 1010.00 |
| SSS | 16,500 | 1.27 | 20,955.00 |
| VTH | 16,500 | 1.13 | 18,645.00 |
| VSN | 16,500 | 1.13 | 18,645.00 |
| Total | 50,004 | 1.19 | 59,263.08 |
Disclaimer/Publisher’s Note: The statements, opinions and data contained in all publications are solely those of the individual author(s) and contributor(s) and not of MDPI and/or the editor(s). MDPI and/or the editor(s) disclaim responsibility for any injury to people or property resulting from any ideas, methods, instructions or products referred to in the content. |
© 2024 by the authors. Licensee MDPI, Basel, Switzerland. This article is an open access article distributed under the terms and conditions of the Creative Commons Attribution (CC BY) license (https://creativecommons.org/licenses/by/4.0/).
Share and Cite
Manta-Caro, C.; Fernández-Luna, J.M. IR.WoT: An Architecture and Vision for a Unified Web of Things Search Engine. Sensors 2024, 24, 3302. https://doi.org/10.3390/s24113302
Manta-Caro C, Fernández-Luna JM. IR.WoT: An Architecture and Vision for a Unified Web of Things Search Engine. Sensors. 2024; 24(11):3302. https://doi.org/10.3390/s24113302
Chicago/Turabian StyleManta-Caro, Cristyan, and Juan M. Fernández-Luna. 2024. "IR.WoT: An Architecture and Vision for a Unified Web of Things Search Engine" Sensors 24, no. 11: 3302. https://doi.org/10.3390/s24113302
APA StyleManta-Caro, C., & Fernández-Luna, J. M. (2024). IR.WoT: An Architecture and Vision for a Unified Web of Things Search Engine. Sensors, 24(11), 3302. https://doi.org/10.3390/s24113302

