Unsupervised Feature-Construction-Based Motor Fault Diagnosis
Abstract
1. Introduction
- The proposed method improves the detection performance of the FFNN model by signal extraction, which better distinguishes a fault type that is hard to detect;
- We evaluated the proposed method on open datasets collected with different horsepower. The proposed method gave a higher performance than the compared methods.
- The rest of this paper is organized as follows. Section 2 provides an overview of existing studies for motor bearing fault detection. The proposed method is detailed in Section 3. Section 4 demonstrates the experimental study, including experimental design, dataset, evaluation metrics, and detection performances of the compared methods. In Section 5, we conclude this study.
2. Related Work
3. Proposed Method for Bearing Fault Detection
4. Experimental Study
4.1. Dataset
4.2. Compared Detection Methods
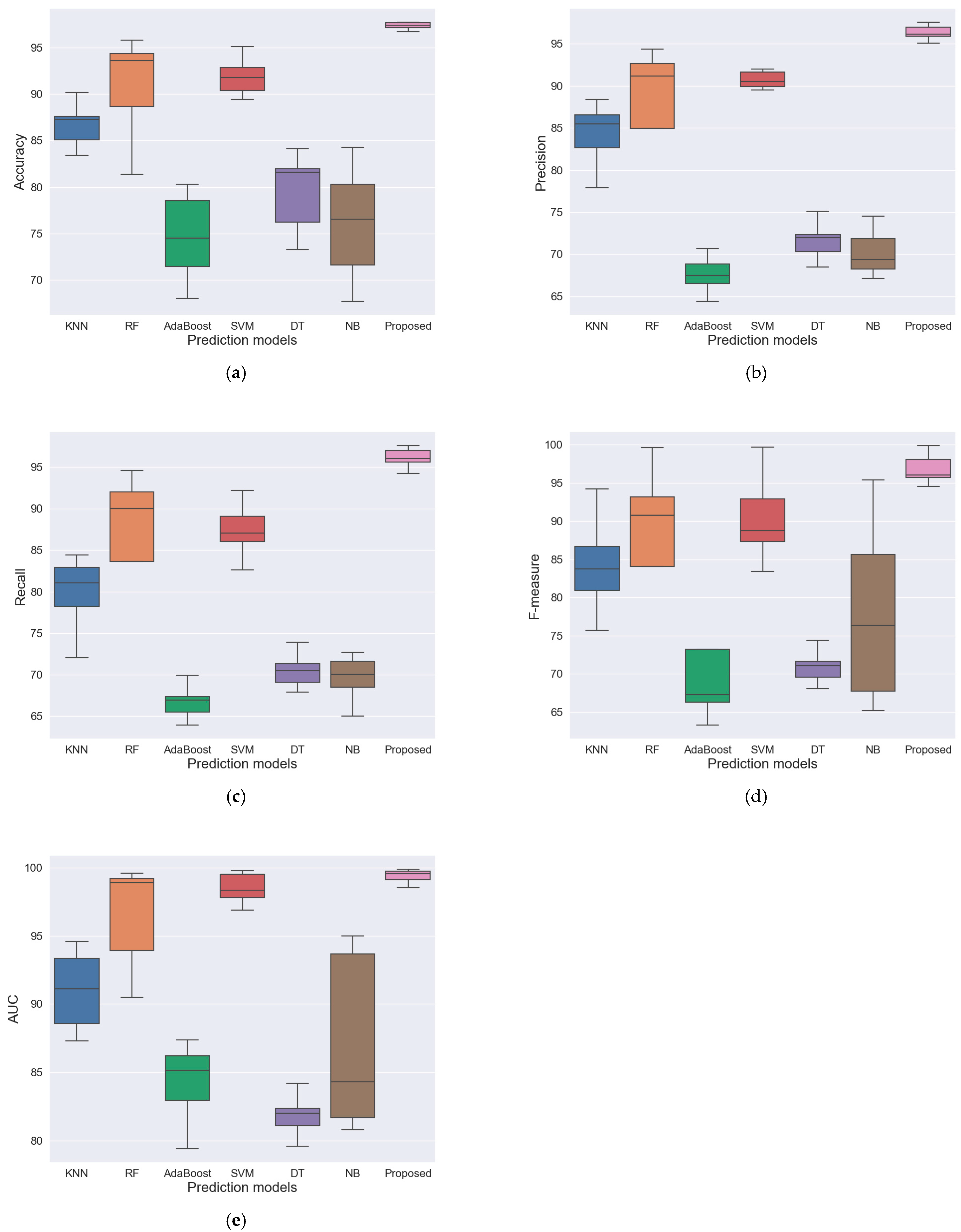
4.3. Experimental Results
5. Conclusions
Author Contributions
Funding
Institutional Review Board Statement
Informed Consent Statement
Data Availability Statement
Conflicts of Interest
Appendix A
| Test Dataset | Performance | KNN | RF | AdaBoost | SVM | DT | NB | Proposed/AENN Learned from the Outer Race Fault/ |
|---|---|---|---|---|---|---|---|---|
| Dataset-2 | Accuracy | 87.300 | 93.600 | 77.500 | 91.300 | 81.800 | 81.400 | 97.739 |
| Precision | 86.100 | 90.800 | 64.700 | 90.700 | 71.900 | 70.500 | 96.128 | |
| Recall | 77.800 | 88.900 | 62.200 | 84.800 | 70.500 | 68.100 | 96.168 | |
| F-measure | 80.200 | 89.800 | 63.300 | 87.200 | 71.100 | 67.700 | 96.133 | |
| AUC | 91.200 | 99.200 | 83.600 | 99.100 | 82.200 | 93.400 | 99.776 | |
| Dataset-3 | Accuracy | 85.100 | 94.000 | 79.800 | 90.400 | 81.700 | 79.900 | 97.518 |
| Precision | 84.000 | 92.000 | 69.300 | 90.100 | 72.300 | 67.200 | 95.915 | |
| Recall | 73.900 | 89.600 | 65.700 | 83.200 | 70.400 | 65.000 | 95.724 | |
| F-measure | 77.300 | 90.700 | 67.300 | 86.100 | 71.100 | 65.200 | 95.794 | |
| AUC | 88.800 | 99.300 | 83.600 | 99.600 | 82.000 | 94.200 | 99.804 | |
| Dataset-4 | Accuracy | 83.900 | 95.300 | 80.300 | 92.300 | 80.200 | 84.300 | 97.196 |
| Precision | 82.200 | 92.400 | 68.400 | 92.000 | 69.700 | 73.300 | 95.620 | |
| Recall | 72.000 | 91.800 | 66.600 | 86.600 | 68.900 | 72.700 | 95.178 | |
| F-measure | 75.700 | 92.000 | 67.400 | 88.900 | 68.900 | 71.400 | 95.276 | |
| AUC | 87.500 | 99.300 | 85.300 | 99.600 | 81.100 | 95.000 | 99.748 |
| Test Dataset | Performance | KNN | RF | AdaBoost | SVM | DT | NB | Proposed/AENN Learned from the Outer Race Fault/ |
|---|---|---|---|---|---|---|---|---|
| Dataset-1 | Accuracy | 87.500 | 94.300 | 72.000 | 90.400 | 76.900 | 69.100 | 97.699 |
| Precision | 88.200 | 93.400 | 66.700 | 90.400 | 72.500 | 63.800 | 97.130 | |
| Recall | 84.400 | 92.900 | 67.100 | 88.000 | 71.600 | 64.800 | 97.127 | |
| F-measure | 85.100 | 93.100 | 66.600 | 88.700 | 71.900 | 63.400 | 97.125 | |
| AUC | 94.600 | 99.400 | 86.000 | 99.500 | 82.000 | 90.800 | 99.707 | |
| Dataset-3 | Accuracy | 89.600 | 95.800 | 80.300 | 92.800 | 84.100 | 80.600 | 98.590 |
| Precision | 88.400 | 94.300 | 70.700 | 90.900 | 75.100 | 67.100 | 97.573 | |
| Recall | 81.800 | 92.700 | 67.100 | 87.500 | 73.900 | 66.600 | 97.539 | |
| F-measure | 83.600 | 93.400 | 68.600 | 89.000 | 74.400 | 66.200 | 97.527 | |
| AUC | 93.500 | 99.600 | 85.000 | 99.800 | 84.200 | 94.500 | 99.904 | |
| Dataset-4 | Accuracy | 87.300 | 96.800 | 80.800 | 95.200 | 80.800 | 84.800 | 98.563 |
| Precision | 85.000 | 94.800 | 68.900 | 93.100 | 70.200 | 72.400 | 97.683 | |
| Recall | 77.900 | 94.400 | 69.200 | 91.500 | 69.000 | 73.800 | 97.546 | |
| F-measure | 80.300 | 94.600 | 68.600 | 92.200 | 69.500 | 71.900 | 97.607 | |
| AUC | 91.600 | 99.600 | 88.000 | 99.700 | 81.300 | 95.300 | 99.894 |
| Test Dataset | Performance | KNN | RF | AdaBoost | SVM | DT | NB | Proposed/AENN Learned from the Outer Race Fault/ |
|---|---|---|---|---|---|---|---|---|
| Dataset-1 | Accuracy | 86.500 | 93.300 | 71.700 | 89.400 | 74.300 | 65.400 | 96.716 |
| Precision | 86.200 | 92.100 | 67.400 | 89.500 | 69.500 | 62.500 | 96.059 | |
| Recall | 83.100 | 91.600 | 67.300 | 86.700 | 69.100 | 63.400 | 95.910 | |
| F-measure | 83.900 | 91.800 | 67.300 | 87.400 | 69.300 | 61.200 | 95.961 | |
| AUC | 93.300 | 99.000 | 86.900 | 98.100 | 80.400 | 90.500 | 99.347 | |
| Dataset-2 | Accuracy | 90.200 | 94.500 | 77.000 | 94.000 | 82.500 | 79.900 | 97.527 |
| Precision | 87.400 | 91.400 | 64.400 | 92.000 | 72.100 | 68.600 | 95.875 | |
| Recall | 82.900 | 90.400 | 63.900 | 89.600 | 71.200 | 70.600 | 95.707 | |
| F-measure | 84.200 | 90.900 | 64.000 | 90.700 | 71.600 | 67.800 | 95.733 | |
| AUC | 94.000 | 99.200 | 87.400 | 98.200 | 82.800 | 93.400 | 99.430 | |
| Dataset-4 | Accuracy | 90.100 | 96.500 | 79.400 | 96.900 | 81.800 | 83.800 | 98.224 |
| Precision | 87.700 | 93.900 | 68.000 | 95.100 | 71.400 | 71.700 | 96.953 | |
| Recall | 82.800 | 93.900 | 67.600 | 94.500 | 70.800 | 74.500 | 96.901 | |
| F-measure | 83.900 | 93.900 | 67.500 | 94.700 | 71.100 | 71.500 | 96.914 | |
| AUC | 94.200 | 99.500 | 89.700 | 99.500 | 82.400 | 95.400 | 99.764 |
| Test Dataset | Performance | KNN | RF | AdaBoost | SVM | DT | NB | Proposed/AENN Learned from the Ball Fault/ |
|---|---|---|---|---|---|---|---|---|
| Dataset-1 | Accuracy | 83.400 | 91.100 | 71.500 | 86.100 | 73.300 | 67.600 | 95.398 |
| Precision | 84.900 | 90.300 | 67.000 | 87.100 | 68.500 | 63.000 | 95.064 | |
| Recall | 79.300 | 88.900 | 66.700 | 82.600 | 67.900 | 64.200 | 94.247 | |
| F-measure | 81.200 | 89.500 | 66.800 | 83.400 | 68.100 | 62.400 | 94.539 | |
| AUC | 91.100 | 98.800 | 85.400 | 98.200 | 79.600 | 90.600 | 99.455 | |
| Dataset-2 | Accuracy | 87.600 | 93.600 | 78.100 | 92.300 | 81.500 | 80.700 | 97.358 |
| Precision | 86.300 | 91.000 | 66.100 | 90.300 | 70.600 | 68.300 | 96.132 | |
| Recall | 78.400 | 88.800 | 64.800 | 86.500 | 68.900 | 69.200 | 95.393 | |
| F-measure | 81.600 | 89.900 | 65.400 | 88.200 | 69.700 | 67.700 | 95.677 | |
| AUC | 91.100 | 99.100 | 87.400 | 98.500 | 81.300 | 93.500 | 99.679 | |
| Dataset-3 | Accuracy | 87.900 | 94.100 | 81.000 | 92.600 | 82.700 | 81.300 | 98.181 |
| Precision | 87.300 | 92.700 | 71.400 | 91.100 | 73.200 | 67.700 | 97.199 | |
| Recall | 78.800 | 89.800 | 68.700 | 87.100 | 71.400 | 68.200 | 96.826 | |
| F-measure | 81.900 | 91.100 | 69.900 | 89.000 | 72.200 | 67.200 | 97.002 | |
| AUC | 91.500 | 99.400 | 87.100 | 99.700 | 82.700 | 94.600 | 99.881 |
References
- Li, C.; Sánchez, R.V.; Zurita, G.; Cerrada, M.; Cabrera, D.; Vásquez, R.E. Gearbox fault diagnosis based on deep random forest fusion of acoustic and vibratory signals. Mech. Syst. Signal Process. 2016, 76, 283–293. [Google Scholar] [CrossRef]
- Ali, M.Z.; Shabbir, N.S.K.; Liang, X.; Zhang, Y.; Hu, T. Machine learning-based fault diagnosis for single- and multi-faults in induction motors using measured stator currents and vibration signals. IEEE Trans. Ind. Appl. 2019, 55, 2378–2391. [Google Scholar] [CrossRef]
- Sikder, N.; Bhakta, K.; Al Nahid, A.; Islam, M.M.M. Fault diagnosis of motor bearing using ensemble learning algorithm with FFT-based preprocessing. In Proceedings of the International Conference on Robotics, Electrical and Signal Processing Techniques, Dhaka, Bangladesh, 10 January 2019. [Google Scholar] [CrossRef]
- Zhong, X.; Ban, H. Crack fault diagnosis of rotating machine in nuclear power plant based on ensemble learning. Ann. Nucl. Energy 2022, 168, 108909. [Google Scholar] [CrossRef]
- Tran, M.-Q.; Elsisi, M.; Mahmoud, K.; Liu, M.-K.; Lehtonen, M.; Darwish, M.M.F. Experimental setup for online fault diagnosis of induction machines via promising IoT and machine learning: Towards industry 4.0 empowerment. IEEE Access 2021, 9, 115429–115441. [Google Scholar] [CrossRef]
- Long, Z.; Zhang, X.; Zhang, L.; Qin, G.; Huang, S.; Song, D.; Shao, H.; Wu, G. Motor fault diagnosis using attention mechanism and improved adaboost driven by multi-sensor information. Measurement 2021, 170, 108718. [Google Scholar] [CrossRef]
- Li, B.; Chow, M.-Y.; Tipsuwan, Y.; Hung, J. Neural-network-based motor rolling bearing fault diagnosis. IEEE Trans. Ind. Electron. 2000, 47, 1060–1069. [Google Scholar] [CrossRef]
- Zhao, X.; Wu, J.; Zhang, Y.; Shi, Y.; Wang, L. Fault diagnosis of motor in frequency domain signal by stacked de-noising auto-encoder. Comput. Mater. Contin. 2018, 57, 223–242. [Google Scholar] [CrossRef]
- Azamfar, M.; Singh, J.; Bravo-Imaz, I.; Lee, J. Multisensor data fusion for gearbox fault diagnosis using 2-D convolutional neural network and motor current signature analysis. Mech. Syst. Signal Process. 2020, 144, 106861. [Google Scholar] [CrossRef]
- Lee, J.-H.; Pack, J.-H.; Lee, I.-S. Fault diagnosis of induction motor using convolutional neural network. Appl. Sci. 2019, 9, 2950. [Google Scholar] [CrossRef]
- Buchaiah, S.; Shakya, P. Bearing fault diagnosis and prognosis using data fusion based feature extraction and feature selection. Measurement 2022, 188, 110506. [Google Scholar] [CrossRef]
- Zhang, R.; Peng, Z.; Wu, L.; Yao, B.; Guan, Y. Fault diagnosis from raw sensor data using deep neural networks considering temporal coherence. Sensors 2017, 17, 549. [Google Scholar] [CrossRef] [PubMed]
- Lu, C.; Wang, Z.-Y.; Qin, W.-L.; Ma, J. Fault diagnosis of rotary machinery components using a stacked denoising autoencoder-based health state identification. Signal Process. 2017, 130, 377–388. [Google Scholar] [CrossRef]
- Guo, X.; Shen, C.; Chen, L. Deep fault recognizer: An integrated model to denoise and extract features for fault diagnosis in rotating machinery. Appl. Sci. 2016, 7, 41. [Google Scholar] [CrossRef]
- Li, C.; Zhang, W.; Peng, G.; Liu, S. Bearing fault diagnosis using fully-connected winner-take-all autoencoder. IEEE Access 2017, 6, 6103–6115. [Google Scholar] [CrossRef]
- Shao, H.; Jiang, H.; Lin, Y.; Li, X. A novel method for intelligent fault diagnosis of rolling bearings using ensemble deep auto-encoders. Mech. Syst. Signal Process. 2018, 102, 278–297. [Google Scholar] [CrossRef]
- Mcculloch, W.S.; Pitts, W.H. A logical calculus of the ideas immanent in nervous activity. Bull. Math. Biophys. 1943, 5, 115–133. [Google Scholar] [CrossRef]
- Touvron, H.; Bojanowski, P.; Caron, M.; Cord, M.; El-Nouby, A.; Grave, E.; Izacard, G.; Joulin, A.; Synnaeve, G.; Verbeek, J.; et al. Resmlp: Feedforward networks for image classification with data-efficient training. IEEE Trans. Pattern Anal. Mach. Intell. 2022, 45, 5314–5321. [Google Scholar] [CrossRef]
- Zhou, L.; Hripcsak, G. Temporal reasoning with medical data—A review with emphasis on medical natural language processing. J. Biomed. Inform. 2007, 40, 183–202. [Google Scholar] [CrossRef]
- Sampaio, G.S.; Filho, A.R.d.A.V.; da Silva, L.S.; da Silva, L.A. Prediction of motor failure time using an artificial neural network. Sensors 2019, 19, 4342. [Google Scholar] [CrossRef]
- Case Western Reserve University Bearing Data Center Website. Available online: https://engineering.case.edu/bearingdatacenter/download-data-file (accessed on 2 October 2023).
- Pedregosa, F.; Varoquaux, G.; Gramfort, A.; Michel, V.; Thirion, B.; Grisel, O.; Blondel, M.; Prettenhofer, P.; Weiss, R.; Dubourg, V.; et al. Scikit-learn: Machine learning in Python. J. Mach. Learn. Res. 2011, 12, 2825–2830. [Google Scholar]
- Keras. Available online: https://github.com/fchollet/keras (accessed on 1 July 2023).
- Kingma, D.P.; Ba, J. Adam: A method for stochastic optimization. arXiv 2014, arXiv:1412.6980. [Google Scholar]
- Prechelt, L. Early stopping-but when? Neural Netw. Tricks Trade 1998, 1254, 55–69. [Google Scholar] [CrossRef]









| Prepared Dataset | Motor Load hp | Shaft Speed rpm | File Number | Fault Types | Fault Size | # Samples | Min | Max | Avg | Stdev |
|---|---|---|---|---|---|---|---|---|---|---|
| Dataset-1 | HP-0 | 1797 | 97 | Normal | * | 243,938 | −0.287 | 0.311 | 0.013 | 0.073 |
| 222 | Ball | 0.021 | 121,991 | −1.618 | 1.660 | 0.021 | 0.134 | |||
| 209 | Inner race | 0.021 | 122,136 | −3.372 | 3.788 | 0.014 | 0.525 | |||
| 234 | Outer race centered | 0.021 | 122,426 | −6.412 | 6.653 | 0.005 | 0.583 | |||
| Dataset-2 | HP-1 | 1772 | 98 | Normal | * | 483,983 | −0.346 | 0.318 | 0.013 | 0.065 |
| 223 | Ball | 0.021 | 121,701 | −1.414 | 1.475 | 0.004 | 0.129 | |||
| 210 | Inner race | 0.021 | 121,556 | −3.284 | 3.686 | 0.003 | 0.442 | |||
| 235 | Outer race centered | 0.021 | 122,281 | −6.653 | 6.653 | 0.003 | 0.57 | |||
| Dataset-3 | HP-2 | 1750 | 99 | Normal | * | 485,063 | −0.327 | 0.359 | 0.012 | 0.063 |
| 224 | Ball | 0.021 | 122,136 | −0.531 | 0.646 | 0.005 | 0.107 | |||
| 211 | Inner race | 0.021 | 121,846 | −3.124 | 3.623 | 0.003 | 0.489 | |||
| 236 | Outer race centered | 0.021 | 121,991 | −6.653 | 6.653 | 0.004 | 0.559 | |||
| Dataset-4 | HP-3 | 1730 | 100 | Normal | * | 485,643 | −0.306 | 0.284 | 0.012 | 0.065 |
| 225 | Ball | 0.021 | 122,136 | −0.493 | 0.576 | 0.004 | 0.118 | |||
| 212 | Inner race | 0.021 | 121,991 | −3.087 | 3.615 | 0.003 | 0.449 | |||
| 237 | Outer race centered | 0.021 | 121,991 | −6.113 | 6.207 | 0.003 | 0.561 |
| Classifiers | Configured Values |
|---|---|
| K-Nearest Neighbors | The number of neighbors was configured from 3 to 25. |
| Support Vector Machine | The linear, polynomial, radial basis function (rbf), and sigmoid kernels were used. |
| Adaptive Boosting | The number of estimators was configured from 10 to 150. |
| Decision Tree | Classification criteria were configured by “gini” and “entropy”. |
| Random Forest | The number of trees was configured from 10 to 150. |
| Configurations | FFNN | AENN |
|---|---|---|
| Layer: (neurons) | Input: (121) Hidden: (242, 121, 60) Output: (4) | Input: (120) Hidden: (60) Output: (120) |
| Layer: (activation function) | Hidden: (ReLU) Output: (Softmax) | Hidden: (ReLU) |
| Learning rate | 0.001 | 0.001 |
| Optimizer | Adam [24] | Adam [24] |
| Loss function | Categorical Cross-Entropy | Mean Squared Error |
| Batch size | 8 | 8 |
| Epochs | 500 early stopping [25] of 100 | 500 |
| Actual | Actual | ||||||||||
|---|---|---|---|---|---|---|---|---|---|---|---|
| Predicted | Dataset-1 | Normal | Ball fault | Inner race fault | Outer race fault | Predicted | Dataset-2 | Normal | Ball fault | Inner race fault | Outer race fault |
| Normal | 201 | 0 | 0 | 1 | Normal | 395 | 0 | 0 | 0 | ||
| Ball fault | 0 | 111 | 1 | 1 | Ball fault | 0 | 116 | 1 | 1 | ||
| Inner race fault | 0 | 1 | 91 | 2 | Inner race fault | 0 | 1 | 96 | 3 | ||
| Outer race fault | 0 | 1 | 0 | 99 | Outer race fault | 0 | 1 | 1 | 93 | ||
| Missed | 0 | 2 | 1 | 4 | Missed | 0 | 2 | 2 | 4 | ||
| Actual | Actual | ||||||||||
| Predicted | Dataset-3 | Normal | Ball fault | Inner race fault | Outer race fault | Predicted | Dataset-4 | Normal | Ball fault | Inner race fault | Outer race fault |
| Normal | 397 | 0 | 0 | 0 | Normal | 403 | 0 | 0 | 0 | ||
| Ball fault | 0 | 95 | 0 | 1 | Ball fault | 0 | 96 | 0 | 3 | ||
| Inner race fault | 0 | 0 | 105 | 6 | Inner race fault | 0 | 0 | 104 | 0 | ||
| Outer race fault | 0 | 1 | 0 | 104 | Outer race fault | 0 | 6 | 0 | 98 | ||
| Missed | 0 | 1 | 0 | 7 | Missed | 0 | 6 | 0 | 3 | ||
| Performance | Models Were Trained on the Dataset-1, and Tested on the Datasets 2–4 | Models Were Trained on the Dataset-2, and Tested on the Dataset 1, 3, 4 | Models Were Trained on the Dataset-3, and Tested on the Datasets 1, 2, 4 | Models Were Trained on the Dataset-4, and Tested on the Datasets 1–3 | ||||
|---|---|---|---|---|---|---|---|---|
| Baseline | Proposed | Baseline | Proposed | Baseline | Proposed | Baseline | Proposed | |
| Accuracy | 96.694 (0.003) | 97.484 (0.002) | 97.724 (0.007) | 98.284 (0.004) | 96.502 (0.012) | 97.489 (0.006) | 95.526 (0.018) | 96.489 (0.012) |
| Precision | 95.045 (0.004) | 95.887 (0.002) | 96.833 (0.004) | 97.462 (0.002) | 95.064 (0.009) | 96.296 (0.005) | 94.974 (0.012) | 95.573 (0.009) |
| Recall | 94.237 (0.006) | 95.69 (0.004) | 96.574 (0.005) | 97.404 (0.002) | 94.722 (0.011) | 96.173 (0.005) | 93.339 (0.017) | 94.726 (0.01) |
| F-measure | 94.49 (0.006) | 95.735 (0.004) | 96.691 (0.005) | 97.42 (0.002) | 94.849 (0.01) | 96.203 (0.005) | 93.947 (0.016) | 95.048 (0.01) |
| AUC | 99.717 (0.001) | 99.776 (0) | 99.746 (0.001) | 99.835 (0.001) | 99.465 (0.002) | 99.513 (0.002) | 99.578 (0.002) | 99.606 (0.001) |
| Performance | KNN | RF | AdaBoost | SVM | DT | NB | Proposed |
|---|---|---|---|---|---|---|---|
| Accuracy | 87.200 | 94.408 | 77.450 | 91.975 | 80.133 | 78.233 | 97.559 |
| Precision | 86.142 | 92.425 | 67.750 | 91.025 | 71.417 | 68.008 | 96.444 |
| Recall | 79.425 | 91.142 | 66.408 | 87.383 | 70.300 | 68.425 | 96.189 |
| F-measure | 81.575 | 91.725 | 66.892 | 88.792 | 70.742 | 66.967 | 96.274 |
| AUC | 91.867 | 99.283 | 86.283 | 99.125 | 81.833 | 93.433 | 99.699 |
Disclaimer/Publisher’s Note: The statements, opinions and data contained in all publications are solely those of the individual author(s) and contributor(s) and not of MDPI and/or the editor(s). MDPI and/or the editor(s) disclaim responsibility for any injury to people or property resulting from any ideas, methods, instructions or products referred to in the content. |
© 2024 by the authors. Licensee MDPI, Basel, Switzerland. This article is an open access article distributed under the terms and conditions of the Creative Commons Attribution (CC BY) license (https://creativecommons.org/licenses/by/4.0/).
Share and Cite
Amarbayasgalan, T.; Ryu, K.H. Unsupervised Feature-Construction-Based Motor Fault Diagnosis. Sensors 2024, 24, 2978. https://doi.org/10.3390/s24102978
Amarbayasgalan T, Ryu KH. Unsupervised Feature-Construction-Based Motor Fault Diagnosis. Sensors. 2024; 24(10):2978. https://doi.org/10.3390/s24102978
Chicago/Turabian StyleAmarbayasgalan, Tsatsral, and Keun Ho Ryu. 2024. "Unsupervised Feature-Construction-Based Motor Fault Diagnosis" Sensors 24, no. 10: 2978. https://doi.org/10.3390/s24102978
APA StyleAmarbayasgalan, T., & Ryu, K. H. (2024). Unsupervised Feature-Construction-Based Motor Fault Diagnosis. Sensors, 24(10), 2978. https://doi.org/10.3390/s24102978

