Next Article in Journal
DR-ALOHA-Q: A Q-Learning-Based Adaptive MAC Protocol for Underwater Acoustic Sensor Networks
Next Article in Special Issue
Reinforcement Learning-Aided Channel Estimator in Time-Varying MIMO Systems
Previous Article in Journal
Robust Low-Sidelobe Transmit Beamforming under Peak-to-Average-Power Ratio Constraint
Previous Article in Special Issue
A Compact Aperture-Sharing Sub-6 GHz/Millimeter-Wave Dual-Band Antenna
 
 
Font Type:
Arial Georgia Verdana
Font Size:
Aa Aa Aa
Line Spacing:
Column Width:
Background:
Article

Surface-Mount Zero-Ohm Jumper Resistor Characterization in High-Speed Controlled Impedance Transmission Lines

by
Aleksandr Vasjanov
* and
Vaidotas Barzdenas
Department of Computer Science and Communications Technologies, Vilnius Gediminas Technical University (VILNIUS TECH), 10223 Vilnius, Lithuania
*
Author to whom correspondence should be addressed.
Sensors 2023, 23(9), 4472; https://doi.org/10.3390/s23094472
Submission received: 6 April 2023 / Revised: 1 May 2023 / Accepted: 2 May 2023 / Published: 4 May 2023
(This article belongs to the Special Issue MIMO Technologies in Sensors and Wireless Communication Applications)

Abstract

:
Zero-ohm resistors, also known as jumpers, are commonly used in early radio frequency (RF) prototypes as they can help engineers identify the most optimal engineering solution for their system or create application-specific hardware configurations in products. One of the key considerations when using zero-ohm jumpers in RF circuits is the potential for signal loss and interference. Every circuit connection creates a small amount of resistance and impedance, eventually adding up over long distances or in complex circuits. This paper proposes a quantitative characterization summary of standard 0201-, 0402-, 0603-, and 0805-size surface-mount package jumpers, as well as lead-free and lead solder wires, in high-frequency applications by means of time domain reflectometry (TDR) and S-parameter measurements. The typical offset from the target 50 Ω impedance was measured to be around 3 Ω, or 5.8% relative to the measured reference value. According to S-parameter measurement results, no visible impact on attenuation was spotted up to 5 GHz compared to the reference S21 curve.

1. Introduction

The market for RF components and products, used in a variety of applications including wireless communication, is experiencing rapid growth. The evolution of 5G technology is one of the main drivers of this growth, as it requires more advanced and sophisticated RF components and products to support the higher-frequency bands and bandwidths used by 5G networks. According to a report by the worldwide market research and consulting organization Precedence Research, the market for RF components and products is expected to grow from USD 31.64 billion in 2022 to USD 101.09 billion by 2032, at a compound annual growth rate (CAGR) of 12.32% during the forecast period. This growth is driven by the increasing demand for RF components and products in various end-use industries, such as telecommunications, aerospace and defense, and automotive, among others [1,2].
These advanced technologies often incorporate zero-resistance resistors in prototyping various products, as well as in the final ones. Zero-ohm resistors are very commonly used in early RF prototypes as they can help engineers identify the most optimal engineering solution for their system or reconfigure it, if needed. A jumper is an electrical component used in electronic circuits to connect two points together. In radio frequency (RF) circuits, zero-ohm jumpers are commonly used to connect various components, such as resistors, capacitors, and inductors, between themselves and other integrated circuits. The use of jumpers in RF circuits can have a significant impact on the performance of the circuit, and careful consideration must be given to their incorporation into the design and placement on the printed circuit board (PCB). The placement of these jumpers is critical, as their characteristics, the way they are routed, and proximity to other components can affect the overall performance of the circuit. An important use of zero-ohm jumpers in RF circuits is to create signal paths that bypass certain components in the circuit or make changes to the circuit if an alternative component requires additional external parts (e.g., filters or impedance-matching circuits). Bypassing a component with a jumper is useful when the PCB has more than one assembly configuration for specific tasks. One of the key considerations when using jumpers in RF circuits is the potential for signal loss and interference. Every connection in a circuit creates a small amount of resistance and impedance, which can add up over long distances or in complex circuits. Careful placement and design of jumpers can help minimize these effects, and the use of high-quality components and materials can also help reduce signal loss and interference. When using zero-resistance resistors, it is important to note that they are not completely without resistance. While their impedance is extremely low, it is not zero. As a result, engineers should still take into account any potential impedance when designing their system.
It has also been identified that interest in whether and how zero-ohm jumper resistors impact the performance of RF chains is present in various engineering communities and forums, with most of the queries not providing a definitive and quantitative resolution. Thus, so far, this discussion has been an open topic.
Various research papers and commercial spec-sheets can be found on the topic characterizing passive surface mount devices. The authors of [3] conducted high-frequency measurements on thin-film resistors, analyzing their impedances up to 40 GHz, although the smallest resistance value was 50 Ω. The scope of the latter study included 50 Ω, 100 Ω, 200 Ω, 500 Ω, and 1 kΩ values. Solder joint research under direct current (DC) loads with 0402 and 0603 surface mount resistors was conducted in [4]. The authors of [5] proposed an inexpensive method for characterizing passive components in high-frequency applications, while the authors of [6] presented equivalent circuits of small-size chip resistors up to 50 GHz, although the latter included quartz 0102 resistors with a lowest value of 10 Ω. Zero-ohm resistors are mentioned as a possible alternative to a ferrite bead because they exhibit some impedance due to component package parasitics [7]. Resistor package parasitics and the use of surface-mount devices in RF circuits is mentioned in [8]. Commercial application notes [9,10] provide frequency responses for various value resistors and describe their use in RF devices, but the smallest resistance value goes down only to 5 Ω.
To the best of the authors’ knowledge, surface mount zero-ohm jumper resistor impact on controlled impedance microstrips has not been characterized. Thus, this paper proposes a quantitative characterization of surface-mount zero-ohm resistors, encapsulated in various packages and manufactured using different processes, in a high-frequency 50 Ω impedance transmission line.
The paper is organized as follows: the introduction is followed by Section 2, which provides the motivation for this research. Section 3 discusses the differences in zero-ohm resistor technologies and packages. Section 4 presents the device under test (DUT) setup and measurement results. The results presented in this paper are then summarized in Section 5, with references provided afterwards. The Appendix A include S-parameter and time domain reflectometry (TDR) measurement result extended plots, as well as a table with DUT part descriptions.

2. Motivation

Zero-ohm resistors, also known as jumpers, have become increasingly popular in recent years for use in the configuration of antennas and various radio frequency (RF) circuits, as reported in several scientific studies [11,12,13]. These components, functioning as short circuits, offer a flexible means to interconnect various components and bypass elements within a circuit, thereby enabling greater design and testing versatility. Despite the fact that zero-ohm resistors possess extremely low resistance values, their impedance is not negligible and thus can affect the electrical characteristics of the circuit. Specifically, the impedance of a zero-ohm resistor contains capacitive or inductive components that require careful consideration when configuring circuits that employ these resistors.
A practical example of a RF front-end chain with possible reconfiguration is presented in Figure 1. Figure 1a shows an amplifier with external input and output impedance matching networks, followed by a filter, which is connected to an antenna. The possible positions of jumper resistors are components with designators MN1-MN4. Depending on the type, a broadband gain stage or a narrow-band amplifier can be implemented to meet the target goal. In the case of a broadband gain stage, external impedance-matching networks are usually not required. If the selected initial amplifier contains an alternative part with the same package and pin-out, parts can be swapped during the lifecycle of the device (e.g., part shortages, end-of-life or specific requirements). Even if the alternative part is compatible with the current amplifier land pad configuration, external impedance matching networks are sometimes required; thus, they have to be included in the initial design.
Moving on through the presented chain in Figure 1a, filters are tied to a specific frequency band (e.g., LTE, GSM, etc.), and if the amplifier configuration prior to that changes to another specific frequency, the filter might be changed to another one or simply bypassed using an MN1 jumper. Different frequency range filters often have different packages or pinouts, and if a filter selection by means of changing a jumper resistor is included, there will be two zero-ohm jumpers instead of a single MN1. Solid-state RF switches are always an option, but if the amplifier is initially configured to a specific band, there is no need for this pricy solution.
The antenna, which is also frequency-specific, is the last block in Figure 1a. Depending on the type (on-board or external), it can require an impedance-matching network. If it does not, the series component MN4 becomes a jumper. A possible layout of the block Figure 1a diagram with highlighted jumper resistors is provided in Figure 1b. All in all, modern devices can have hardware configurations dictated by specific requirements and multiple jumpers can be included in high-frequency chains, which require maintaining a specific impedance. The latter front-end is just an example which can be extrapolated to other similar high-frequency chains. Because zero-ohm jumpers are enclosed in different surface-mount packages and fabricated differently, resulting in various types, it is not intuitive which one introduces a smaller impact (losses and impedance discontinuity) in the chain, mitigating the overall performance.

3. Differences in Zero-Ohm Resistor Technologies and Packaging

Although different types of zero-ohm resistors enclosed in the same package should exhibit almost identical characteristics, the nuances in their fabrication ensure their own advantages and disadvantages.
Thin-film resistor technology depends on the deposition of a thin metallic layer on a ceramic substrate. Resistors built using this technology possess enhanced resistance for a given area, and thus this type of resistors are reasonable and save a lot of space. However, the film is susceptible to failure owing to high temperatures, chemical contamination, and water vapor.
Resistors fabricated using thick-film technology are formed by applying a resistive metallic paste on the base. They offer improved resistance per given area and are cost-efficient as compared to other types of resistors, such as wire-wound resistors. Their frequency is similar to foil and thin-film resistors. However, they are comparatively noisier than other types. Notwithstanding their disadvantages, they are extensively used in circuit units that need less accuracy and permanency.
Foil resistors are formed by applying a metal foil to a ceramic substrate which is photo-etched with a resistive design. This procedure develops a resistor with the advantageous features of improved stability, reduced capacitance, non-inductance, and reduced noise, without forgoing speed and precision. Hence, they are widely in demand from various electronics industries [14].
Metal element resistors are usually used as current-sense elements in high-power applications.
Figure 2 presents the simplest, but the most common, lumped circuit model for a passive component with parasitic parameters. Apart from the main parameter for the SMD resistor, its resistance R, parasitic inductance L and capacitance C are also included due to the package. CT and LT describe the lumped equivalent of a transmission line. According to [15], the lumped model L and C components presented in Figure 2 are in the range of pH and pF accordingly, but they still affect the overall impedance.

4. DUT Setup and Measurement Results

The device under test (DUT) contains separate 50 mm long microstrip lines with a target impedance of Z0 = 50 Ω, as shown in Figure 3a. The manufactured PCB is presented in Figure 3b and contains a reference microstrip and four microstrips with a place to mount a jumper in the center. The trace width was selected to be equal to the width of the 0805-size SMD jumper, which is the largest component presented in this paper. This is used to remove the effect of the footprint pads, which would be wider than a typical Z0 = 50 Ω microstrip in a multilayer PCB, on the overall impedance. As a result, all observed changes in S-parameter and TDR responses compared to the reference microstrip measurement data are due to the introduced zero-ohm jumper. Resistors were soldered using S-Sn63Pb37E solder paste and the soldering area was cleaned using isopropyl alcohol before each measurement for the purity of the experiment.
Measurements and experimental analysis were performed using a calibrated 8.5 GHz bandwidth LA19-1304B VNA. The fabricated DUT PCB was connected directly to the VNA, avoiding the use of additional cables that introduce additional insertion losses and possible reflections for S11 and TDR measurements. A 50 Ω calibration load was connected to the other end of the DUT during S11 and TDR measurements. During S21 response measurement, the DUT input was directly connected to the VNA, whereas the second end was connected to the second port of the VNA using a low-loss Sucoflex 126EA test lead/cable, as shown in Figure 2c. The taken measurement steps for a single cycle are as follows:
(1)
Solder the selected size and part number zero-ohm resistor on the appropriate transmission line and clean the flux residue with isopropyl alcohol;
(2)
OSLT-calibrate the VNA for S-parameter measurements;
(3)
Connect the DUT PCB input directly to the VNA and load the second end of the transmission line with a high-frequency 50 Ω calibration load;
(4)
Measure S11 parameter;
(5)
Remove the high-frequency 50 Ω calibration load from the second end of the transmission line and connect it to the second port of the VNA using low-loss Sucoflex 126EA cable;
(6)
Measure S21 parameter;
(7)
OSL-calibrate the VNA for TDR measurements;
(8)
Connect the DUT PCB input directly to the VNA and load the second end of the transmission line with a high-frequency 50 Ω calibration load;
(9)
Measure TDR response.
Zero-ohm jumpers were selected based on two major parameters—package size and jumper type. In the scope of this paper, only standard 0201-, 0402-, 0603-, and 0805-size packages were selected, as they are the most common in modern high-speed analog and digital devices. The 01005-size package was not included as these components are problematic to solder by hand and only have a handful zero-ohm part of alternatives, whereas 1206 and larger jumpers are not likely to be used in modern high-speed communication interconnects. The jumper type defines the technology and materials for a specific part, so the most common types for all packages were included, such as thick film, thin film, metal element, and metal foil. The part types and their descriptions are listed in Appendix A Table A1. Manufacturer part numbers are not listed in order not to highlight any specific manufacturer or part. Each curve presented in Figure 3, as well as in Appendix A Figure A1, Figure A2, Figure A3, Figure A4, Figure A5 and Figure A6, is an average of 5 samples of the same part. Moreover, measurements of basic solder bridges using lead-free Sn99.7Cu0.7 SW26/2.5% and lead S-Sn63Pb37E solder wires were also included as a possible jumper solution. The latter solder bridges were soldered over 0201 component solder pads.
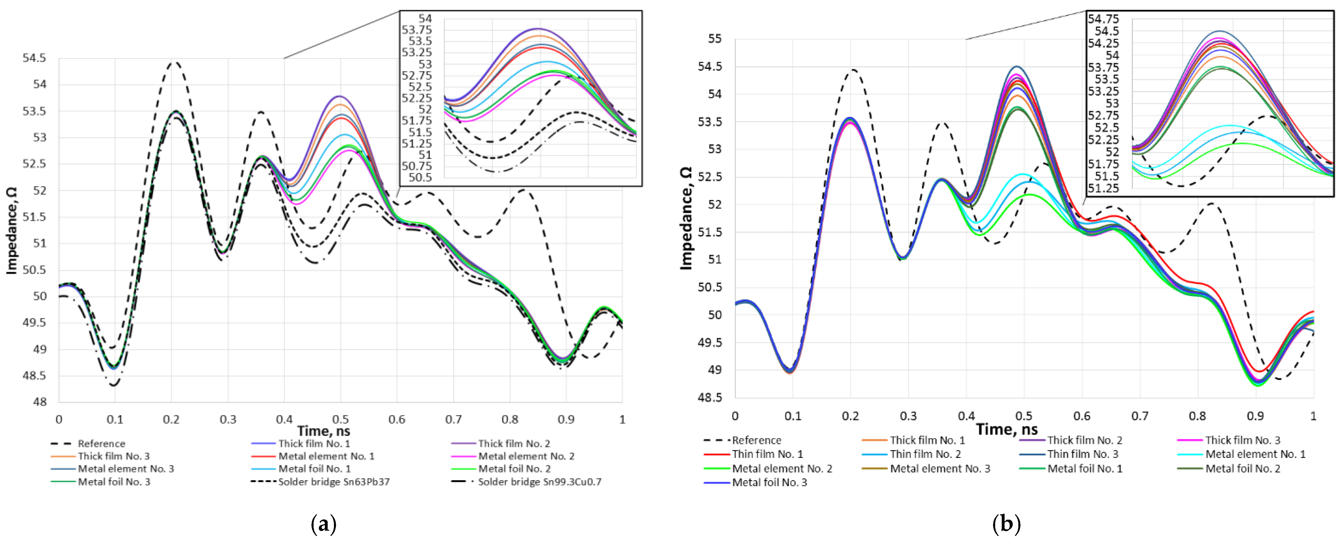
Figure 4 presents the TDR measurement results for each package type at the center of the microstrip where the zero-ohm jumpers are assembled. Full TDR and S-parameter measurement plots are presented in the Appendix A in Figure A1, Figure A2, Figure A3, Figure A4, Figure A5 and Figure A6.
In all Figure 4 plots, the long-dashed black curve corresponds to the reference microstrip with no jumper TDR measurements, whereas other curves represent various types of jumper resistor measurement results. The 0201 package size jumper measurement results in Figure 4a additionally contain short-dashed and dash–dot black curves, which represent solder bridge with and without lead responses accordingly. All aforementioned plots contain multiple curves, which might be hard to distinguish, but the main goal in providing responses in this format is to visually show how small the differences between various jumper resistor type impedance shifts are.
After analyzing the measurement results for the 0201 package, presented in Figure 4a, it can be said that both solder bridges are up to 1 Ω below the reference impedance curve. However, all types of zero-ohm jumper resistors show an increase in impedance ranging from 0.5–2.3 Ω. The pink curve corresponds to a metal element part and is closest to the reference, whereas the blue curve corresponds to a thick-film part and has the farthest value.
Figure 4b presents the measurement results for the 0402 surface-mount jumpers, divided into two groups of curves: those closest to the reference curve, and all others. The first group consists of two metal element parts (aqua blue and light green curves) from different manufacturers, and a thin-film part (light blue). The second group is comprised of all other types of jumper measurements, which exhibit a 1.5–2.2 Ω increase in impedance compared to the reference results. The dark green curve represents a metal foil part with the lowest increase in impedance, while the dark blue curve represents a thin-film part with the highest increase.
Figure 4c shows the measurement results for the 0603 package size jumpers, which can be divided into two groups, based on undershoot and overshoot impedance values compared to the reference measurements. In the group of curves with an undershoot impedance value, a metal element part (dark blue curve) refers to a 1 Ω lower impedance than the reference measurement, whereas a metal element part from a different manufacturer (dark green curve) is the closest to the reference curve and lower by around 0.5 Ω. Other parts in this group include two metal foil parts from different manufacturers (green and red curves), as well as a thin-film (purple curve) one. The thin-film part on the lower side (pink curve) and a metal element (green curve) part are on different ends of the group of curves which overshoot the reference measurement curve. The offset is around 1.7 Ω and 2.5 Ω accordingly.
Figure 4d contains the 0805 package size surface-mount jumper measurement results. The scatter in the measurements for all parts spread in the range of a 4 Ω overshoot, corresponding to a thick-film jumper (dark blue curve), and a 3.5 Ω undershoot, corresponding to different a thick-film jumper (red curve).
Summarizing the curves presented in Figure 4, the 0201 size surface mount zero-ohm jumpers mostly overshoot the reference measurements regardless of the type. Solder bridges over 0201 solder pads provide an impedance which is slightly below the reference. The 0402- and 0603-size surface mount jumpers are different from 0201 jumpers, as in both cases some parts show a value smaller than the reference impedance value, while others show a larger one. The 0805-size surface mount jumper impedance measurements form a more or less even spread of possible impedance values around the reference. In all cases, no tendency of one type of jumper (e.g., metal foil) from different manufacturers showing near identical results was identified. The same part type from different manufacturers can shift the impedance both ways, either to the overshoot (with a dominant inductance in the impedance) or the undershoot (with a dominant capacitance in the impedance) regions.
Figure 4 presents TDR measurement curves, each of which is a mean of 5 experiments, and non-intuitive and raw data. All measurement results have been processed and presented in Figure 5, which shows the possible jumper resistor impedance deviations from the reference value. It can be seen that only the 0805 thick-film resistors showed the largest possible window of impedance values, which is equal to 6.34 Ω, or 11.5% relative to the measured target reference. The 0402 and 0603 surface-mount package size jumpers provide a similar scatter of possible impedances equal to around 3 Ω, or 5.8% relative, and are most likely to overshoot the reference value. The 0201-size jumpers show the smallest impedance scatter with metal foil type having only a 1.5 Ω, or 2.9% relative, offset and more likely to the larger side. From the results in Figure 5, it can be concluded that zero-ohm jumpers exhibit dominant inductive parasitic parameters, which are included in Figure 4, in high-frequency transmission lines [16]. As for the solder bridges, both lead-free and lead solder connections show the smallest offset of just 1 Ω, or 1.9% relative, with a tendency of undershooting the reference.
According to S-parameter measurements, presented in Appendix A Figure A1, Figure A2, Figure A3 and Figure A4, the microstrip with jumper resistors, regardless of the package size and type, do not introduce any visible attenuation up to 5 GHz compared to the reference S21 curve. The S21 curve with jumper resistors above 5 GHz is similar in shape, but is shifted by around 600 MHz to the upper range. S11 measurement results are also similar to the reference measurement results in amplitude with minor shifts in frequency.

5. Conclusions

Zero-ohm jumper resistors are commonly used in early RF device prototypes, as well as when creating possible hardware reconfiguration capabilities during the assembly stage of final products. This paper proposes a quantitative characterization summary of jumpers in standard 0201-, 0402-, 0603-, and 0805-size packages, as well as lead-free and lead solder wires, in order to determine their effect on the impedance of a high-frequency digital or analog chain. The results of 5 experiments with each of the 45 different parts from various manufacturers and 2 types of solder showed that, regardless of the jumper types and package sizes, the typical offset from the target 50 Ω impedance was around 3 Ω, or 5.8% relative. Both types of solder bridges performed similarly, with an offset of just 1 Ω, or 1.9% relative, with a tendency of undershooting the reference. According to the S-parameter measurement results, no visible impact on attenuation was spotted up to 5 GHz compared to the reference S21 curve. Zero-ohm jumper resistors above 5 GHz had a similar shape response to that of the reference microstrip, but were shifted by around 600 MHz to the upper range. The S11 measurement results were also similar in amplitude to the reference measurement results with minor shifts in frequency.

Author Contributions

Conceptualization, A.V. and V.B.; methodology, A.V. and V.B.; validation, A.V.; investigation, A.V.; writing—original draft preparation, A.V.; writing—review and editing, V.B. All authors have read and agreed to the published version of the manuscript.

Funding

This research received no external funding.

Institutional Review Board Statement

Not applicable.

Informed Consent Statement

Not applicable.

Data Availability Statement

Not applicable.

Conflicts of Interest

The authors declare no conflict of interest.

Appendix A

Appendix A provides extended TDR and S-parameter responses for the DUT. They include measurements for the 0201-, 0402-, 0603-, and 0805-size surface-mount zero ohm resistor packages assembled on the carrier PCB with a target impedance of 50 Ω. A table describing zero-ohm resistors in the scope of the research is also given without highlighting specific part numbers or manufacturers.
Figure A1. 0201 surface-mount package zero-ohm jumper scattering parameter measurement results: S11 (a), S21 (b).
Figure A1. 0201 surface-mount package zero-ohm jumper scattering parameter measurement results: S11 (a), S21 (b).
Sensors 23 04472 g0a1
Figure A2. 0402 surface-mount package zero-ohm jumper scattering parameter measurement results: S11 (a), S21 (b).
Figure A2. 0402 surface-mount package zero-ohm jumper scattering parameter measurement results: S11 (a), S21 (b).
Sensors 23 04472 g0a2
Figure A3. 0603 surface-mount package zero-ohm jumper scattering parameter measurement results: S11 (a), S21 (b).
Figure A3. 0603 surface-mount package zero-ohm jumper scattering parameter measurement results: S11 (a), S21 (b).
Sensors 23 04472 g0a3
Figure A4. 0805 surface-mount package zero-ohm jumper scattering parameter measurement results: S11 (a), S21 (b).
Figure A4. 0805 surface-mount package zero-ohm jumper scattering parameter measurement results: S11 (a), S21 (b).
Sensors 23 04472 g0a4
Figure A5. Full TDR responses for 0201 (a) and 0402 (b) surface-mount package zero-ohm jumpers.
Figure A5. Full TDR responses for 0201 (a) and 0402 (b) surface-mount package zero-ohm jumpers.
Sensors 23 04472 g0a5
Figure A6. Full TDR responses for 0603 (a) and 0805 (b) surface-mount package zero-ohm jumpers.
Figure A6. Full TDR responses for 0603 (a) and 0805 (b) surface-mount package zero-ohm jumpers.
Sensors 23 04472 g0a6
Table A1. Zero-ohm jumper types used and their description.
Table A1. Zero-ohm jumper types used and their description.
No.PackageQuantityTypeDescription
102015Thick FilmRES SMD 0 OHM JUMPER 1/20W 0201
2RES 0 OHM JUMPER 1/20W 0201
3RES SMD 0 OHM JUMPER 1/20W 0201
4Metal ElementRES 0 OHM JUMPER 1/10W 0201
5RES 0.01 OHM 1% 1/5W 0201
6RES 0 OHM JUMPER 0201
7Metal FoilRES 0.02 OHM 1% 1/4W 0201
8RES 0.05 OHM 1% 1/10W 0201
9RES 0.01 OHM 1% 1/4W 0201
100402Thick FilmRES SMD 0 OHM JUMP 1/16W 0402
11RES 0 OHM JUMPER 1/16W 0402
12RES SMD 0 OHM JUMPER 1/10W 0402
13Thin FilmRES 0.33 OHM 1% 1/6W 0402
14RES 0.22 OHM 1% 1/6W 0402
15RES 0.1 OHM 1% 1/6W 0402
16Metal ElementMETAL CURRENT SENSOR-LOW T.C.R C
17RES SMD 0 OHM JUMPER 1/5W 0402
18RES 0 OHM JUMPER 0402
19Metal FoilRES 0 OHM JUMPER 1/8W 0402
20RES 0.05 OHM 1% 1/16W 0402
21RES 0.024 OHM 0.25 W 1% 0402 SMD
220603Thick FilmRES 0 OHM JUMPER 1/10W 0603
23RES 0 OHM JUMPER 1/10W 0603
24RES 0 OHM JUMPER 1/10W 0603
25Thin FilmRES 0.01 OHM 1% 1/4W 0603
26RES 0 OHM JUMPER 1/10W 0603
27RES SMD 0 OHM JUMPER 0603
28Metal ElementRES 0 OHM JUMPER 0603
29RES 0 OHM JUMPER 1/2W 0603
30RES 0 OHM JUMPER 0603
31Metal FoilRES 0.03 OHM 0.5 W 1% 0603 SMD
32RES 0 OHM JUMPER 1/4W 0603
33RES 0.04 OHM 1% 1/10W 0603
340805Thick FilmRES 0 OHM JUMPER 1/8W 0805
35RES SMD 0 OHM JUMPER 1/8W 0805
36ULTRA-LOW OHMIC CHIP RESISTORS F
37Thin FilmRES 0 OHM JUMPER 1/8W 0805
38RES 0.05 OHM 5% 1/4W 0805
39RES 0.01 OHM 5% 1/4W 0805
40Metal ElementRES 0 OHM JUMPER 1/2W 0805
41RES 0.015 OHM 1% 1/2W 0805
42RES 0.01 OHM 1% 1/2W 0805
43Metal FoilRES 0.012 OHM 0.5 W 1% 0805 SMD
44RES 0.01 OHM 1% 3/4W 0805
45RES 0 OHM JUMPER 1/2W 0805
46Solder bridge-Lead-freeSn99.7Cu0.7 SW26/2.5%
47With leadS-Sn63Pb37E

References

  1. Precedence Research. RF Components Market Size To Hit USD 101.09 Bn By 2032. Report Code: 2544. January 2023. Available online: https://www.precedenceresearch.com/rf-components-market (accessed on 5 April 2023).
  2. Wadhwani, P.; Saha, P. RF Components Market, 2022–2028. Global Market Insights Inc., Report ID: GMI3829. January 2022. Available online: https://www.gminsights.com/industry-analysis/rf-components-market (accessed on 5 April 2023).
  3. Johnson, R.S.; Wakeman, C.; Cuviello, W. Frequency Response of Thin Film Chip Resistors; Vishay Thin Film: Niagara Falls, NY, USA, 2005; pp. 136–141. Available online: https://www.researchgate.net/publication/283557451_Frequency_response_of_thin_film_chip_resistors (accessed on 5 April 2023).
  4. Géczy, A.; Straubinger, D.; Hurtony, T.; Krammer, O.; Kovács, A. Investigating current density in the lead free solder joints of surface mounted resistors with experimental approach. In Proceedings of the 2017 40th International Spring Seminar on Electronics Technology (ISSE), Sofia, Bulgaria, 10–14 May 2017; pp. 1–6. [Google Scholar] [CrossRef]
  5. Fallah, A.M.; Davidson, L.; Banerjee, D.; Nelson, R.M.; Rogers, D.A. An inexpensive and simple method for characterizing passive components. In Proceedings of the 2001 IEEE EMC International Symposium. Symposium Record. International Symposium on Electromagnetic Compatibility, Montreal, QC, Canada, 13–17 August 2001; Volume 2, pp. 1141–1145. [Google Scholar] [CrossRef]
  6. Gallego, J.D.; López, I.; Diez González, C.; Malo, I.; Amils, R. Equivalent Circuits of Small Size Chip Resistors up to 50 GHz. Observatorio de Yebes Apdo. 148 19080 Guadalajara SPAIN, 2020-28-06, IT-CDT 2020-15 Rev. A. pp. 1–22. Available online: https://icts-yebes.oan.es/reports/doc/IT-CDT-2020-15.pdf (accessed on 1 May 2023).
  7. Archambeault, B.R. PCB Design for Real-World EMI Control; Springer: New York, NY, USA, 2002; pp. 166–168. [Google Scholar] [CrossRef]
  8. Dunsmore, J.P. Handbook of Microwave Component Measurements: With Advanced VNA Techniques; John Wiley & Sons: Hoboken, NJ, USA, 2020; pp. 53–55. [Google Scholar] [CrossRef]
  9. Beyschlag. The HF—Resistor Application Guide. pp. 1–32. Available online: https://www.ieee.li/pdf/essay/hf_resistor_application_guide.pdf (accessed on 5 April 2023).
  10. Vishay Beyschlag. Basics of Linear Fixed Resistors. Application note Document Number: 28771, 2008-11-11. pp. 1–8. Available online: https://www.vishay.com/docs/28771/basics.pdf (accessed on 5 April 2023).
  11. Zhang, Y.; Shi, Q.-L.; Lin, S.-S.; Lü, S.-W. A Novel Reconfigurable Notch-Band UWB Antenna. In Proceedings of the 10th International Symposium on Antennas, Propagation & EM Theory (ISAPE 2012), Xi’an, China, 22–26 October 2012; pp. 369–372. [Google Scholar] [CrossRef]
  12. Yilmaz, K.; Nesimoglu, T. Design of a Multi-Layer Beam-Steering WLAN Antenna. In Proceedings of the 18th Mediterranean Microwave Symposium (MMS), Istanbul, Turkey, 31 October–2 November 2018; pp. 26–31. [Google Scholar] [CrossRef]
  13. Alimenti, F.; Mariotti, C.; Mezzanotte, P.; Orecchini, G.; Roselli, L.; Virili, M. Accurate Concurrent Simulation of Passive and Non-Linear Sub-Circuits of a 24 GHz Cellulose-Based Mixer. In Proceedings of the 9th International Workshop on Numerical Electromagnetic Modeling (NEMO), Pavia, Italy, 14–16 May 2014; pp. 1–4. [Google Scholar] [CrossRef]
  14. Princy, A.J. What are Different Types of Chip Resistors and Why are they Important? 9 August 2021. Available online: https://www.researchdive.com/blog/what-are-different-types-of-chip-resistors-and-why-are-they-important (accessed on 27 April 2023).
  15. Vishay Intertechnology INC. Frequency Response of Thin Film Chip Resistors. Tech Note TN0004, 2006-09-04. pp. 1–5. Available online: https://www.vishay.com/docs/49427/vse-tn00.pdf (accessed on 27 April 2023).
  16. Dascher, D.J. Measuring Parasitic Capacitance and Inductance Using TDR. August 1996 Hewlett-Packard Journal. Available online: https://www.hpl.hp.com/hpjournal/96apr/apr96a11.htm (accessed on 1 May 2023).
Figure 1. Zero-ohm jumper resistors in high-speed analog transmission lines: simplified RF front-end block diagram (a), RF front-end PCB layout (b).
Figure 1. Zero-ohm jumper resistors in high-speed analog transmission lines: simplified RF front-end block diagram (a), RF front-end PCB layout (b).
Sensors 23 04472 g001
Figure 2. Equivalent lumped circuit model for a resistor connected to a transmission line.
Figure 2. Equivalent lumped circuit model for a resistor connected to a transmission line.
Sensors 23 04472 g002
Figure 3. Zero-ohm jumper resistor measurement setting: single RF trace parameters (a), fabricated PCB (b), DUT test-bench (c).
Figure 3. Zero-ohm jumper resistor measurement setting: single RF trace parameters (a), fabricated PCB (b), DUT test-bench (c).
Sensors 23 04472 g003
Figure 4. Zero-ohm jumper resistor TDR measurement results: 0201 package and solder bridge (a), 0402 package (b), 0603 package (c), 0805 package (d).
Figure 4. Zero-ohm jumper resistor TDR measurement results: 0201 package and solder bridge (a), 0402 package (b), 0603 package (c), 0805 package (d).
Sensors 23 04472 g004
Figure 5. Zero-ohm jumper resistor TDR measurement summary.
Figure 5. Zero-ohm jumper resistor TDR measurement summary.
Sensors 23 04472 g005
Disclaimer/Publisher’s Note: The statements, opinions and data contained in all publications are solely those of the individual author(s) and contributor(s) and not of MDPI and/or the editor(s). MDPI and/or the editor(s) disclaim responsibility for any injury to people or property resulting from any ideas, methods, instructions or products referred to in the content.

Share and Cite

MDPI and ACS Style

Vasjanov, A.; Barzdenas, V. Surface-Mount Zero-Ohm Jumper Resistor Characterization in High-Speed Controlled Impedance Transmission Lines. Sensors 2023, 23, 4472. https://doi.org/10.3390/s23094472

AMA Style

Vasjanov A, Barzdenas V. Surface-Mount Zero-Ohm Jumper Resistor Characterization in High-Speed Controlled Impedance Transmission Lines. Sensors. 2023; 23(9):4472. https://doi.org/10.3390/s23094472

Chicago/Turabian Style

Vasjanov, Aleksandr, and Vaidotas Barzdenas. 2023. "Surface-Mount Zero-Ohm Jumper Resistor Characterization in High-Speed Controlled Impedance Transmission Lines" Sensors 23, no. 9: 4472. https://doi.org/10.3390/s23094472

APA Style

Vasjanov, A., & Barzdenas, V. (2023). Surface-Mount Zero-Ohm Jumper Resistor Characterization in High-Speed Controlled Impedance Transmission Lines. Sensors, 23(9), 4472. https://doi.org/10.3390/s23094472

Note that from the first issue of 2016, this journal uses article numbers instead of page numbers. See further details here.

Article Metrics

Back to TopTop