Atomic Force Microscopy Probing and Analysis of Polyimide Supramolecular Systems for Sensor Devices
Abstract
:1. Introduction
2. Materials and Methods
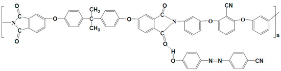
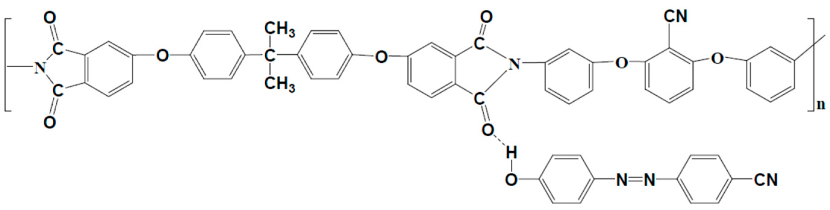
2.1. Materials
2.2. Methods
3. Results and Discussion
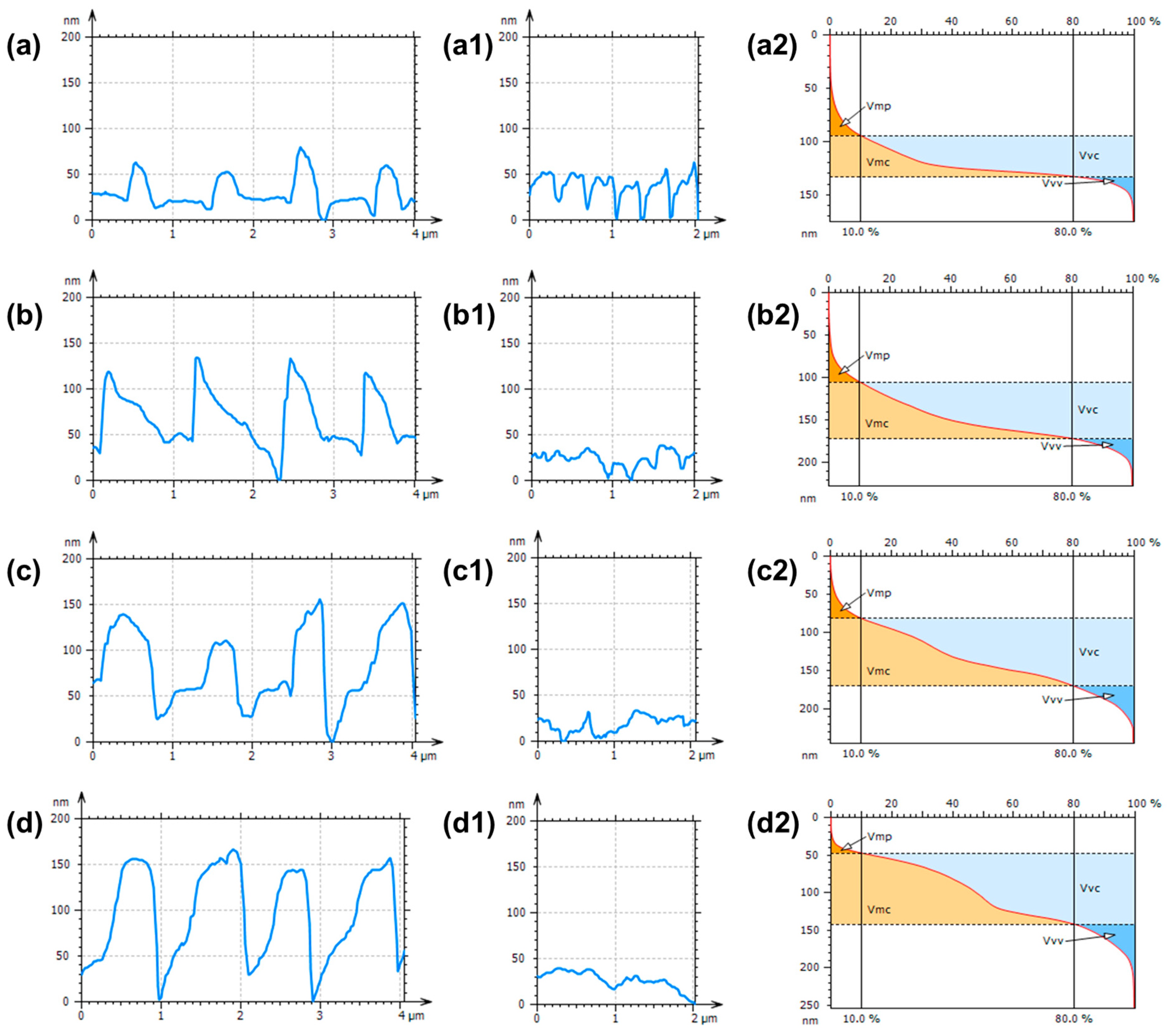
3.1. Evaluation of the Texture Modifications through UV-Laser Irradiation
3.2. Local Adhesion Studies via Silver Modified Tips
3.3. Interfacial Adhesion Estimation
4. Conclusions
Author Contributions
Funding
Institutional Review Board Statement
Informed Consent Statement
Data Availability Statement
Acknowledgments
Conflicts of Interest
Appendix A

References
- Cao, Z.; Wen, Q.; Wang, X.; Yang, Q.; Jiang, F. An Overview of the Miniaturization and Endurance for Wearable Devices. J. Internet Things 2021, 3, 11–17. [Google Scholar] [CrossRef]
- Javaid, M.; Haleem, A.; Rab, S.; Pratap Singh, R.; Suman, R. Sensors for daily life: A review. Sens. Int. 2021, 2, 100121. [Google Scholar] [CrossRef]
- Chang, W.-Y.; Fang, T.-H.; Lin, Y.-C. Physical characteristics of polyimide films for flexible sensors. Appl. Phys. A 2008, 92, 693–701. [Google Scholar] [CrossRef]
- Gao, W.; Ota, H.; Kiriya, D.; Takei, K.; Javey, A. Flexible Electronics toward Wearable Sensing. Acc. Chem. Res. 2019, 52, 523–533. [Google Scholar] [CrossRef]
- Skotadis, E.; Mousadakos, D.; Katsabrokou, K.; Stathopoulos, S.; Tsoukalas, D. Flexible polyimide chemical sensors using platinum nanoparticles. Sens. Actuators B Chem. 2013, 189, 106–112. [Google Scholar] [CrossRef]
- Nechifor, C.D.; Zelinschi, C.B.; Stoica, I.; Closca, V.; Dorohoi, D.O. Spectral studies of Donepezil release from streched PVA polymer films. J. Mol. Struct. 2013, 1044, 262–267. [Google Scholar] [CrossRef]
- Kim, S.H.; Cho, E.; Kim, M.; Lee, S. High-performance rollable polymer/metal/polymer thin-film heater and heat mirror. Plasma Process. Polym. 2021, 18, 2100098. [Google Scholar] [CrossRef]
- Andrysiewicz, W.; Krzeminski, J.; Skarżynski, K.; Marszalek, K.; Sloma, M.; Rydosz, A. Flexible Gas Sensor Printed on a Polymer Substrate for Sub-ppm Acetone Detection. Electron. Mater. Lett. 2020, 16, 146–155. [Google Scholar] [CrossRef]
- da Costa, T.H.; Choi, J. Fabrication and Patterning Methods of Flexible Sensors Using Carbon Nanomaterials on Polymers. Adv. Intell. Syst. 2020, 2, 1900179. [Google Scholar] [CrossRef]
- Carrasco-Pena, A.; Catania, F.; Cantarella, G.; Haller, M.; Nippa, M.; Munzenrieder, N. Flexible Thin-Film Temperature Sensors on Upcycled Polyethylene Terephthalate (PET) Substrates for the Circularity of Economy. In Proceedings of the 2022 IEEE Sensors, Dallas, TX, USA, 30 October–2 November 2022; IEEE: Dallas, TX, USA, 2022; pp. 1–4. [Google Scholar]
- Rivadeneyra, A.; Marín-Sánchez, A.; Wicklein, B.; Salmerón, J.F.; Castillo, E.; Bobinger, M.; Salinas-Castillo, A. Cellulose nanofibers as substrate for flexible and biodegradable moisture sensors. Compos. Sci. Technol. 2021, 208, 108738. [Google Scholar] [CrossRef]
- Piro, L.; Lamanna, L.; Guido, F.; Balena, A.; Mariello, M.; Rizzi, F.; De Vittorio, M. Flexible SAW Microfluidic Devices as Wearable pH Sensors Based on ZnO Nanoparticles. Nanomaterials 2021, 11, 1479. [Google Scholar] [CrossRef]
- Sekertekin, Y.; Bozyel, I.; Gokcen, D. A Flexible and Low-Cost Tactile Sensor Produced by Screen Printing of Carbon Black/PVA Composite on Cellulose Paper. Sensors 2020, 20, 2908. [Google Scholar] [CrossRef]
- Huang, Y.; Zhao, Y.; Wang, Y.; Guo, X.; Zhang, Y.; Liu, P.; Liu, C.; Zhang, Y. Highly stretchable strain sensor based on polyurethane substrate using hydrogen bond-assisted laminated structure for monitoring of tiny human motions. Smart Mater. Struct. 2018, 27, 035013. [Google Scholar] [CrossRef]
- Fang, Y.; Xu, J.; Gao, F.; Du, X.; Du, Z.; Cheng, X.; Wang, H. Self-healable and recyclable polyurethane-polyaniline hydrogel toward flexible strain sensor. Compos. Part B Eng. 2021, 219, 108965. [Google Scholar] [CrossRef]
- Chen, Z.; Yang, Z.; Yu, T.; Wei, Z.; Ji, C.; Zhao, B.; Yu, T.; Yang, W.; Li, Y. Sandwich-structured flexible PDMS@graphene multimodal sensors capable of strain and temperature monitoring with superlative temperature range and sensitivity. Compos. Sci. Technol. 2023, 232, 109881. [Google Scholar] [CrossRef]
- Pecora, A.; Maiolo, L.; Zampetti, E.; Pantalei, S.; Valletta, A.; Minotti, A.; Maita, F.; Simeone, D.; Cuscuna, M.; Bearzotti, A.; et al. Chemoresistive nanofibrous sensor array and read-out electronics on flexible substrate. In Proceedings of the TRANSDUCERS 2009—2009 International Solid-State Sensors, Actuators and Microsystems Conference, Denver, CO, USA, 21–25 June 2009; IEEE: Denver, CO, USA, 2009; pp. 144–147. [Google Scholar]
- Butnaru, I.; Chiriac, A.-P.; Constantin, C.-P.; Damaceanu, M.-D. Insights into MWCNTs/polyimide nanocomposites: From synthesis to application as free-standing flexible electrodes in low-cost micro-supercapacitors. Mater. Today Chem. 2022, 23, 100671. [Google Scholar] [CrossRef]
- Albu, R.M.; Hulubei, C.; Stoica, I.; Barzic, A.I. Semi-alicyclic polyimides as potential membrane oxygenators: Rheological implications on film processing, morphology and blood compatibility. Express Polym. Lett. 2019, 13, 349–364. [Google Scholar] [CrossRef]
- Ahmed, M.; Chitteboyina, M.M.; Butler, D.P.; Celik-Butler, Z. Temperature Sensor in a Flexible Substrate. IEEE Sens. J. 2012, 12, 864–869. [Google Scholar] [CrossRef]
- Sahatiya, P.; Puttapati, S.K.; Srikanth, V.V.S.S.; Badhulika, S. Graphene-based wearable temperature sensor and infrared photodetector on a flexible polyimide substrate. Flex. Print. Electron. 2016, 1, 025006. [Google Scholar] [CrossRef]
- Xiao, S.; Che, L.; Li, X.; Wang, Y. A cost-effective flexible MEMS technique for temperature sensing. Microelectron. J. 2007, 38, 360–364. [Google Scholar] [CrossRef]
- Chia, B.T.; Chang, D.-R.; Liao, H.-H.; Yang, Y.-J.; Shih, W.-P.; Chang, F.-Y.; Fan, K.-C. Temperature sensor array using flexible substrate. In Proceedings of the 2007 IEEE 20th International Conference on Micro Electro Mechanical Systems (MEMS), Hyogo, Japan, 21–25 January 2007; IEEE: Hyogo, Japan, 2007; pp. 589–592.
- Dankoco, M.D.; Tesfay, G.Y.; Benevent, E.; Bendahan, M. Temperature sensor realized by inkjet printing process on flexible substrate. Mater. Sci. Eng. B 2016, 205, 1–5. [Google Scholar] [CrossRef]
- Gandla, S.; Naqi, M.; Lee, M.; Lee, J.J.; Won, Y.; Pujar, P.; Kim, J.; Lee, S.; Kim, S. Highly Linear and Stable Flexible Temperature Sensors Based on Laser-Induced Carbonization of Polyimide Substrates for Personal Mobile Monitoring. Adv. Mater. Technol. 2020, 5, 2000014. [Google Scholar] [CrossRef]
- Al Hashimi, H.; Chaalal, O. Flexible temperature sensor fabrication using photolithography technique. Therm. Sci. Eng. Prog. 2021, 22, 100857. [Google Scholar] [CrossRef]
- Matzeu, G.; Pucci, A.; Savi, S.; Romanelli, M.; Di Francesco, F. A temperature sensor based on a MWCNT/SEBS nanocomposite. Sens. Actuators A Phys. 2012, 178, 94–99. [Google Scholar] [CrossRef]
- Dan, L.; Elias, A.L. Flexible and Stretchable Temperature Sensors Fabricated Using Solution-Processable Conductive Polymer Composites. Adv. Healthc. Mater. 2020, 9, 2000380. [Google Scholar] [CrossRef]
- Lee, C.-Y.; Wu, G.-W.; Hsieh, W.-J. Fabrication of micro sensors on a flexible substrate. Sens. Actuators A Phys. 2008, 147, 173–176. [Google Scholar] [CrossRef]
- Wang, X.; Dong, L.; Zhang, H.; Yu, R.; Pan, C.; Wang, Z.L. Recent Progress in Electronic Skin. Adv. Sci. 2015, 2, 1500169. [Google Scholar] [CrossRef]
- Nimbekar, A.A.; Deshmukh, R.R. Plasma Surface Modification of Flexible Substrates to Improve Grafting for Various Gas Sensing Applications: A Review. IEEE Trans. Plasma Sci. 2022, 50, 1382–1394. [Google Scholar] [CrossRef]
- Wu, Z.; Wu, D.; Qi, S.; Zhang, T.; Jin, R. Preparation of surface conductive and highly reflective silvered polyimide films by surface modification and in situ self-metallization technique. Thin Solid Films 2005, 493, 179–184. [Google Scholar] [CrossRef]
- Park, J.; Park, B.-I.; Son, Y.J.; Lee, S.H.; Um, S.-H.; Kim, Y.-C.; Ok, M.-R.; Sun, J.-Y.; Han, H.-S.; Jeon, H. Femtosecond laser-mediated anchoring of polymer layers on the surface of a biodegradable metal. J. Magnes. Alloy. 2021, 9, 1373–1381. [Google Scholar] [CrossRef]
- Obilor, A.F.; Pacella, M.; Wilson, A.; Silberschmidt, V.V. Micro-texturing of polymer surfaces using lasers: A review. Int. J. Adv. Manuf. Technol. 2022, 120, 103–135. [Google Scholar] [CrossRef]
- Soroceanu, M.; Barzic, A.I.; Stoica, I.; Sacarescu, L.; Ioanid, E.G.; Harabagiu, V. Plasma effect on polyhydrosilane/metal interfacial adhesion/cohesion interactions. Int. J. Adhes. Adhes. 2017, 74, 131–136. [Google Scholar] [CrossRef]
- Sava, I.; Stoica, I.; Mihaila, I.; Pohoata, V.; Topala, I.; Stoian, G.; Lupu, N. Nanoscale analysis of laser-induced surface relief gratings on azo-copolyimide films before and after gold coating. Polym. Test. 2018, 72, 407–415. [Google Scholar] [CrossRef]
- Albu, R.M.; Stoica, I.; Avram, E.; Ioanid, E.G.; Ioan, S. Gold layers on untreated and plasma-treated substrates of quaternized polysulfones. J. Solid State Electrochem. 2014, 18, 2803–2813. [Google Scholar] [CrossRef]
- Astanei, D.; Burlica, R.; Cretu, D.-E.; Olariu, M.; Stoica, I.; Beniuga, O. Treatment of Polymeric Films Used for Printed Electronic Circuits Using Ambient Air DBD Non-Thermal Plasma. Materials 2022, 15, 1919. [Google Scholar] [CrossRef]
- Nuzhdin, V.I.; Valeev, V.F.; Galyautdinov, M.F.; Osin, Y.N.; Stepanov, A.L. Temperature sensor based on a polymer diffraction grating with silver nanoparticles. Quantum Electron. 2018, 48, 82–86. [Google Scholar] [CrossRef]
- Yu, Y.; Peng, S.; Blanloeuil, P.; Wu, S.; Wang, C.H. Wearable Temperature Sensors with Enhanced Sensitivity by Engineering Microcrack Morphology in PEDOT:PSS–PDMS Sensors. ACS Appl. Mater. Interfaces 2020, 12, 36578–36588. [Google Scholar] [CrossRef]
- Bujak, K.; Sava, I.; Stoica, I.; Tiron, V.; Topala, I.; Węgłowski, R.; Schab-Balcerzak, E.; Konieczkowska, J. Photoinduced properties of “T-type” polyimides with azobenzene or azopyridine moieties. Eur. Polym. J. 2020, 126, 109563. [Google Scholar] [CrossRef]
- Stoica, I.; Epure, E.L.; Constantin, C.P.; Damaceanu, M.D.; Ursu, E.L.; Mihaila, I.; Sava, I. Evaluation of local mechanical and chemical properties via afm as a tool for understanding the formation mechanism of pulsed uv laser-nanoinduced patterns on azo-naphthalene-based polyimide films. Nanomaterials 2021, 11, 812. [Google Scholar] [CrossRef]
- Stoica, I.; Sava, I.; Epure, E.-L.; Tiron, V.; Konieczkowska, J.; Schab-Balcerzak, E. Advanced morphological, statistical and molecular simulations analysis of laser-induced micro/nano multiscale surface relief gratings. Surf. Interfaces 2022, 29, 101743. [Google Scholar] [CrossRef]
- Stoica, I.; Epure, E.L.; Barzic, A.I.; Mihaila, I.; Constantin, C.P.; Sava, I. The Impact of the Azo-Chromophore Sort on the Features of the Supramolecular Azopolyimide Films Desired to Be Used as Substrates for Flexible Electronics. Int. J. Mol. Sci. 2022, 23, 15223. [Google Scholar] [CrossRef]
- Sava, I.; Stoica, I.; Topala, I.; Mihaila, I.; Barzic, A.I. Photodesign and fabrication of surface relief gratings on films of polyimide-based supramolecular systems obtained using host-guest strategy. Polymer 2022, 249, 124829. [Google Scholar] [CrossRef]
- Barzic, A.I.; Sava, I.; Albu, R.M.; Ursu, C.; Lisa, G.; Stoica, I. Polyimide-Derived Supramolecular Systems Containing Various Amounts of Azochromophore for Optical Storage Uses. Polymers 2023, 15, 1056. [Google Scholar] [CrossRef]
- Ioanid, E.G. Aparat Pentru Masurarea Unghiului de Contact. RO-BOPI 1/2009. Patent number 122166 B1, 91, 30 January 2009. [Google Scholar]
- Kim, K.-H.; Jeong, Y.-C. One-step fabrication of hierarchical multiscale surface relief gratings by holographic lithography of azobenzene polymer. Opt. Express 2018, 26, 5711. [Google Scholar] [CrossRef]
- Stoica, I.; Barzic, A.I.; Hulubei, C. Fabrication of nanochannels on polyimide films using dynamic plowing lithography. Appl. Surf. Sci. 2017, 426, 307–314. [Google Scholar] [CrossRef]
- Williams, P.M. Blind reconstruction of scanning probe image data. J. Vac. Sci. Technol. B Microelectron. Nanom. Struct. 1996, 14, 1557. [Google Scholar] [CrossRef]
- Villarrubia, J.S. Morphological estimation of tip geometry for scanned probe microscopy. Surf. Sci. 1994, 321, 287–300. [Google Scholar] [CrossRef]
- Villarrubia, J.S. Algorithms for scanned probe microscope image simulation, surface reconstruction, and tip estimation. J. Res. Natl. Inst. Stand. Technol. 1997, 102, 425. [Google Scholar] [CrossRef]
- Sader, J.E.; Chon, J.W.M.; Mulvaney, P. Calibration of rectangular atomic force microscope cantilevers. Rev. Sci. Instrum. 1999, 70, 3967–3969. [Google Scholar] [CrossRef]
- Sader, J.E.; Pacifico, J.; Green, C.P.; Mulvaney, P. General scaling law for stiffness measurement of small bodies with applications to the atomic force microscope. J. Appl. Phys. 2005, 97, 124903. [Google Scholar] [CrossRef]
- Fowkes, F.M. Attractive forces at interfaces. Ind. Eng. Chem. 2002, 56, 40–52. [Google Scholar] [CrossRef]
- da Silva, K.L.C.; de Paula, K.T.; de Almeida Mattos, A.V.; Otuka, A.J.G.; Sanfelice, R.C.; Mendonca, C.R. Femtosecond Laser Micromachining for Controlling Surface Wettability. In Proceedings of the 2019 SBFoton International Optics and Photonics Conference (SBFoton IOPC), Sao Paulo, SP, Brazil, 7–9 October 2019; IEEE: Sao Paulo, SP, Brazil, 2019; pp. 1–3. [Google Scholar]







| Sample | SRGs Characteristics | Amplitude and Spatial Parameters | ||||
|---|---|---|---|---|---|---|
| HSRG (nm) | Ra (nm) | Periodicity (%) | Period (μm) | Sq (nm) | Stdi | |
| Az0.25PSS-L | 52 ± 5 | 11.4 | 45.97 | 1.636 | 18.5 | 0.472 |
| Az0.50PSS-L | 90 ± 8 | 6.6 | 49.26 | 1.012 | 29.6 | 0.345 |
| Az0.75PSS-L | 125 ± 7 | 6.5 | 59.79 | 1.332 | 40.4 | 0.318 |
| Az1.00PSS-L | 158 ± 8 | 3.3 | 69.36 | 1.019 | 44.6 | 0.236 |
| Sample | Functional Indexes | Functional Volume Parameters | |||
|---|---|---|---|---|---|
| Sbi | Vmp (nm3/nm2) | Vmc (nm3/nm2) | Vvc (nm3/nm2) | Vvv (nm3/nm2) | |
| Az0.25PSS-L | 0.221 | 1.52 | 11.80 | 27.00 | 1.23 |
| Az0.50PSS-L | 0.320 | 1.67 | 23.30 | 43.80 | 2.14 |
| Az0.75PSS-L | 0.584 | 1.69 | 36.60 | 52.30 | 3.86 |
| Az1.00PSS-L | 1.053 | 0.68 | 42.60 | 52.30 | 4.41 |
| Sample Code | Contact Angle, ° | , mN/m | , mN/m | , mN/m | |
|---|---|---|---|---|---|
| Water | Formamide | ||||
| Az0.25PSS | 77 | 57 | 26.94 | 8.18 | 78.17 |
| Az0.50PSS | 74 | 55 | 26.06 | 10.09 | 78.39 |
| Az0.75PSS | 69 | 50 | 26.61 | 12.67 | 80.64 |
| Az1.00PSS | 63 | 44 | 26.83 | 16.29 | 82.88 |
| Az0.25PSS-L | 73 | 54 | 26.21 | 10.55 | 78.87 |
| Az0.50PSS-L | 69 | 51 | 25.39 | 13.33 | 79.44 |
| Az0.75PSS-L | 62 | 44 | 25.83 | 17.44 | 82.20 |
| Az1.00PSS-L | 58 | 40 | 25.85 | 20.12 | 83.49 |
Disclaimer/Publisher’s Note: The statements, opinions and data contained in all publications are solely those of the individual author(s) and contributor(s) and not of MDPI and/or the editor(s). MDPI and/or the editor(s) disclaim responsibility for any injury to people or property resulting from any ideas, methods, instructions or products referred to in the content. |
© 2023 by the authors. Licensee MDPI, Basel, Switzerland. This article is an open access article distributed under the terms and conditions of the Creative Commons Attribution (CC BY) license (https://creativecommons.org/licenses/by/4.0/).
Share and Cite
Stoica, I.; Barzic, A.I.; Ursu, C.; Stoian, G.; Hitruc, E.G.; Sava, I. Atomic Force Microscopy Probing and Analysis of Polyimide Supramolecular Systems for Sensor Devices. Sensors 2023, 23, 4489. https://doi.org/10.3390/s23094489
Stoica I, Barzic AI, Ursu C, Stoian G, Hitruc EG, Sava I. Atomic Force Microscopy Probing and Analysis of Polyimide Supramolecular Systems for Sensor Devices. Sensors. 2023; 23(9):4489. https://doi.org/10.3390/s23094489
Chicago/Turabian StyleStoica, Iuliana, Andreea Irina Barzic, Cristian Ursu, George Stoian, Elena Gabriela Hitruc, and Ion Sava. 2023. "Atomic Force Microscopy Probing and Analysis of Polyimide Supramolecular Systems for Sensor Devices" Sensors 23, no. 9: 4489. https://doi.org/10.3390/s23094489
APA StyleStoica, I., Barzic, A. I., Ursu, C., Stoian, G., Hitruc, E. G., & Sava, I. (2023). Atomic Force Microscopy Probing and Analysis of Polyimide Supramolecular Systems for Sensor Devices. Sensors, 23(9), 4489. https://doi.org/10.3390/s23094489

