Designing a Novel Hybrid Technique Based on Enhanced Performance Wideband Millimeter-Wave Antenna for Short-Range Communication
Abstract
1. Introduction
2. Design Method of Proposed Antenna
2.1. Single Element Design
2.2. Design Stages to Construct Single Element
2.3. Results of Single Element
2.3.1. S-Parameter and Gain
2.3.2. Radiation Pattern
3. Designing MIMO Configuration of Antenna with Novel Hybrid Technique
3.1. Design Procedure of MIMO Antenna
3.1.1. Orthogonally Placed Element MIMO Antenna
3.1.2. MIMO Antenna with DGS
3.1.3. MIMO Antenna with Decoupling Patch
3.1.4. MIMO Antenna with Novel Hybrid Technique
4. Results and Discussion
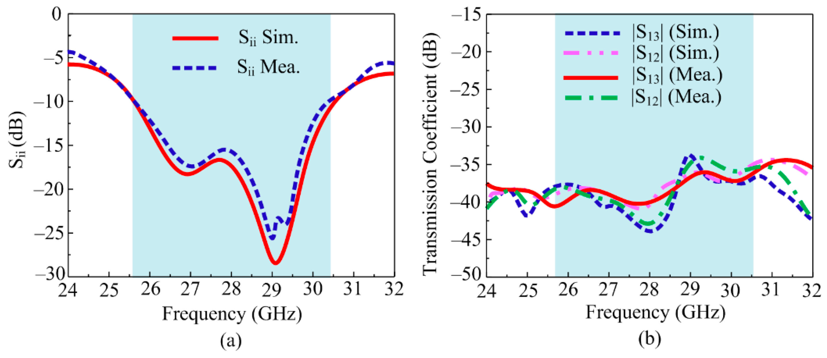
4.1. S-Parameter
4.2. Radiation Pattern
4.3. Gain
4.4. Envelop Correlation Coefficient
4.5. Diversity Gain
4.6. Channel Capacity Loss
4.7. Mean Effective Gain
4.8. Antenna with a Model Car
4.9. Comparison with the Literature
5. Conclusions
Author Contributions
Funding
Institutional Review Board Statement
Informed Consent Statement
Data Availability Statement
Conflicts of Interest
References
- Wen, C.; Huang, Y.; Zheng, L.; Liu, W.; Davidson, T.N. Transmit waveform design for dual-function radar-communication systems via hybrid linear-nonlinear precoding. IEEE Trans. Signal Process. 2023, 71, 2130–2145. [Google Scholar] [CrossRef]
- Sun, G.; Xu, Z.; Yu, H.; Chen, X.; Chang, V.; Vasilakos, A.V. Low-latency and resource-efficient service function chaining orchestration in network function virtualization. IEEE Internet Things J. 2020, 7, 5760–5772. [Google Scholar] [CrossRef]
- Gao, N.; Liu, J.; Deng, J.; Chen, D.; Huang, Q.; Pan, G. Design and performance of ultra-broadband composite meta-absorber in the 200 Hz–20 kHz range. J. Sound Vib. 2024, 574, 118229. [Google Scholar] [CrossRef]
- Sun, G.; Zhu, G.; Liao, D.; Yu, H.; Du, X.; Guizani, M. Cost-efficient service function chain orchestration for low-latency applications in NFV networks. IEEE Syst. J. 2019, 13, 3877–3888. [Google Scholar] [CrossRef]
- Hussain, M.; Awan, W.A.; Alzaidi, M.S.; Elkamchouchi, D.H. Self-decoupled tri band MIMO antenna operating over ISM, WLAN and C-band for 5G applications. Heliyon 2023, 9, 17404. [Google Scholar] [CrossRef] [PubMed]
- Wang, Q.; Li, P.; Rocca, P.; Li, R.; Tan, G.; Hu, N.; Xu, W. Interval-based tolerance analysis Method for Petal Reflector Antenna with Random Surface and Deployment Errors. IEEE Trans. Antennas Propag. 2023, 71, 8556–8569. [Google Scholar] [CrossRef]
- Nadeem, I.; Choi, D.Y. Study on mutual coupling reduction technique for MIMO antennas. IEEE Access 2018, 7, 563–586. [Google Scholar] [CrossRef]
- Jiang, Y.; Li, X. Broadband cancellation method in an adaptive co-site interference cancellation system. Int. J. Electron. 2022, 109, 854–874. [Google Scholar] [CrossRef]
- Fakhriddinovich, A.U.; Sufian, M.A.; Awan, W.A.; Hussain, N.; Kim, N. A compact antenna with multiple stubs for ISM, 5G Sub-6-GHz, and WLAN. IEEE Access 2023, 11, 130418–130425. [Google Scholar] [CrossRef]
- Islam, T.; Ali, E.M.; Awan, W.A.; Alzaidi, M.S.; Alghamdi, T.A.; Alathbah, M. A parasitic patch loaded staircase shaped UWB MIMO antenna having notch band for WBAN applications. Heliyon 2024, 10. [Google Scholar] [CrossRef]
- Awan, W.A.; Ali, E.M.; Alzaidi, M.S.; Elkamchouchi, D.H.; Alsunaydih, F.N.; Alsaleem, F.; Alhassoon, K. Enhancing isolation performance of tilted Beam MIMO antenna for short-range millimeter wave applications. Heliyon 2023, 9. [Google Scholar] [CrossRef] [PubMed]
- Huang, X.; Liu, Z. Low-cost W-band dual-mode SIW bandpass filters using commercially available printed-circuit-board technology. Electronics 2023, 12, 3624. [Google Scholar] [CrossRef]
- Prasad, N.; Pardhasaradhi, P.; Madhav, B.T.P.; Das, S.; Awan, W.A.; Hussain, N. Flexible metamaterial-based frequency selective surface with square and circular split ring resonators combinations for X-Band applications. Mathematics 2023, 11, 800. [Google Scholar] [CrossRef]
- Huang, X.; Zhang, X.; Zhou, L.; Xu, J.; Mao, J. Low-loss self-packaged Ka-band LTCC filter using artificial multimode SIW resonator. IEEE Trans. Circuits Syst. II Express Briefs 2023, 70, 451–455. [Google Scholar] [CrossRef]
- Huang, X.; Zhou, L.; Mao, J. Modified FSIW filter with N transmission zeros using BCB-based MEMS technology. IEEE Microw. Wirel. Compon. Lett. 2019, 29, 520–522. [Google Scholar] [CrossRef]
- Bayarzaya, B.; Hussain, N.; Awan, W.A.; Sufian, M.A.; Abbas, A.; Choi, D.; Lee, J.; Kim, N. A compact MIMO antenna with improved isolation for ISM, sub-6 GHz, and WLAN application. Micromachines 2022, 13, 1355. [Google Scholar] [CrossRef] [PubMed]
- Hussain, N.; Awan, W.A.; Ali, W.; Naqvi, S.I.; Zaidi, A.; Le, T.T. Compact wideband patch antenna and its MIMO configuration for 28 GHz applications. AEU Int. J. Electron. Commun. 2021, 132, 153612. [Google Scholar] [CrossRef]
- Ojaroudiparchin, N.; Shen, M.; Pedersen, G.F. A 28 GHz FR-4 compatible phased array antenna for 5G mobile phone applications. In Proceedings of the International Symposium on Antennas and Propagation (ISAP), Hobart, Australia, 9–12 November 2015; pp. 1–4. [Google Scholar]
- Lin, W.; Ziolkowski, R.W.; Baum, T.C. 28 GHz compact omnidirectional circularly polarized antenna for device-to-device communications in the future 5G systems. IEEE Trans. Antennas Propag. 2017, 65, 6904–6914. [Google Scholar] [CrossRef]
- Przesmycki, R.; Bugaj, M.; Nowosielski, L. Broadband microstrip antenna for 5G wireless systems operating at 28 GHz. Electronics 2020, 10, 1. [Google Scholar] [CrossRef]
- Arshad, F.; Ahmad, A.; Amin, Y.; Abbasi, M.A.B.; Choi, D.Y. MIMO antenna array with the capability of dual polarization reconfiguration for 5G mm-wave communication. Sci. Rep. 2022, 12, 18298. [Google Scholar] [CrossRef]
- Zahra, H.; Awan, W.A.; Ali, W.A.E.; Hussain, N.; Abbas, S.M.; Mukhopadhyay, S. A 28 GHz broadband helical inspired end-fire antenna and its MIMO configuration for 5G pattern diversity applications. Electronics 2021, 10, 405. [Google Scholar] [CrossRef]
- Kamal, M.M.; Yang, S.; Kiani, S.H.; Sehrai, D.A.; Alibakhshikenari, M.; Abdullah, M.; Falcone, F.; Limiti, E.; Munir, M. A Novel Hook-Shaped Antenna Operating at 28 GHz for Future 5G mmwave Applications. Electronics 2021, 10, 673. [Google Scholar] [CrossRef]
- Ali, M.M.M.; Sebak, A.R. Dual band (28/38 GHz) CPW slot directive antenna for future 5G cellular applications. In Proceedings of the IEEE International Symposium on Antennas and Propagation (APSURSI), Fajardo, Puerto Rico, 26 June–1 July 2016; pp. 399–400. [Google Scholar]
- Yu, B.; Yang, K.; Yang, G. A novel 28 GHz beam steering array for 5G mobile device with metallic casing application. IEEE Trans. Antennas Propag. 2017, 66, 462–466. [Google Scholar] [CrossRef]
- El Hadri, D.; Zakriti, A.; Zugari, A.; El Ouahabi, M.; El Aoufi, J. High isolation and ideal correlation using spatial diversity in a compact MIMO antenna for fifth-generation applications. Int. J. Antennas Propag. 2020, 2020, 2740920. [Google Scholar] [CrossRef]
- Usman, M.; Kobal, E.; Nasir, J.; Zhu, Y.; Yu, C.; Zhu, A. Compact SIW fed dual-port single element annular slot MIMO antenna for 5G mmWave applications. IEEE Access 2021, 9, 91995–92002. [Google Scholar] [CrossRef]
- Hussain, M.; Mousa Ali, E.; Jarchavi, S.M.R.; Zaidi, A.; Najam, A.I.; Alotaibi, A.A.; Althobaiti, A.; Ghoneim, S.S.M. Design and Characterization of Compact Broadband Antenna and Its MIMO Configuration for 28 GHz 5G Applications. Electronics 2022, 11, 523. [Google Scholar] [CrossRef]
- Hasan, M.N.; Seo, M. Compact omnidirectional 28 GHz 2 × 2 MIMO antenna array for 5G communications. In Proceedings of the International Symposium on Antennas and Propagation (ISAP), Busan, Republic of Korea, 23–26 October 2018; pp. 1–2. [Google Scholar]
- Khalid, M.; Iffat Naqvi, S.; Hussain, N.; Rahman, M.; Fawad; Mirjavadi, S.S.; Khan, M.J.; Amin, Y. 4-Port MIMO Antenna with Defected Ground Structure for 5G Millimeter Wave Applications. Electronics 2020, 9, 71. [Google Scholar] [CrossRef]
- Sehrai, D.A.; Abdullah, M.; Altaf, A.; Kiani, S.H.; Muhammad, F.; Tufail, M.; Irfan, M.; Glowacz, A.; Rahman, S. A Novel High Gain Wideband MIMO Antenna for 5G Millimeter Wave Applications. Electronics 2020, 9, 1031. [Google Scholar] [CrossRef]
- Askari, H.; Hussain, N.; Sufian, M.A.; Lee, S.M.; Kim, N. A wideband circularly polarized magnetoelectric dipole antenna for 5G millimeter-wave communications. Sensors 2022, 22, 2338. [Google Scholar] [CrossRef]
- Zhang, Y.; Deng, J.Y.; Li, M.J.; Sun, D.; Guo, L.X. A MIMO dielectric resonator antenna with improved isolation for 5G mm-wave applications. IEEE Antennas Wirel. Propag. Lett. 2019, 18, 747–751. [Google Scholar] [CrossRef]
- Yon, H.; Rahman, N.H.A.; Aris, M.A.; Jamaluddin, M.H.; Kong Cheh Lin, I.; Jumaat, H.; Mohd Redzwan, F.N.; Yamada, Y. Development of C-shaped parasitic MIMO antennas for mutual coupling reduction. Electronics 2021, 10, 2431. [Google Scholar] [CrossRef]
- Alanazi, M.D.; Khamas, S.K. A compact dual band MIMO dielectric resonator antenna with improved performance for mm-Wave applications. Sensors 2022, 22, 5056. [Google Scholar] [CrossRef] [PubMed]
- Bilal, M.; Naqvi, S.I.; Hussain, N.; Amin, Y.; Kim, N. High-isolation MIMO antenna for 5G millimeter-wave communication systems. Electronics 2022, 11, 962. [Google Scholar] [CrossRef]
- Esmail, B.A.; Koziel, S. High isolation metamaterial-based dual-band MIMO antenna for 5G millimeter-wave applications. AEU Int. J. Electron. Commun 2023, 158, 154470. [Google Scholar] [CrossRef]
- Murthy, N. Improved isolation metamaterial inspired mm-Wave MIMO dielectric resonator antenna for 5G application. Prog. Electromag. Res. C 2020, 100, 247–261. [Google Scholar] [CrossRef]
- Altaf, A.; Iqbal, A.; Smida, A.; Smida, J.; Althuwayb, A.A.; Hassan Kiani, S.; Alibakhshikenari, M.; Falcone, F.; Limiti, E. Isolation improvement in UWB-MIMO antenna system using slotted stub. Electronics 2020, 9, 1582. [Google Scholar] [CrossRef]
- Wani, Z.; Abegaonkar, M.P.; Koul, S.K. A 28-GHz antenna for 5G MIMO applications. Prog. Electromag. Res. Lett. 2018, 78, 73–79. [Google Scholar] [CrossRef]
- Tariq, S.; Naqvi, S.I.; Hussain, N.; Amin, Y. A metasurface-based MIMO antenna for 5G millimeter-wave applications. IEEE Access 2021, 9, 51805–51817. [Google Scholar] [CrossRef]
- Rajkumar, S.; Amala, A.A.; Selvan, K.T. Isolation improvement of UWB MIMO antenna utilising molecule fractal structure. Electron. Lett. 2019, 55, 576–579. [Google Scholar] [CrossRef]
- Nej, S.; Ghosh, A.; Ahmad, S.; Ghaffar, A.; Hussein, M. Compact quad band MIMO antenna design with enhanced gain for wireless communications. Sensors 2022, 22, 7143. [Google Scholar] [CrossRef]
- Gupta, S.; Briqech, Z.; Sebak, A.R.; Denidni, T.A. Mutual-coupling reduction using metasurface corrugations for 28 GHz MIMO applications. IEEE Antennas Wirel. Propag. Lett. 2017, 16, 2763–2766. [Google Scholar] [CrossRef]
- Awan, W.A.; Naqvi, S.I.; Naqvi, A.H.; Abbas, S.M.; Zaidi, A.; Hussain, N. Design and characterization of wideband printed antenna based on DGS for 28 GHz 5G applications. J. Electromag. Eng. Sci. 2021, 21, 177–183. [Google Scholar] [CrossRef]
- Hussain, N.; Awan, W.A.; Naqvi, S.I.; Ghaffar, A.; Zaidi, A.; Naqvi, S.A.; Iftikhar, A.; Li, X.J. A compact flexible frequency reconfigurable antenna for heterogeneous applications. IEEE Access 2020, 8, 173298–173307. [Google Scholar] [CrossRef]
- Chen, X.; Zhang, S.; Li, Q. A review of mutual coupling in MIMO systems. IEEE Access 2018, 6, 24706–24719. [Google Scholar] [CrossRef]
- Dama, Y.A.S.; Abd-Alhameed, R.A.; Jones, S.M.R.; Zhou, D.; McEwan, N.J.; Child, M.B.; Excell, P.S. An envelope correlation formula for (N, N) MIMO antenna arrays using input scattering parameters, and including power losses. Int. J. Antennas Propag. 2011, 2011, 421691. [Google Scholar] [CrossRef]
- Hussain, M.; Awan, W.A.; Ali, E.M.; Alzaidi, M.S.; Alsharef, M.; Elkamchouchi, D.H.; Alzahrani, A.; Fathy Abo Sree, M. Isolation improvement of parasitic elwement-loaded dual-band MIMO antenna for Mm-wave applications. Micromachines 2022, 13, 1918. [Google Scholar] [CrossRef] [PubMed]
- Jung, J.; Awan, W.A.; Choi, D.; Lee, J.; Hussain, N.; Kim, N. Design of high-gain and low-mutual-coupling multiple-input–multiple-output antennas based on PRS for 28 GHz applications. Electronics 2023, 12, 4286. [Google Scholar] [CrossRef]
- Hou, M.; Zhao, Y.; Ge, X. Optimal scheduling of the plug-in electric vehicles aggregator energy and regulation services based on grid to vehicle. Int. Trans. Electr. Energy Syst. 2017, 27, 2364. [Google Scholar] [CrossRef]
- Awan, W.A.; Hussain, N.; Park, S.G.; Kim, N. Intelligent metasurface based antenna with pattern and beam reconfigurability for internet of things applications. Alex. Eng. J. 2024, 92, 50–62. [Google Scholar] [CrossRef]
- Ding, Y.; Zhang, W.; Zhou, X.; Liao, Q.; Luo, Q.; Ni, L.M. FraudTrip: Taxi fraudulent trip detection from corresponding trajectories. IEEE Internet Things J. 2021, 8, 12505–12517. [Google Scholar] [CrossRef]
- Zhao, L.; Qu, S.; Xu, H.; Wei, Z.; Zhang, C. Energy-efficient trajectory design for secure SWIPT systems assisted by UAV-IRS. Veh. Commun. 2024, 45, 100725. [Google Scholar] [CrossRef]





















| Ref. | Dimensions (mm3) | Electrical Length (λ2) | Bandwidth (GHz) | Peak Gain (dBi) | Antenna Type |
|---|---|---|---|---|---|
| [18] | 110 × 55 × 0.8 | 10 × 5 | 27–29 | 13 | Phased Array |
| [19] | 2 × 2 × 1.575 | 0.18 × 0.18 | 27.2–28.2 | 2 | Meandered Radiator |
| [20] | 6.2 × 8.4 × 1.57 | 0.56 × 0.76 | 26.2–31.8 | 5.06 | T–shaped patch |
| [21] | 50 × 12 × 0.787 | 4.54 × 1.09 | 26.5–29.5 | 11.4 | Patch Array |
| [22] | 15 × 25 × 0.203 | 1.36 × 2.27 | 26.5–29.5 | 5.9 | Helical Inspired antenna |
| [23] | 26.5 × 19.5 × 0.506 | 2.41 × 1.77 | 27–29 | 10.3 | Array Antenna |
| [24] | 5 × 5 × 0.254 | 0.45 × 0.45 | 27.5–28.5 | – | Patch Antenna |
| [25] | 150 × 75 × 0.254 | 13.63 × 6.81 | 27.5–30 | – | Array Antenna |
| Prop. | 17 × 12 × 1.52 | 1.54 × 1.09 | 26.1–31.7 | 8.5 | Patch Antenna |
| Parameters Analyzed | Bandwidth (GHz) | Coupling (dB) | Gain (dBi) |
|---|---|---|---|
| Proposed Antenna Type | |||
| MIMO antenna | 26.5–30.5 | −17.25 | 9.25 |
| MIMO with Parasitic patch | 25.5–30.1 | −26 | 11 |
| MIMO with DGS | 25.5–30.3 | −27.5 | 10.9 |
| MIMO with Parasitic patch and DGS | 25.5–30.5 | −44 | 11.9 |
| Ref. |
Antenna Size (mm3) |
Electrical Size (λ2) |
Bandwidth (GHz) |
Coupling (dB) | ECC | Methodology Adopted | Parameter Improved |
|---|---|---|---|---|---|---|---|
| [40] | 48 × 31 × 0.254 | 4.2 × 2.7 | 26–31 | −21 | 0.0015 | EBG | Isolation |
| [41] | 41 × 28 × 0.787 | 3.6 × 2.4 | 24.6–26.5 | −32 | 0.001 | Meta surface | Isolation |
| [42] | 40 × 40 × 1.6 | 3.5 × 3.5 | 3.1–10.6 | −17 | 0.001 | DGS | Isolation |
| [43] | 30 × 35 × 0.787 | 2.6 × 3 | 27.5–28.5 | −27 | 0.0003 | Parasitic patch | Isolation |
| [44] | 85 × 21 × 0.508 | 7.4 × 1.8 | 27–32 | −23 | – | Metamaterial | Isolation |
| Proposed | 32 × 35 × 1.52 | 2.8 × 3 | 25.6–30.5 | −30 | 0.12 | Parasitic patch + DGS | Isolation + Bandwidth + Gain |
Disclaimer/Publisher’s Note: The statements, opinions and data contained in all publications are solely those of the individual author(s) and contributor(s) and not of MDPI and/or the editor(s). MDPI and/or the editor(s) disclaim responsibility for any injury to people or property resulting from any ideas, methods, instructions or products referred to in the content. |
© 2024 by the authors. Licensee MDPI, Basel, Switzerland. This article is an open access article distributed under the terms and conditions of the Creative Commons Attribution (CC BY) license (https://creativecommons.org/licenses/by/4.0/).
Share and Cite
Islam, T.; Hussain, D.; Alsunaydih, F.N.; Alsaleem, F.; Alhassoon, K. Designing a Novel Hybrid Technique Based on Enhanced Performance Wideband Millimeter-Wave Antenna for Short-Range Communication. Sensors 2024, 24, 3219. https://doi.org/10.3390/s24103219
Islam T, Hussain D, Alsunaydih FN, Alsaleem F, Alhassoon K. Designing a Novel Hybrid Technique Based on Enhanced Performance Wideband Millimeter-Wave Antenna for Short-Range Communication. Sensors. 2024; 24(10):3219. https://doi.org/10.3390/s24103219
Chicago/Turabian StyleIslam, Tanvir, Dildar Hussain, Fahad N. Alsunaydih, Fahd Alsaleem, and Khaled Alhassoon. 2024. "Designing a Novel Hybrid Technique Based on Enhanced Performance Wideband Millimeter-Wave Antenna for Short-Range Communication" Sensors 24, no. 10: 3219. https://doi.org/10.3390/s24103219
APA StyleIslam, T., Hussain, D., Alsunaydih, F. N., Alsaleem, F., & Alhassoon, K. (2024). Designing a Novel Hybrid Technique Based on Enhanced Performance Wideband Millimeter-Wave Antenna for Short-Range Communication. Sensors, 24(10), 3219. https://doi.org/10.3390/s24103219

