On the Early and Affordable Diagnosis of Joint Pathologies Using Acoustic Emissions, Deep Learning Decompositions and Prediction Machines
Abstract
1. Introduction
1.1. Joint Wear and Its Epidemiology
1.2. Means of Diagnosing Joint Pathologies, Their Shortcomings and AE
- -
- the seminal use of AE towards the early diagnosis and differentiation between five different kinds of joint pathologies
- -
- a contrast between an expanded handcrafted feature extraction scheme and an unsupervised multiscale feature extraction method for the characterisation of a candidate AE signal
- -
- an exploratory observation of the optimal machine learning model for this sort of data and pattern recognition exercise through the training and validation of 12 different candidate machine learning models
2. AE Sensing
3. Tribological Surface Mechanics
4. Data Acquisition
- -
- Abrasion and adhesive wear: sliding tests were done with the TE77 high-frequency reciprocating machine with a cylinder-on-plate configuration. The tests were conducted with a polyetheretherketone (PEEK) rod as the reciprocating specimen, while a steel plate served as the fixed lower specimen [15]. The candidate materials were explicitly selected to replicate a metal form on polymer joint articulation. All plates were cleansed in ethanol prior to experiments and, in particular, were roughened with a belt sander attached with P40 grade sandpaper to mimic an abrasive wear condition. Quarter-strength Ringer’s solution was used as the lubricant for this set of tests [15].
- -
- Burnishing, burnishing to scratching and scratching: the same experimental conditions as above were adopted for these experiments. The tests were conducted with an ultra-high-molecular-weight polyethylene (UHMWPE) disc as the reciprocating sample, with medical grade cobalt chromium molybdenum alloy (CoCrMo) as the fixed specimen. The dimensions of the UHMWPE disc were a diameter of 10 mm with a 3 mm thickness, which was subsequently machined to a fine surface finish of 0.65 ± 0.17 μm. These test conditions were replicas of the linear motion of a set of hinged knees as established using appendix A1 of ASTM F732-17 loading conditions, while the recommended contact pressure of 3.54 MPa was doubled in an attempt to simulate variants of severe wear damage. The burnishing wear was simulated using the UHMWPE continuously sliding on the CoCrMo plate, while the scratching wear was simulated with 45 mg of 80-grit-size silicon carbide with grinding grit added to the contact surface between the UHMWPE disc and the CoCrMo plate before testing.
AE Signal Conditioning and Post-Processing
5. Methods
5.1. Data Preprocessing
5.2. Feature Extraction
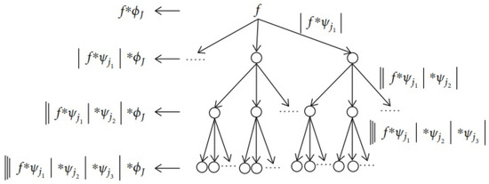
5.3. Deep Wavelet Scattering (DWS)
5.4. Prediction Machines
6. Results and Discussion
6.1. Feature Ranking Results
6.2. Extension towards a Real-Time Diagnosis System
7. Conclusions and Future Work
Author Contributions
Funding
Institutional Review Board Statement
Informed Consent Statement
Data Availability Statement
Acknowledgments
Conflicts of Interest
References
- Vatolik, I.; Hunter, G.; Everington, M.; Augousti, A.T. Monitoring and Analysis of Acoustic Emissions from Knee Joints. In Proceedings of the Institute of Acoustics 2016, Kenilworth, UK, 5 September 2016; pp. 133–138. [Google Scholar]
- National Institute on Aging Global Aging. Available online: https://www.nia.nih.gov/research/dbsr/global-aging (accessed on 6 December 2022).
- Mow, V.C.; Hayes, W.C. (Eds.) Basic Orthopaedic Biomechanics, 2nd ed.; Lippincott-Raven: Philadelphia, PA, USA, 1997; ISBN 978-0-397-51684-1. [Google Scholar]
- Healthy-Joint-vs-Osteoarthritis.Jpg (JPEG Image, 900 × 376 Pixels). Available online: https://springloadedtechnology.com/wp-content/uploads/2021/06/healthy-joint-vs-osteoarthritis.jpg (accessed on 6 December 2022).
- Eckstein, F.; Lemberger, B.; Gratzke, C.; Hudelmaier, M.; Glaser, C.; Englmeier, K.; Reiser, M. In Vivo Cartilage Deformation after Different Types of Activity and Its Dependence on Physical Training Status. Ann. Rheum. Dis. 2005, 64, 291–295. [Google Scholar] [CrossRef]
- Kwabwe, S.A.; Pal, S.K.; King, R.A. Recognition of Bones from X-rays of the Hand. Int. J. Syst. Sci. 1985, 16, 403–413. [Google Scholar] [CrossRef]
- Burghardt, A.J.; Link, T.M.; Majumdar, S. High-Resolution Computed Tomography for Clinical Imaging of Bone Microarchitecture. Clin. Orthop. Relat. Res. 2011, 469, 2179–2193. [Google Scholar] [CrossRef]
- Hashemi, R.H.; Bradley, W.G.; Lisanti, C.J. MRI: The Basics, 3rd ed.; Lippincott Williams & Wilkins: Philadelphia, PA, USA, 2010; ISBN 978-1-60831-115-6. [Google Scholar]
- Hacihaliloglu, I. Ultrasound Imaging and Segmentation of Bone Surfaces: A Review. Technology 2017, 05, 74–80. [Google Scholar] [CrossRef] [PubMed]
- Olorunlambe, K.A.; Shepherd, D.E.T.; Dearn, K.D. A Review of Acoustic Emission as a Biotribological Diagnostic Tool. Tribol. Mater. Surf. Interfaces 2019, 13, 161–171. [Google Scholar] [CrossRef]
- Olorunlambe, K.A.; Eckold, D.G.; Shepherd, D.E.T.; Dearn, K.D. Bio-Tribo-Acoustic Emissions: Condition Monitoring of a Simulated Joint Articulation. Biotribology 2022, 32, 100217. [Google Scholar] [CrossRef]
- Gharehbaghi, S.; Jeong, H.K.; Safaei, M.; Inan, O.T. A Feasibility Study on Tribological Origins of Knee Acoustic Emissions. IEEE Trans. Biomed. Eng. 2022, 69, 1685–1695. [Google Scholar] [CrossRef]
- Katta, J.; Jin, Z.; Ingham, E.; Fisher, J. Biotribology of Articular Cartilage—A Review of the Recent Advances. Med. Eng. Phys. 2008, 30, 1349–1363. [Google Scholar] [CrossRef]
- Remya, A.R.; Vishwash, B.; Lee, C.; Pai, P.S.; Espinoza Oras, A.A.; Ozevin, D.; Mathew, M.T. Hip Implant Performance Prediction by Acoustic Emission Techniques: A Review. Med. Biol. Eng. Comput. 2020, 58, 1637–1650. [Google Scholar] [CrossRef]
- Olorunlambe, K.A.; Hua, Z.; Shepherd, D.E.T.; Dearn, K.D. Towards a Diagnostic Tool for Diagnosing Joint Pathologies: Supervised Learning of Acoustic Emission Signals. Sensors 2021, 21, 8091. [Google Scholar] [CrossRef] [PubMed]
- Data Science Stack Exchange What Is the Difference between Handcrafted and Learned Features. Available online: https://datascience.stackexchange.com/questions/54390/what-is-the-difference-between-handcrafted-and-learned-features (accessed on 1 November 2021).
- Park, E.-S.; Shin, H.-S.; Cheon, D.-S.; Jung, Y.-B. Management and Concept of the Monitoring System Considering the Characteristics of Subsea Tunnels. J. Korean Tunn. Undergr. Space Assoc. 2013, 15. [Google Scholar] [CrossRef]
- Nsugbe, E.; Starr, A.; Jennions, I.; Ruiz-Carcel, C. Estimation of Online Particle Size Distribution of a Particle Mixture in Free Fall with Acoustic Emission. Part. Sci. Technol. 2019, 37, 953–963. [Google Scholar] [CrossRef]
- Di Puccio, F.; Mattei, L. Biotribology of Artificial Hip Joints. World J. Orthop. 2015, 6, 77–94. [Google Scholar] [CrossRef] [PubMed]
- Goodman, L.E.; Keer, L.M. The Contact Stress Problem for an Elastic Sphere Indenting an Elastic Cavity. Int. J. Solids Struct. 1965, 1, 407–415. [Google Scholar] [CrossRef]
- Tanzi, M.C.; Farè, S.; Candiani, G. Chapter 5-Sterilisation and Degradation. In Foundations of Biomaterials Engineering; Tanzi, M.C., Farè, S., Candiani, G., Eds.; Academic Press: Cambridge, MA, USA, 2019; pp. 289–328. ISBN 978-0-08-101034-1. [Google Scholar]
- Musculoskeletal Key Patterns of Wear in Total Knee Replacement. Available online: https://musculoskeletalkey.com/patterns-of-wear-in-total-knee-replacement/ (accessed on 6 December 2022).
- Mistras Group Physical Acoustics–AE Inspection Equipment|MISTRAS United Kingdom. Available online: https://www.mistrasgroup.com/united-kingdom/how-we-help/equipment/ae/ (accessed on 6 December 2022).
- Nsugbe, E.; Phillips, C.; Fraser, M.; McIntosh, J. Gesture Recognition for Transhumeral Prosthesis Control Using EMG and NIR. IET Cyber-Syst. Robot. 2020, 2, 122–131. [Google Scholar] [CrossRef]
- Nsugbe, E.; Samuel, O.W.; Asogbon, M.G.; Li, G. Phantom Motion Intent Decoding for Transhumeral Prosthesis Control with Fused Neuromuscular and Brain Wave Signals. IET Cyber-Syst. Robot. 2021, 3, 77–88. [Google Scholar] [CrossRef]
- Nsugbe, E.; Obajemu, O.; Samuel, O.W.; Sanusi, I. Application of Noninvasive Magnetomyography in Labour Imminency Prediction for Term and Preterm Pregnancies and Ethnicity Specific Labour Prediction. Mach. Learn. Appl. 2021, 5, 100066. [Google Scholar] [CrossRef]
- Nsugbe, E.; Al-Timemy, A.H. Shoulder Girdle Recognition Using Electrophysiological and Low-Frequency Anatomical Contraction Signals for Prosthesis Control. CAAI Trans. Intell. Technol. 2021. [Google Scholar] [CrossRef]
- Andén, J.; Mallat, S. Deep Scattering Spectrum. IEEE Trans. Signal Process. 2014, 62, 4114–4128. [Google Scholar] [CrossRef]
- Bryan, K.J.; Smith, K.E.; Solomon, M.L.; Clauter, D.A.; Smith, A.O.; Peter, A.M. Deep Wavelet Scattering Features for Infrasonic Threat Identification. In Proceedings of the Chemical, Biological, Radiological, Nuclear, and Explosives (CBRNE) Sensing XIX, Orlando, FL, USA, 16 May 2018; SPIE: Bellingham, DC, USA, 2018; Volume 10629, pp. 125–135. [Google Scholar]
- Oyallon, E.; Mallat, S.; Sifre, L. Generic Deep Networks with Wavelet Scattering. arXiv 2014, arXiv:1312.5940. [Google Scholar]
- Wavelet Scattering. Available online: https://uk.mathworks.com/help/wavelet/ug/wavelet-scattering.html (accessed on 1 January 2022).
- Mallat, S. Group Invariant Scattering. Commun. Pure Appl. Math. 2012, 65, 1331–1398. [Google Scholar] [CrossRef]
- Nsugbe, E. On the Application of Metaheuristics and Deep Wavelet Scattering Decompositions for the Prediction of Adolescent Psychosis Using EEG Brain Wave Signals. Digit. Technol. Res. Appl. 2022, 1, 9–24. [Google Scholar] [CrossRef]
- Charbuty, B.; Abdulazeez, A. Classification Based on Decision Tree Algorithm for Machine Learning. J. Appl. Sci. Technol. Trends 2021, 2, 20–28. [Google Scholar] [CrossRef]
- Rapid Miner Naive Bayes (Kernel)-RapidMiner Documentation. Available online: https://docs.rapidminer.com/latest/studio/operators/modeling/predictive/bayesian/naive_bayes_kernel.html (accessed on 6 December 2022).
- Nsugbe, E.; Williams Samuel, O.; Asogbon, M.G.; Li, G. Contrast of Multi-Resolution Analysis Approach to Transhumeral Phantom Motion Decoding. CAAI Trans. Intell. Technol. 2021, 6, 360–375. [Google Scholar] [CrossRef]
- Zhang, S.; Li, X.; Zong, M.; Zhu, X.; Cheng, D. Learning k for KNN Classification. ACM Trans. Intell. Syst. Technol. 2017, 8, 43:1–43:19. [Google Scholar] [CrossRef]
- Fox, L.; Mayers, D.F. Algorithms. In Numerical Solution of Ordinary Differential Equations; Springer: Dordrecht, The Netherlands, 1987; pp. 198–211. ISBN 978-94-010-7907-5. [Google Scholar]
- Jong, K.; Mary, J.; Cornuéjols, A.; Marchiori, E.; Sebag, M. Ensemble Feature Ranking. In Proceedings of the Knowledge Discovery in Databases: PKDD 2004; Boulicaut, J.-F., Esposito, F., Giannotti, F., Pedreschi, D., Eds.; Springer: Berlin/Heidelberg, Germany, 2004; pp. 267–278. [Google Scholar]
- Spolaôr, N.; Cherman, E.A.; Monard, M.C.; Lee, H.D. ReliefF for Multi-Label Feature Selection. In Proceedings of the 2013 Brazilian Conference on Intelligent Systems, Fortaleza, Brazil, 19–24 October 2013; pp. 6–11. [Google Scholar]
- Berner, E.S. Clinical Decision Support Systems: Theory and Practice. In Health Informatics, 2nd ed.; Springer: New York, NY, USA, 2007; ISBN 978-0-387-38319-4. [Google Scholar]
- Majumder, S.; Mondal, T.; Deen, M.J. Wearable Sensors for Remote Health Monitoring. Sensors 2017, 17, 130. [Google Scholar] [CrossRef]
- Li, H.-X.; Yang, J.-L.; Zhang, G.; Fan, B. Probabilistic Support Vector Machines for Classification of Noise Affected Data. Inf. Sci. 2013, 221, 60–71. [Google Scholar] [CrossRef]
- Papcun, P.; Kajáti, E.; Koziorek, J. Human Machine Interface in Concept of Industry 4.0. In Proceedings of the 2018 World Symposium on Digital Intelligence for Systems and Machines (DISA), Kosice, Slovakia, 23–25 August 2018; pp. 289–296. [Google Scholar]
- Nsugbe, E. Particle Size Distribution Estimation of a Powder Agglomeration Process Using Acoustic Emissions. Ph.D. Thesis, Cranfield University, Cranfield, UK, 2017. [Google Scholar]
- Nsugbe, E.; Ruiz-Carcel, C.; Starr, A.; Jennions, I. Estimation of Fine and Oversize Particle Ratio in a Heterogeneous Compound with Acoustic Emissions. Sensors 2018, 18, 851. [Google Scholar] [CrossRef]
- Nsugbe, E.; Starr, A.; Jennions, I.K.; Ruiz-Cárcel, C. Particle Size Distribution Estimation of a Mixture of Regular and Irregular Sized Particles Using Acoustic Emissions. Procedia Manuf. 2017, 11, 2252–2259. [Google Scholar] [CrossRef]















| Feature | Characteristic | Parameters (Where Necessary) | References |
|---|---|---|---|
|
|
| [24,25,26,27] |
|
|
| |
|
|
| |
|
|
| |
|
|
| |
|
|
| |
|
|
| |
|
|
| |
|
|
| |
|
|
| |
|
|
| |
|
|
| |
|
|
| |
|
|
| |
|
|
| |
|
|
|
| Model | Raw Features (%) | DWS (%) |
|---|---|---|
| DT | 82 | 98 |
| LDA | 100 | 98 |
| KNB | 78 | 99 |
| LSVM | 94 | 99 |
| QSVM | 94 | 99 |
| CSVM | 96 | 100 |
| FGSVM | 90 | 87 |
| MGSVM | 96 | 98 |
| CGSVM | 92 | 91 |
| FKNN | 96 | 100 |
| MKNN | 80 | 98 |
| CKNN | 82 | 98 |
| Mean across all models | 90 ± 7.16 | 97 ± 3.77 |
| Handcrafted Features | DWS |
|---|---|
|
|
|
|
|
|
|
|
|
|
| Feature Ranking Results |
|---|
| (1) Peak Frequency (2) Median Frequency (3) Detrended Fluctuation Analysis (4) Higuchi Fractal Dimension (5) Slope Sign Change |
Disclaimer/Publisher’s Note: The statements, opinions and data contained in all publications are solely those of the individual author(s) and contributor(s) and not of MDPI and/or the editor(s). MDPI and/or the editor(s) disclaim responsibility for any injury to people or property resulting from any ideas, methods, instructions or products referred to in the content. |
© 2023 by the authors. Licensee MDPI, Basel, Switzerland. This article is an open access article distributed under the terms and conditions of the Creative Commons Attribution (CC BY) license (https://creativecommons.org/licenses/by/4.0/).
Share and Cite
Nsugbe, E.; Olorunlambe, K.; Dearn, K. On the Early and Affordable Diagnosis of Joint Pathologies Using Acoustic Emissions, Deep Learning Decompositions and Prediction Machines. Sensors 2023, 23, 4449. https://doi.org/10.3390/s23094449
Nsugbe E, Olorunlambe K, Dearn K. On the Early and Affordable Diagnosis of Joint Pathologies Using Acoustic Emissions, Deep Learning Decompositions and Prediction Machines. Sensors. 2023; 23(9):4449. https://doi.org/10.3390/s23094449
Chicago/Turabian StyleNsugbe, Ejay, Khadijat Olorunlambe, and Karl Dearn. 2023. "On the Early and Affordable Diagnosis of Joint Pathologies Using Acoustic Emissions, Deep Learning Decompositions and Prediction Machines" Sensors 23, no. 9: 4449. https://doi.org/10.3390/s23094449
APA StyleNsugbe, E., Olorunlambe, K., & Dearn, K. (2023). On the Early and Affordable Diagnosis of Joint Pathologies Using Acoustic Emissions, Deep Learning Decompositions and Prediction Machines. Sensors, 23(9), 4449. https://doi.org/10.3390/s23094449

