Reuse Distance-Aided Resource Selection Mechanisms for NR-V2X Sidelink Communication
Abstract
:1. Introduction
- The proposed approach involves sorting available resources in ascending order based on the received power value. Subsequently, each resource is sequentially evaluated based on the reuse distance. This scheme can reduce the possibility of neighboring users using the same resource and minimize resource interference.
- The performance of the proposed RD-RS and conventional SB-SPS is theoretically analyzed under different scenarios. In terms of the resource reuse distance, we consider not only a fixed value but also an adaptive value based on the scenario setting.
- Comprehensive evaluations are performed using the packet reception ratio (PRR), error block rate, range, and inter-packet gap (IPG). Simulation and numerical results verify the effectiveness of the proposed scheme over conventional schemes in various scenarios.
2. Related Works
3. Overview of NR-V2X
3.1. NR-V2X Time–Frequency Resource and Physical Layer Configuration
3.2. NR-V2X Mode 2: SB-SPS
4. Proposed Scheme
4.1. Reuse Distance-Aided Resource Selection (RD-RS)
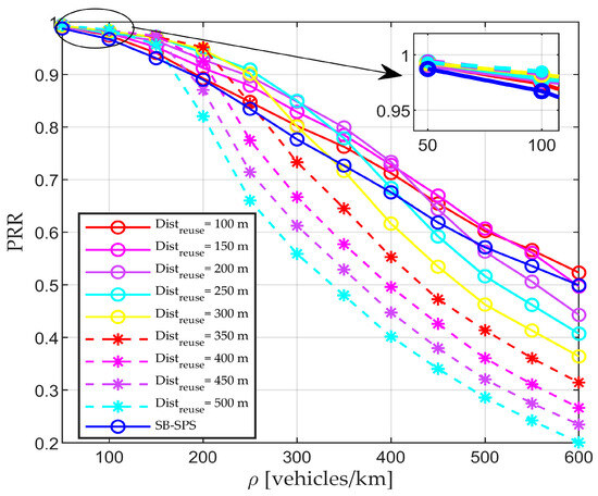
4.2. Determination of the Reuse Distance
- Fixed reuse distance
- Adaptive reuse distance
4.3. Resource Selection Mechanisms
- SB-SPS
- RD-RS
- Always-best resource selection
| Algorithm 1: Pseudo-code of the proposed RD-RS method |
|
5. Performance Evaluation
5.1. Simulation Assumptions
- Scenario
- Mobility and channel model
- Parameter setting
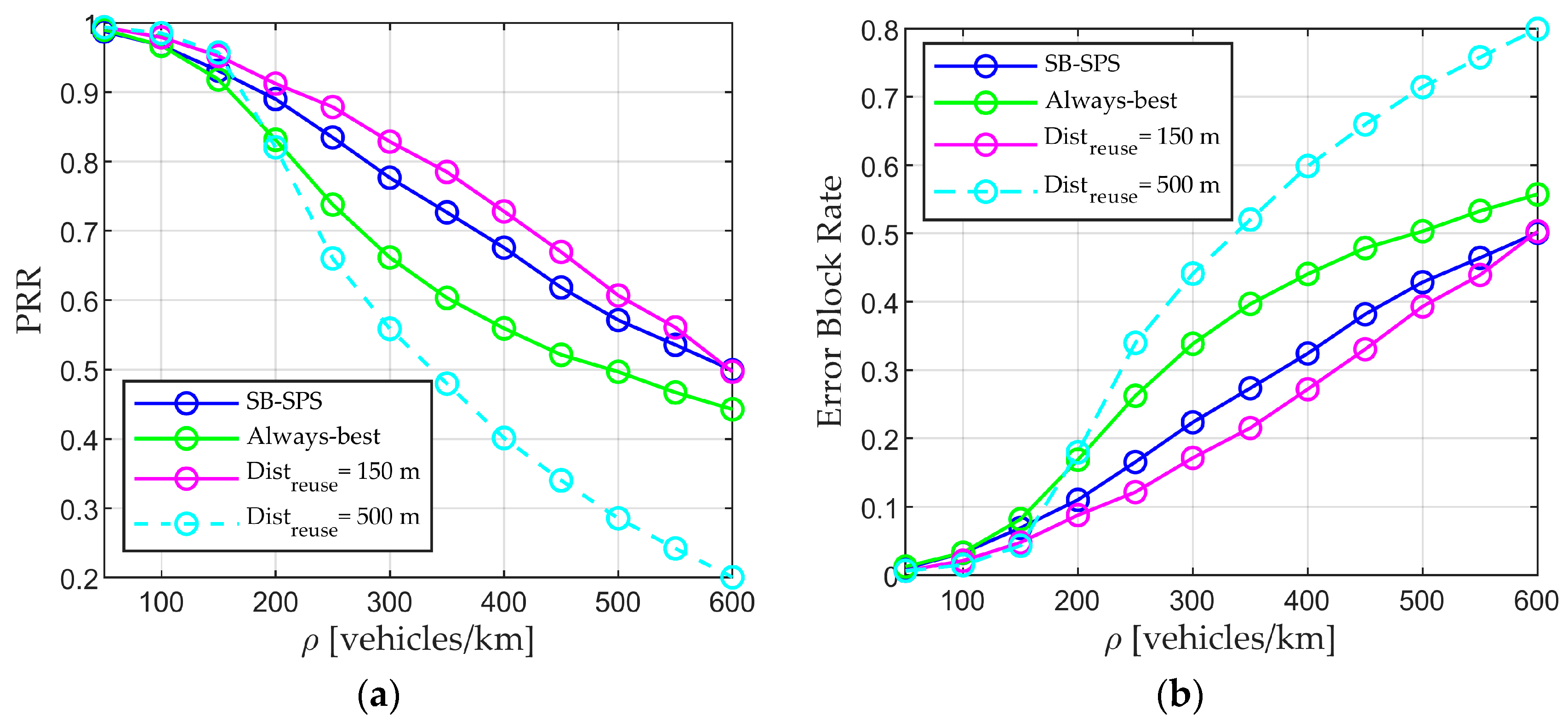
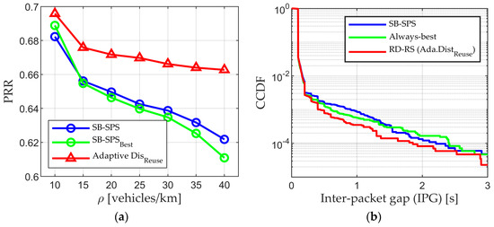
5.2. Performance of Benchmark Algorithms
- Performance evaluation metrics
- SINR
5.3. Performance of Benchmark Algorithms
5.4. Performance of Fixed –Aided RD-RS
5.5. Performance of Adaptive –Aided RD-RS
6. Conclusions
Author Contributions
Funding
Institutional Review Board Statement
Informed Consent Statement
Data Availability Statement
Conflicts of Interest
References
- 3GPP. Service Requirements for V2X Services; Stage 1; TS 22.185 V17.0.0; 3rd Generation Partnership Project. 2022. Available online: https://portal.3gpp.org/desktopmodules/Specifications/SpecificationDetails.aspx?specificationId=2989 (accessed on 12 April 2023).
- 3GPP. Study on LTE-Based V2X Services; 3GPP TR 36.885 V14.0.0; 3rd Generation Partnership Project. 2016. Available online: https://portal.3gpp.org/desktopmodules/Specifications/SpecificationDetails.aspx?specificationId=2934 (accessed on 12 April 2023).
- 3GPP. Study on Evaluation Methodology of New Vehicle-to-Everything (V2X) Use Cases for LTE and NR; 3GPP TR 37.885 V15.3.0; 3rd Generation Partnership Project. 2019. Available online: https://portal.3gpp.org/desktopmodules/Specifications/SpecificationDetails.aspx?specificationId=3209 (accessed on 12 April 2023).
- 3GPP. NR; Study on NR Vehicle-to-Everything (V2X); 3GPP TR 38.885 V16.0.0; 3rd Generation Partnership Project. 2019. Available online: https://portal.3gpp.org/desktopmodules/Specifications/SpecificationDetails.aspx?specificationId=3497 (accessed on 12 April 2023).
- 3GPP. Enhancement of 3GPP Support for V2X Scenarios; Stage 1; 3GPP TS 22.186 V17.0.0; 3rd Generation Partnership Project. 2022. Available online: https://portal.3gpp.org/desktopmodules/Specifications/SpecificationDetails.aspx?specificationId=3180 (accessed on 12 April 2023).
- 3GPP. Overall Description of Radio Access Network (RAN) Aspects for Vehicle-to-Everything (V2X) Based on LTE and NR; 3GPP TR 37.985 V17.1.1; 3rd Generation Partnership Project. 2022. Available online: https://portal.3gpp.org/desktopmodules/Specifications/SpecificationDetails.aspx?specificationId=3601 (accessed on 12 April 2023).
- Naik, G.; Choudhury, B.; Park, J.-M. IEEE 802.11bd & 5G NR V2X: Evolution of Radio Access Technologies for V2X Communications. IEEE Access 2019, 7, 70169–70184. [Google Scholar] [CrossRef]
- Anwar, W.; Franchi, N.; Fettweis, G. Physical Layer Evaluation of V2X Communications Technologies: 5G NR-V2X, LTE-V2X, IEEE 802.11bd, and IEEE 802.11p. In Proceedings of the 2019 IEEE 90th Vehicular Technology Conference (VTC2019-Fall), Honolulu, HI, USA, 22–25 September 2019; pp. 1–7. [Google Scholar]
- Saad, M.M.; Khan, M.T.R.; Shah, S.H.A.; Kim, D. Advancements in Vehicular Communication Technologies: C-V2X and NR-V2X Comparison. IEEE Commun. Mag. 2021, 59, 107–113. [Google Scholar] [CrossRef]
- Garcia, M.H.C.; Molina-Galan, A.; Boban, M.; Gozalvez, J.; Coll-Perales, B.; Şahin, T.; Kousaridas, A. A Tutorial on 5G NR V2X Communications. IEEE Commun. Surv. Tutor. 2021, 23, 1972–2026. [Google Scholar] [CrossRef]
- Abdel Hakeem, S.A.; Hady, A.A.; HyungWon, K. 5G-V2X: Standardization, architecture, use cases, network-slicing, and edge-computing. Wirel. Netw. 2020, 26, 6015–6041. [Google Scholar] [CrossRef]
- Storck, C.R.; Duarte-Figueiredo, F. A Survey of 5G Technology Evolution, Standards, and Infrastructure Associated with Vehicle-to-Everything Communications by Internet of Vehicles. IEEE Access 2020, 8, 117593–117614. [Google Scholar] [CrossRef]
- Bagheri, H.; Noor-A-Rahim, M.; Liu, Z.; Lee, H.; Pesch, D.; Moessner, K.; Xiao, P. 5G NR-V2X: Toward Connected and Cooperative Autonomous Driving. IEEE Commun. Stand. Mag. 2021, 5, 48–54. [Google Scholar] [CrossRef]
- Lien, S.-Y.; Deng, D.-J.; Lin, C.-C.; Tsai, H.-L.; Chen, T.; Guo, C.; Cheng, S.-M. 3GPP NR Sidelink Transmissions Toward 5G V2X. IEEE Access 2020, 8, 35368–35382. [Google Scholar] [CrossRef]
- Wei, R. Performance Analysis of Semi-Persistent Scheduling throughput in 5G NR-V2X: A MAC Perspective 2022. arXiv 2022, arXiv:2208.10653. [Google Scholar]
- Shin, C.; Farag, E.; Ryu, H.; Zhou, M.; Kim, Y. Vehicle-to-Everything (V2X) Evolution From 4G to 5G in 3GPP: Focusing on Resource Allocation Aspects. IEEE Access 2023, 11, 18689–18703. [Google Scholar] [CrossRef]
- Molina-Masegosa, R.; Gozalvez, J.; Sepulcre, M. Configuration of the C-V2X Mode 4 Sidelink PC5 Interface for Vehicular Communication. In Proceedings of the 2018 14th International Conference on Mobile Ad-Hoc and Sensor Networks (MSN), Shenyang, China, 6–8 December 2018; pp. 43–48. [Google Scholar]
- Gonzalez-Martín, M.; Sepulcre, M.; Molina-Masegosa, R.; Gozalvez, J. Analytical Models of the Performance of C-V2X Mode 4 Vehicular Communications. IEEE Trans. Veh. Technol. 2019, 68, 1155–1166. [Google Scholar] [CrossRef]
- Yin, J.; Hwang, S.-H. Adaptive sensing-based semipersistent scheduling with channel-state-information-aided reselection probability for LTE-V2V. ICT Express 2022, 8, 296–301. [Google Scholar] [CrossRef]
- Ali, Z.; Lagén, S.; Giupponi, L.; Rouil, R. 3GPP NR V2X Mode 2: Overview, Models and System-Level Evaluation. IEEE Access 2021, 9, 89554–89579. [Google Scholar] [CrossRef] [PubMed]
- Todisco, V.; Bartoletti, S.; Campolo, C.; Molinaro, A.; Berthet, A.O.; Bazzi, A. Performance Analysis of Sidelink 5G-V2X Mode 2 through an Open-Source Simulator. IEEE Access 2021, 9, 145648–145661. [Google Scholar] [CrossRef]
- Sehla, K.; Nguyen, T.M.T.; Pujolle, G.; Velloso, P.B. Resource Allocation Modes in C-V2X: From LTE-V2X to 5G-V2X. IEEE Internet Things J. 2022, 9, 8291–8314. [Google Scholar] [CrossRef]
- Thanh Le, T.T.; Moh, S. Comprehensive Survey of Radio Resource Allocation Schemes for 5G V2X Communications. IEEE Access 2021, 9, 123117–123133. [Google Scholar] [CrossRef]
- Molina-Masegosa, R.; Gozalvez, J. System Level Evaluation of LTE-V2V Mode 4 Communications and Its Distributed Scheduling. In Proceedings of the 2017 IEEE 85th Vehicular Technology Conference (VTC Spring), Sydney, NSW, Australia, 4–7 June 2017; pp. 1–5. [Google Scholar]
- He, X.; Lv, J.; Zhao, J.; Hou, X.; Luo, T. Design and Analysis of a Short-Term Sensing-Based Resource Selection Scheme for C-V2X Networks. IEEE Internet Things J. 2020, 7, 11209–11222. [Google Scholar] [CrossRef]
- Wen, X.; Peng, M.; Zhang, X.; Yan, S.; Li, Y. Enhanced Sensing-Based Resource Scheduling Algorithm for 5G V2V Communications. In Proceedings of the 2019 IEEE/CIC International Conference on Communications in China (ICCC), Changchun, China, 11–13 August 2019; pp. 395–400. [Google Scholar]
- Abbas, F.; Liu, G.; Fan, P.; Khan, Z.; Bute, M.S. A Vehicle Density based Two-Stage Resource Management Scheme for 5G-V2X Networks. In Proceedings of the 2020 IEEE 91st Vehicular Technology Conference (VTC2020-Spring), Antwerp, Belgium, 25–28 May 2020; pp. 1–5. [Google Scholar]
- Yang, J.; Pelletier, B.; Champagne, B. Enhanced autonomous resource selection for LTE-based V2V communication. In Proceedings of the 2016 IEEE Vehicular Networking Conference (VNC), Columbus, OH, USA, 8–10 December 2016; pp. 1–6. [Google Scholar]
- Liang, L.; Ye, H.; Yu, G.; Li, G.Y. Deep-Learning-Based Wireless Resource Allocation with Application to Vehicular Networks. Proc. IEEE 2020, 108, 341–356. [Google Scholar] [CrossRef]
- Fan, C.; Li, B.; Wu, Y.; Zhang, J.; Yang, Z.; Zhao, C. Fuzzy Matching Learning for Dynamic Resource Allocation in Cellular V2X Network. IEEE Trans. Veh. Technol. 2021, 70, 3479–3492. [Google Scholar] [CrossRef]
- Suganthi, E.C.; Babu, K.V. A two-phase fuzzy based access network selection scheme for vehicular ad hoc networks. Peer-Peer Netw. Appl. 2022, 15, 107–133. [Google Scholar] [CrossRef]
- Choi, J.-Y.; Jo, H.-S.; Mun, C.; Yook, J.-G. Deep Reinforcement Learning-Based Distributed Congestion Control in Cellular V2X Networks. IEEE Wirel. Commun. Lett. 2021, 10, 2582–2586. [Google Scholar] [CrossRef]
- Ye, H.; Li, G.Y. Deep Reinforcement Learning based Distributed Resource Allocation for V2V Broadcasting. In Proceedings of the 2018 14th International Wireless Communications & Mobile Computing Conference (IWCMC), Limassol, Cyprus, 25–29 June 2018; IEEE: Limassol, Cyprus, 2018; pp. 440–445. [Google Scholar]
- Ye, H.; Li, G.Y.; Juang, B.-H.F. Deep Reinforcement Learning Based Resource Allocation for V2V Communications. IEEE Trans. Veh. Technol. 2019, 68, 3163–3173. [Google Scholar] [CrossRef]
- Song, Y.; Xiao, Y.; Chen, Y.; Li, G.; Liu, J. Deep Reinforcement Learning Enabled Energy-Efficient Resource Allocation in Energy Harvesting Aided V2X Communication. In Proceedings of the 2022 IEEE 33rd Annual International Symposium on Personal, Indoor and Mobile Radio Communications (PIMRC), Kyoto, Japan, 12–15 September 2022; IEEE: Kyoto, Japan, 2022; pp. 313–319. [Google Scholar]
- 3GPP. NR; User Equipment (UE) Conformance Specification; Radio Resource Management (RRM); 3GPP TS 38.533 V17.2.0; 3rd Generation Partnership Project. 2022. Available online: https://portal.3gpp.org/desktopmodules/Specifications/SpecificationDetails.aspx?specificationId=3388 (accessed on 12 April 2023).
- 3GPP. NR; Physical Layer Procedures for Data; 3GPP TS 38.214 V16.7.0; 3rd Generation Partnership Project. 2021. Available online: https://portal.3gpp.org/desktopmodules/Specifications/SpecificationDetails.aspx?specificationId=3216 (accessed on 12 April 2023).
- 3GPP. Evolved Universal Terrestrial Radio Access (E-UTRA); Physical Channels and Modulation; TS 36.211 V17.3.0; 3rd Generation Partnership Project. 2023. Available online: https://portal.3gpp.org/desktopmodules/Specifications/SpecificationDetails.aspx?specificationId=2425 (accessed on 27 November 2023).
- 3GPP. NR; Physical Channels and Modulation; 3GPP TS 38.211 V17.0.0; 3rd Generation Partnership Project. 2021. Available online: https://portal.3gpp.org/desktopmodules/Specifications/SpecificationDetails.aspx?specificationId=3213 (accessed on 12 April 2023).
- 3GPP. Evolved Universal Terrestrial Radio Access (E-UTRA); Multiplexing and Channel Coding; 3GPP TS 36.212 V17.1.0; 3rd Generation Partnership Project. 2022. Available online: https://portal.3gpp.org/desktopmodules/Specifications/SpecificationDetails.aspx?specificationId=2426 (accessed on 12 April 2023).
- 3GPP. NR; Physical Layer Measurements; 3GPP TS 38.215 V17.3.0; 3rd Generation Partnership Project. 2023. Available online: https://portal.3gpp.org/desktopmodules/Specifications/SpecificationDetails.aspx?specificationId=3217 (accessed on 12 April 2023).
- Bartoletti, S.; Masini, B.M.; Martinez, V.; Sarris, I.; Bazzi, A. Impact of the Generation Interval on the Performance of Sidelink C-V2X Autonomous Mode. IEEE Access 2021, 9, 35121–35135. [Google Scholar] [CrossRef]
- 3GPP. Evolved Universal Terrestrial Radio Access (E-UTRA); Radio Frequency (RF) System Scenarios; 3GPP TR 36.942 V16.0.0; 3rd Generation Partnership Project. 2020. Available online: https://portal.3gpp.org/desktopmodules/Specifications/SpecificationDetails.aspx?specificationId=2592 (accessed on 18 April 2023).











| Parameter | Value |
|---|---|
| Scenario (Highway) [3] | |
| Lanes | Three lanes in each direction |
| Length | 2 km |
| Width | 3.5 m |
| Vehicle density () | 50 to 600 vehicles/km |
| Scenario (Urban) [3] | |
| Lanes | Two lanes in each direction |
| Length | 500 m |
| Width | 3.5 m |
| Blocks | 4 |
| Road grid size | 433 m × 250 m |
| Vehicle density () | 10 to 40 vehicles/km |
| Physical and MAC layer [39] | |
| Channels | ITS bands at 5.9 GHz |
| Bandwidth | 10 MHz |
| Antenna gain | 3 dB |
| Noise figure | 9 dB |
| Propagation model | WINNER+, Scenario B1 |
| Transmission power | 23 dBm |
| Awareness range | 150 m |
| MCS | 3 (QPSK, ) |
| SCS | 15 kHz |
| Subchannel size | 10 RBs |
| Resource allocation [6] | |
| Resource reservation interval (RRI) | 100 ms |
| Sensing duration () | 1100 ms |
| Resource sensing threshold () | −110 dBm |
| Available resource ratio (%) | 20% |
| Resource keep probability () | 0.4 |
| Min & Max time for allocation (, ) | 0 ms and 100 ms |
Disclaimer/Publisher’s Note: The statements, opinions and data contained in all publications are solely those of the individual author(s) and contributor(s) and not of MDPI and/or the editor(s). MDPI and/or the editor(s) disclaim responsibility for any injury to people or property resulting from any ideas, methods, instructions or products referred to in the content. |
© 2023 by the authors. Licensee MDPI, Basel, Switzerland. This article is an open access article distributed under the terms and conditions of the Creative Commons Attribution (CC BY) license (https://creativecommons.org/licenses/by/4.0/).
Share and Cite
Yin, J.; Hwang, S.-H. Reuse Distance-Aided Resource Selection Mechanisms for NR-V2X Sidelink Communication. Sensors 2024, 24, 253. https://doi.org/10.3390/s24010253
Yin J, Hwang S-H. Reuse Distance-Aided Resource Selection Mechanisms for NR-V2X Sidelink Communication. Sensors. 2024; 24(1):253. https://doi.org/10.3390/s24010253
Chicago/Turabian StyleYin, Jicheng, and Seung-Hoon Hwang. 2024. "Reuse Distance-Aided Resource Selection Mechanisms for NR-V2X Sidelink Communication" Sensors 24, no. 1: 253. https://doi.org/10.3390/s24010253
APA StyleYin, J., & Hwang, S.-H. (2024). Reuse Distance-Aided Resource Selection Mechanisms for NR-V2X Sidelink Communication. Sensors, 24(1), 253. https://doi.org/10.3390/s24010253

