Triple-Band Notched Ultra-Wideband Microstrip MIMO Antenna with Bluetooth Band
Abstract
1. Introduction
2. Design of an Ultra-Wideband Antenna Element
2.1. Step 1: UWB Microstrip Monopole Antenna Element Design
2.2. Step 2: UWB Antenna with Single Band Notch at WiMAX Band
2.3. Step 3: UWB Antenna with Dual-Band Notch at WiMAX Band and WLAN Band
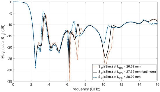
2.4. Step 4: UWB Antenna with Triple Notch at WiMAX Band, WLAN Band, and X-Band (Proposed)
3. Design of Ultra-Wideband MIMO Antenna
4. Results and Discussion
4.1. S-Parameter Characteristics for UWB-MIMO Antennas
4.2. Radiation Pattern and Realized Gain Characteristics for UWB-MIMO Antennas
4.3. Diversity Analysis Characteristics (ECC, DG, and TARC) for Proposed UWB-MIMO Antennas
5. Conclusions
Author Contributions
Funding
Institutional Review Board Statement
Informed Consent Statement
Data Availability Statement
Acknowledgments
Conflicts of Interest
References
- Cicchetti, R.; Miozzi, E.; Testa, O. Wideband and UWB antennas for wireless applications: A comprehensive review. Int. J. Antennas Propag. 2017, 2017, 2390808. [Google Scholar] [CrossRef]
- Dastranj, A. Optimization of a Printed UWB Antenna: Application of the invasive weed optimization algorithm in antenna design. IEEE aNtennas Propag. Mag. 2017, 59, 48–57. [Google Scholar] [CrossRef]
- Gorai, A.; Pal, M.; Ghatak, R. A Compact fractal-shaped antenna for ultrawideband and bluetooth wireless systems with WLAN rejection functionality. IEEE Antennas Wirel. Propag. Lett. 2017, 16, 2163–2166. [Google Scholar] [CrossRef]
- Shaik, L.A.; Saha, C.; Antar, Y.M.; Siddiqui, J.Y. An antenna advance for cognitive radio: Introducing a multilayered split ring resonator-loaded printed ultrawideband antenna with multifunctional characteristics. IEEE Antennas Propag. Mag. 2018, 60, 20–33. [Google Scholar] [CrossRef]
- Chandran, A.A.; Thankachan, S. Triple frequency notch in UWB antenna with single ring SRR loading. Procedia Comput. Sci. 2016, 93, 94–100. [Google Scholar] [CrossRef]
- Wong, D.T.; Kong, P.Y.; Liang, Y.C.; Chua, K.C. Wireless Broadband Networks; John Wiley & Sons: Hoboken, NJ, USA, 2009. [Google Scholar]
- Tran, V.; Sibille, A. Spatial multiplexing in UWB MIMO communications. Electron. Lett. 2006, 42, 1–2. [Google Scholar] [CrossRef]
- Srivastava, G.; Mohan, A. Compact MIMO slot antenna for UWB applications. IEEE Antennas Wirel. Propag. Lett. 2015, 15, 1057–1060. [Google Scholar] [CrossRef]
- Zhang, S.; Lau, B.K.; Sunesson, A.; He, S. Closely-packed UWB MIMO/diversity antenna with different patterns and polarizations for USB dongle applications. IEEE Trans. Antennas Propag. 2012, 60, 4372–4380. [Google Scholar] [CrossRef]
- Babu, K.J.; Kumar, B.K.; Boddu, S.R.; Krishna, K.S.R. Design of a compact octagonal UWB MIMO antenna employing polarization diversity technique. In Proceedings of the 2017 Progress in Electromagnetics Research Symposium-Fall (PIERS-FALL), Singapore, 19–22 November 2017; pp. 1785–1789. [Google Scholar]
- Chen, X.; Zhang, S.; Li, Q. A review of mutual coupling in MIMO systems. IEEE Access 2018, 6, 24706–24719. [Google Scholar] [CrossRef]
- Iqbal, A.; Saraereh, O.A.; Ahmad, A.W.; Bashir, S. Mutual coupling reduction using F-shaped stubs in UWB-MIMO antenna. IEEE Access 2017, 6, 2755–2759. [Google Scholar] [CrossRef]
- Zhang, S.; Pedersen, G.F. Mutual coupling reduction for UWB MIMO antennas with a wideband neutralization line. IEE Antennas Wirel. Propag. Lett. 2015, 15, 166–169. [Google Scholar] [CrossRef]
- Peng, L.; Wen, B.J.; Li, X.F.; Jiang, X.; Li, S.M. CPW fed UWB antenna by EBGs with wide rectangular notched-band. IEEE Access 2016, 4, 9545–9552. [Google Scholar] [CrossRef]
- Luo, C.M.; Hong, J.S.; Zhong, L.L. Isolation enhancement of a very compact UWB-MIMO slot antenna with two defected ground structures. IEEE Antennas Wirel. Propag. Lett. 2015, 14, 1766–1769. [Google Scholar] [CrossRef]
- Sharawi, M.S. Current misuses and future prospects for printed multiple-input, multiple-output antenna systems [wireless corner]. IEEE Antennas Propag. Mag. 2017, 59, 162–170. [Google Scholar] [CrossRef]
- Babu, K.V.; Das, S.; Ali, S.S.; EL Ghzaoui, M.; Madhav, B.T.P.; Patel, K.S. Broadband sub-6 GHz flower-shaped MIMO antenna with high isolation using theory of characteristic mode analysis (TCMA) for 5G NR bands and WLAN applications. Int. J. Commun. Syst. 2023, 36, e5442. [Google Scholar] [CrossRef]
- Kiem, N.K.; Phuong, H.N.B.; Chien, D.N. Design of compact 4× 4 UWB-MIMO antenna with WLAN band rejection. Int. J. Antennas Propag. 2014, 2014, 539094. [Google Scholar] [CrossRef]
- Huang, H.; Liu, Y.; Zhang, S.; Gong, S. Uniplanar differentially driven ultrawideband polarization diversity antenna with band-notched characteristics. IEEE Antennas Wirel. Propag. Lett. 2014, 14, 563–566. [Google Scholar] [CrossRef]
- Ahmad, W.; Tasic, M.; Budimir, D. Compact UWB MIMO filtennas with dual bandnotch, high isolation and high diversity. In Proceedings of the 2016 Asia-Pacific Microwave Conference (APMC), New Delhi, India, 5–9 December 2016; pp. 1–4. [Google Scholar]
- Hasan, M.N.; Chu, S.; Bashir, S. A DGS monopole antenna loaded with U-shape stub for UWB MIMO applications. Microw. Opt. Technol. Lett. 2019, 61, 2141–2149. [Google Scholar] [CrossRef]
- Khan, M.S.; Iftikhar, A.; Shubair, R.M.; Capobianco, A.D.; Braaten, B.D.; Anagnostou, D.E. Eight-element compact UWB-MIMO/diversity antenna with WLAN band rejection for 3G/4G/5G communications. IEEE Open J. Antennas Propag. 2020, 1, 196–206. [Google Scholar] [CrossRef]
- Ahmad, S.; Khan, S.; Manzoor, B.; Soruri, M.; Alibakhshikenari, M.; Dalarsson, M.; Falcone, F. A compact CPW-fed ultra-wideband multi-input-multi-output (MIMO) antenna for wireless communication networks. IEEE Access 2022, 10, 25278–25289. [Google Scholar] [CrossRef]
- Rekha, V.S.D.; Pardhasaradhi, P.; Madhav, B.T.P.; Devi, Y.U. Dual band notched orthogonal 4-element MIMO antenna with isolation for UWB applications. IEEE Access 2020, 8, 145871–145880. [Google Scholar] [CrossRef]


























| Parameter | Value (mm) | Parameter | Value (mm) | Parameter | Value (mm) | Parameter | Value (mm) |
|---|---|---|---|---|---|---|---|
| 43 | 1 | 6.05 | 3.24 | ||||
| 30 | 3.6 | 2.35 | 3.24 | ||||
| 2.8 | 2.5 | 1.69 | 1.62 | ||||
| 20.8 | 2.5 | 1.47 | 1.35 | ||||
| 9.4 | 3.4 | 5.5 | 2.36 | ||||
| 3.2 | 3.4 | 1 | 1.86 | ||||
| 1.2 | 3.4 | 5.6 | 0.27 | ||||
| 11.19 | 1.08 | 3.9 | 0.25 | ||||
| 5.25 | 12.84 | 1.1 | 0.2 | ||||
| 6 | 1 | 0.8 | 1.2 | ||||
| 1.5 | 0.75 | 0.2 | 0.3 | ||||
| 2.5 | R | 1 | 0.2 | ||||
| 1.5 | 4.82 | 1.12 |
| Parameter | Value (mm) | Parameter | Value (mm) | Parameter | Value (mm) |
|---|---|---|---|---|---|
| 9.2 | 8.5 | 5 | |||
| 5 | 16 | 6.1 | |||
| 18 | 1 | 1.4 | |||
| 13 | 1 | 1.4 | |||
| 10.2 | 0.5 | 0.2 | |||
| 15.5 | 1.5 | 0.2 |
| Ref. | Size (mm) | Dielectric Constant | Frequency Range (GHz) | Notch Bands (GHz) | Bluetooth Support | Isolation (dB) | Peak Gain (dBi) | Rad. Eff. (%) | ECC | Ground Planes(GP) Connection | Sharpness Edges at Notches |
|---|---|---|---|---|---|---|---|---|---|---|---|
| [18] | 60 × 60 × 1.6 | 4.4 | 2.73–10.68 | WLAN (5.36–6.04) | No | Below −15 | 5.5 | N/A | <0.0015 | No GP Connected | No |
| [19] | 64 × 64 × 0.8 | 4.4 | 3–11 | WLAN (5–6.1) | No | Below −40 | 5 | 80 | <0.006 | Connected | No |
| [20] | 78 × 78 × 0.795 | 2.2 | 2.96–11.56 | WLAN, WiMAX | No | Below −20 | 5.3 | 90 | <0.107 | No GP Connected | No |
| [21] | 80 × 80 × 1.52 | 3 | 3.18–11.5 | No Notches | No | Below −15 | 6 | 98 | <0.012 | No GP Connected | No |
| [22] | 50 × 50 × 1.6 | 4.5 | 2–12 | WLAN (4.85–6.35) | Yes | Below −17 | 5.8 | 86 | <0.45 | No GP Connected | No |
| [23] | 60 × 60 × 1.24 | 4.4 | 3–11 | No Notches | No | Below −20 | 3.4 | 75 | <0.02 | No GP Connected | No |
| [24] | 80 × 80 × 1.6 | 4.4 | 2–20 | WiMAX Radar App | Yes | Below −25 | 5.8 | 90 | <0.05 | No GP Connected | No |
| Proposed | 78 × 78 × 1.5 | 4.5 | 2.33–16 | WLAN, WiMAX, X-Band | Yes | Below −20 | 5.1 | 90 | <0.05 | Connected | Yes |
Disclaimer/Publisher’s Note: The statements, opinions and data contained in all publications are solely those of the individual author(s) and contributor(s) and not of MDPI and/or the editor(s). MDPI and/or the editor(s) disclaim responsibility for any injury to people or property resulting from any ideas, methods, instructions or products referred to in the content. |
© 2023 by the authors. Licensee MDPI, Basel, Switzerland. This article is an open access article distributed under the terms and conditions of the Creative Commons Attribution (CC BY) license (https://creativecommons.org/licenses/by/4.0/).
Share and Cite
El-Gendy, M.S.; Ali, M.M.M.; Thompson, E.B.; Ashraf, I. Triple-Band Notched Ultra-Wideband Microstrip MIMO Antenna with Bluetooth Band. Sensors 2023, 23, 4475. https://doi.org/10.3390/s23094475
El-Gendy MS, Ali MMM, Thompson EB, Ashraf I. Triple-Band Notched Ultra-Wideband Microstrip MIMO Antenna with Bluetooth Band. Sensors. 2023; 23(9):4475. https://doi.org/10.3390/s23094475
Chicago/Turabian StyleEl-Gendy, Mohamed S., Mohamed Mamdouh M. Ali, Ernesto Bautista Thompson, and Imran Ashraf. 2023. "Triple-Band Notched Ultra-Wideband Microstrip MIMO Antenna with Bluetooth Band" Sensors 23, no. 9: 4475. https://doi.org/10.3390/s23094475
APA StyleEl-Gendy, M. S., Ali, M. M. M., Thompson, E. B., & Ashraf, I. (2023). Triple-Band Notched Ultra-Wideband Microstrip MIMO Antenna with Bluetooth Band. Sensors, 23(9), 4475. https://doi.org/10.3390/s23094475

