Efficient IoT-Assisted Waste Collection for Urban Smart Cities
Abstract
1. Introduction
2. Related Works
2.1. Urban Waste Management System
2.1.1. Household Waste Bins
2.1.2. Sector-Based Bins
2.1.3. Waste Pickup Transportation
2.1.4. City-Wide Dumping Centers
2.2. Literature Review
3. System Model
4. Proposed Technique
- Calculate the optimum number of dumpers required to collect the waste bins.
- Efficiently fill the dumpers with waste bins to enhance the toxicity of the collected waste material.
4.1. Calculating the Dumper Requirement
4.2. Optimum Waste Collection Algorithm
- 1.
- The carrying capacity of the sack in our problem is the dumper capacity to place waste bins.
- 2.
- The items to be selected in the knapsack problem are the waste bins placed at different locations in the metropolitan area.
- 3.
- The weight of an item in the knapsack problem is identical to the waste bin, and it is uniform with value 1.
- 4.
- The value of an item in the knapsack problem is replaced with the priority of the waste bin that is required to be collected. The priority of a bin directly depends on the toxicity type of the waste material, the remaining capacity of the bin, and the time since the last bin was emptied. Suppose that each bin has a waste capacity of K and the M amount of the bin is filled with the same toxic type of material. If the waste is placed in the bin in the last duration t, then the priority of the bin i () is calculated as follows:where is the toxicity level of the waste material.
| Algorithm 1: Waste Bin Collection Criteria |
![]() |
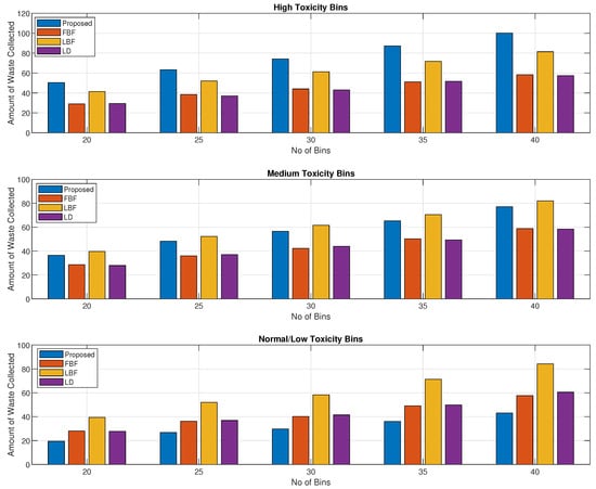
5. Results
Cost Analysis of the Proposed Method with Legacy System
6. Conclusions
Author Contributions
Funding
Institutional Review Board Statement
Informed Consent Statement
Data Availability Statement
Conflicts of Interest
References
- Zhu, W.; Zhu, C. A Prediction-Based Route Guidance Method Toward Intelligent and Green Transportation System. IEEE Internet Things J. 2023, 10, 12763–12776. [Google Scholar] [CrossRef]
- Sun, P.Z.; You, J.; Qiu, S.; Wu, E.Q.; Xiong, P.; Song, A.; Zhang, H.; Lu, T. AGV-Based Vehicle Transportation in Automated Container Terminals: A Survey. IEEE Trans. Intell. Transp. Syst. 2023, 24, 341–356. [Google Scholar] [CrossRef]
- Al-Nbhany, W.A.N.A.; Zahary, A.T.; Al-Shargabi, A.A. Blockchain-IoT Healthcare Applications and Trends: A Review. IEEE Access 2024, 12, 4178–4212. [Google Scholar] [CrossRef]
- Wang, S.; Zhou, X.; Wen, K.; Weng, B.; Zeng, P. Security Analysis of a User Authentication Scheme for IoT-Based Healthcare. IEEE Internet Things J. 2023, 10, 6527–6530. [Google Scholar] [CrossRef]
- Saad, M.; Ahmad, M.B.; Asif, M.; Khan, M.K.; Mahmood, T.; Mahmood, M.T. Blockchain-Enabled VANET for Smart Solid Waste Management. IEEE Access 2023, 11, 5679–5700. [Google Scholar] [CrossRef]
- Jammoul, M.; Semaan, N.; Jabaly, Y. Engineering Laboratories Chemical Waste Management—Introduction of a Web-Based System. IEEE Eng. Manag. Rev. 2023, 51, 205–214. [Google Scholar] [CrossRef]
- Yu, X. Low-Carbon Design of Green Packaging Based on Deep Learning Perspective for Smart City. IEEE Access 2023, 11, 117423–117433. [Google Scholar] [CrossRef]
- Awotunde, J.B.; Sur, S.N.; Jimoh, R.G.; Aremu, D.R.; Do, D.T.; Lee, B.M. FL_GIoT: Federated Learning Enabled Edge-Based Green Internet of Things System: A Comprehensive Survey. IEEE Access 2023, 11, 136150–136165. [Google Scholar] [CrossRef]
- Jammeli, H.; Ksantini, R.; Ben Abdelaziz, F.; Masri, H. Sequential Artificial Intelligence Models to Forecast Urban Solid Waste in the City of Sousse, Tunisia. IEEE Trans. Eng. Manag. 2023, 70, 1912–1922. [Google Scholar] [CrossRef]
- Hossen, M.M.; Majid, M.E.; Kashem, S.B.A.; Khandakar, A.; Nashbat, M.; Ashraf, A.; Hasan-Zia, M.; Kunju, A.K.A.; Kabir, S.; Chowdhury, M.E.H. A Reliable and Robust Deep Learning Model for Effective Recyclable Waste Classification. IEEE Access 2024, 12, 13809–13821. [Google Scholar] [CrossRef]
- Gómez-Sanabria, A.; Kiesewetter, G.; Klimont, Z.; Schoepp, W.; Haberl, H. Potential for future reductions of global GHG and air pollutants from circular waste management systems. Nat. Commun. 2022, 13, 106. [Google Scholar] [CrossRef] [PubMed]
- Bihałowicz, J.S.; Rogula-Kozłowska, W.; Krasuski, A. Contribution of landfill fires to air pollution–An assessment methodology. Waste Manag. 2021, 125, 182–191. [Google Scholar] [CrossRef] [PubMed]
- Gautam, M.; Agrawal, M. Greenhouse gas emissions from municipal solid waste management: A review of global scenario. In Carbon Footprint Case Studies: Municipal Solid Waste Management, Sustainable Road Transport and Carbon Sequestration; Springer: Singapore, 2021; pp. 123–160. [Google Scholar]
- Xin, C.; Zhang, T.; Tsai, S.B.; Zhai, Y.M.; Wang, J. An empirical study on greenhouse gas emission calculations under different municipal solid waste management strategies. Appl. Sci. 2020, 10, 1673. [Google Scholar] [CrossRef]
- Amicarelli, V.; Lagioia, G.; Bux, C. Global warming potential of food waste through the life cycle assessment: An analytical review. Environ. Impact Assess. Rev. 2021, 91, 106677. [Google Scholar] [CrossRef]
- Nguyen, W.; Martinez, D.M.; Jen, G.; Duncan, J.F.; Ostertag, C.P. Interaction between global warming potential, durability, and structural properties of fiber-reinforced concrete with high waste materials inclusion. Resour. Conserv. Recycl. 2021, 169, 105453. [Google Scholar] [CrossRef]
- Shen, X.; Pan, H.; Ge, Z.; Chen, W.; Song, L.; Wang, S. Energy-Efficient Multi-Trip Routing for Municipal Solid Waste Collection by Contribution-Based Adaptive Particle Swarm Optimization. Complex Syst. Model. Simul. 2023, 3, 202–219. [Google Scholar] [CrossRef]
- Cicceri, G.; Guastella, D.C.; Sutera, G.; Cancelliere, F.; Vitti, M.; Randazzo, G.; DiStefano, S.; Muscato, G. An Intelligent Hierarchical Cyber-Physical System for Beach Waste Management: The BIOBLU Case Study. IEEE Access 2023, 11, 134421–134445. [Google Scholar] [CrossRef]
- Zhang, M.; Cui, W.; Jiang, Q.; Wang, N. Routing Optimization for Healthcare Waste Collection With Temporary Storing Risks and Sequential Uncertain Service Requests. IEEE Access 2024, 12, 2868–2881. [Google Scholar] [CrossRef]
- Hajovsky, R.; Pies, M.; Velicka, J.; Slany, V.; Rous, R.; Danys, L.; Martinek, R. Design of an IoT-Based Monitoring System as a Part of Prevention of Thermal Events in Mining and Landfill Waste Disposal Sites: A Pilot Case Study. IEEE Trans. Instrum. Meas. 2023, 72, 1–14. [Google Scholar] [CrossRef]
- Brighente, A.; Conti, M.; Renzone, G.D.; Peruzzi, G.; Pozzebon, A. Security and Privacy of Smart Waste Management Systems: A Cyber–Physical System Perspective. IEEE Internet Things J. 2024, 11, 7309–7324. [Google Scholar] [CrossRef]
- Jabbour, C.J.C.; Colasante, A.; D’Adamo, I.; Rosa, P.; Sassanelli, C. Customer Attitudes Toward Circular Economy in the E-Waste Context: A Survey Assessing Sustainable Consumption Dynamics. IEEE Eng. Manag. Rev. 2023, 51, 28–45. [Google Scholar] [CrossRef]
- Tereshchenko, E.; Happonen, A.; Porras, J.; Vaithilingam, C.A. Green Growth, Waste Management, and Environmental Impact Reduction Success Cases From Small and Medium Enterprises Context: A Systematic Mapping Study. IEEE Access 2023, 11, 56900–56920. [Google Scholar] [CrossRef]
- Ding, H.; Qiao, J.; Huang, W.; Yu, T. Cooperative Event-Triggered Fuzzy-Neural Multivariable Control with Multitask Learning for Municipal Solid Waste Incineration Process. IEEE Trans. Ind. Inform. 2024, 20, 765–774. [Google Scholar] [CrossRef]
- Nowakowski, P.; Pamuła, T. Application of deep learning object classifier to improve e-waste collection planning. Waste Manag. 2020, 109, 1–9. [Google Scholar] [CrossRef] [PubMed]
- Hannan, M.; Begum, R.; Al-Shetwi, A.Q.; Ker, P.; Al Mamun, M.; Hussain, A.; Basri, H.; Mahlia, T. Waste collection route optimisation model for linking cost saving and emission reduction to achieve sustainable development goals. Sustain. Cities Soc. 2020, 62, 102393. [Google Scholar] [CrossRef]
- Van Engeland, J.; Lavigne, C.; Beliën, J.; De Jaeger, S. Solving a real-life multi-period trailer-truck waste collection problem with time windows. Expert Syst. Appl. 2024, 237, 121301. [Google Scholar] [CrossRef]
- Martikkala, A.; Mayanti, B.; Helo, P.; Lobov, A.; Ituarte, I.F. Smart textile waste collection system – Dynamic route optimization with IoT. J. Environ. Manag. 2023, 335, 117548. [Google Scholar] [CrossRef]
- Ali, B.; Javed, M.A.; Alharbi, A.A.K.; Alotaibi, S.; Alkhathami, M. Internet of Things-Assisted Vehicle Route Optimization for Municipal Solid Waste Collection. Appl. Sci. 2024, 14, 287. [Google Scholar] [CrossRef]
- Sanger, J.B.; Sitanayah, L.; Ahmad, I. A Sensor-based Garbage Gas Detection System. In Proceedings of the 2021 IEEE 11th Annual Computing and Communication Workshop and Conference (CCWC), Las Vegas, NV, USA, 27–30 January 2021; pp. 1347–1353. [Google Scholar] [CrossRef]
- Dehghani, M.H.; Omrani, G.A.; Karri, R.R. Solid waste—sources, toxicity, and their consequences to human health. In Soft Computing Techniques in Solid Waste and Wastewater Management; Elsevier: Amsterdam, The Netherlands, 2021; pp. 205–213. [Google Scholar]
- Tsakona, M.; Anagnostopoulou, E.; Gidarakos, E. Hospital waste management and toxicity evaluation: A case study. Waste Manag. 2007, 27, 912–920. [Google Scholar] [CrossRef]
- Aguila, J.M.U.; Dimayuga, H.S.; Pineda, K.O.F.; Magwili, G.V. Development of Smart Waste Bin with Integrated Volume and Weight Sensor. In Proceedings of the 2019 IEEE 11th International Conference on Humanoid, Nanotechnology, Information Technology, Communication and Control, Environment, and Management (HNICEM), Laoag, Philippines, 29 November–1 December 2019; pp. 1–5. [Google Scholar] [CrossRef]












| Reference | Goal | Technique | Results |
|---|---|---|---|
| [25] | Waste classification | Image processing Electronic waste User image capturing CNN R-CNN | 97% accuracy |
| [26] | Waste vehicle routing | Cost optimization MILP problem Fixed routing Variable routing | Reduced travel distance Reduced carbon emissions |
| [27] | Waste collection | Practical parameters Waste truck capacity Disposal center capacity Shift duration Shift closing times | Scheduling of waste trucks Number of trucks |
| [28] | Waste collection | Textile waste considered Sensor-based bins Arduino-based solution Real-time data collection Dynamic route selection | Increased waste collection Reduced carbon emissions |
| [29] | Waste vehicle routing | IoT-based solution TOPSIS-based routing Waste toxicity Waste volume Waste generation time | Increased waste collection Reduced travel distance |
| Bin Selection Parameters | Knapsack Parameters | |
|---|---|---|
| Bin placement capacity of the dumper | Item-carrying capacity of sack | |
| Waste bin | Weight of item | |
| Priority level of the collected bin | Value of item |
Disclaimer/Publisher’s Note: The statements, opinions and data contained in all publications are solely those of the individual author(s) and contributor(s) and not of MDPI and/or the editor(s). MDPI and/or the editor(s) disclaim responsibility for any injury to people or property resulting from any ideas, methods, instructions or products referred to in the content. |
© 2024 by the authors. Licensee MDPI, Basel, Switzerland. This article is an open access article distributed under the terms and conditions of the Creative Commons Attribution (CC BY) license (https://creativecommons.org/licenses/by/4.0/).
Share and Cite
Khan, S.; Ali, B.; Alharbi, A.A.K.; Alotaibi, S.; Alkhathami, M. Efficient IoT-Assisted Waste Collection for Urban Smart Cities. Sensors 2024, 24, 3167. https://doi.org/10.3390/s24103167
Khan S, Ali B, Alharbi AAK, Alotaibi S, Alkhathami M. Efficient IoT-Assisted Waste Collection for Urban Smart Cities. Sensors. 2024; 24(10):3167. https://doi.org/10.3390/s24103167
Chicago/Turabian StyleKhan, Sangrez, Bakhtiar Ali, Abeer A. K. Alharbi, Salihah Alotaibi, and Mohammed Alkhathami. 2024. "Efficient IoT-Assisted Waste Collection for Urban Smart Cities" Sensors 24, no. 10: 3167. https://doi.org/10.3390/s24103167
APA StyleKhan, S., Ali, B., Alharbi, A. A. K., Alotaibi, S., & Alkhathami, M. (2024). Efficient IoT-Assisted Waste Collection for Urban Smart Cities. Sensors, 24(10), 3167. https://doi.org/10.3390/s24103167


