A Seawater Salinity Sensor Based on Optimized Long Period Fiber Grating in the Dispersion Turning Point
Abstract
1. Introduction
2. Related Work
2.1. Electrical Conductivity Measurement
2.2. Microwave Remote Sensing
2.3. Optical Fiber Sensors
2.3.1. Fiber Interferometer
2.3.2. SPR
2.3.3. FBG
2.3.4. LPFG
3. Materials and Methods
4. Results and Discussion
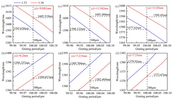
4.1. Conventional LPFG
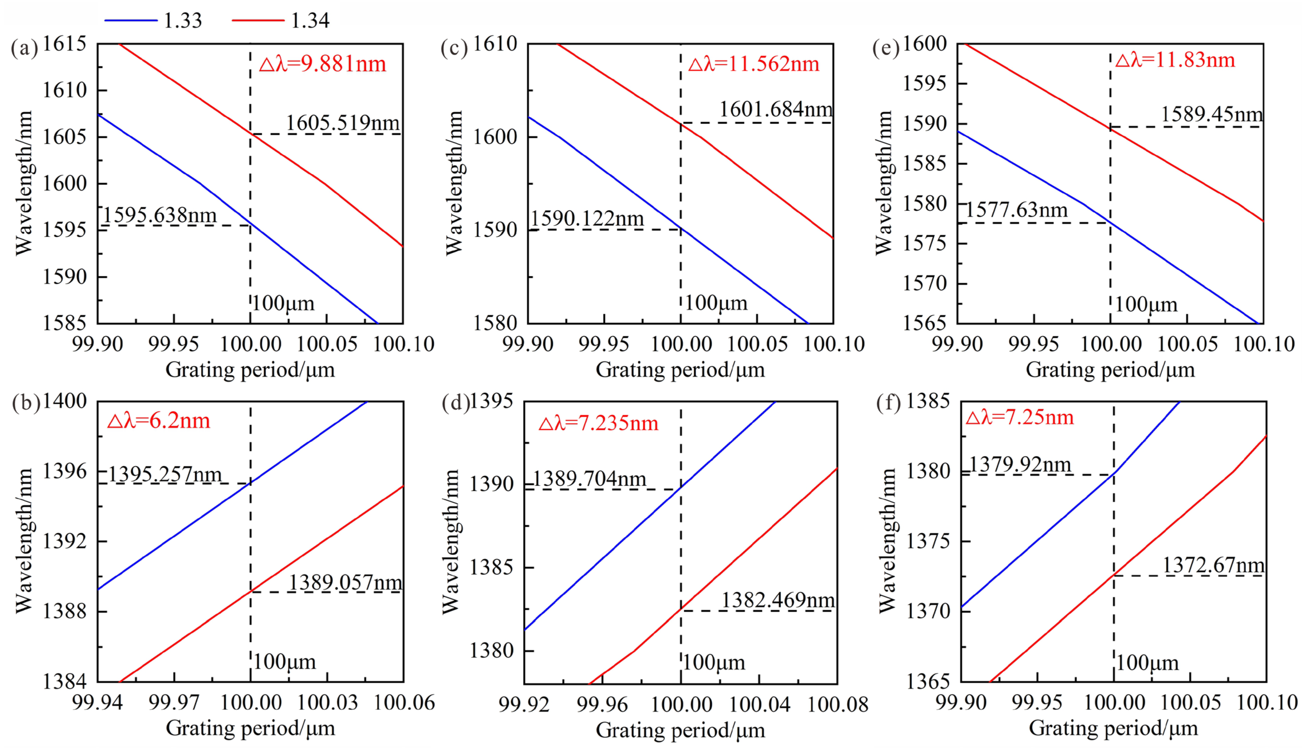
4.2. LPFG Working near DTP
4.3. Discussion
5. Conclusions
Author Contributions
Funding
Institutional Review Board Statement
Informed Consent Statement
Data Availability Statement
Conflicts of Interest
References
- Sohail, T.; Zika, J.D.; Irving, D.B.; Church, J.A. Observed poleward freshwater transport since 1970. Nature 2022, 602, 617–622. [Google Scholar] [CrossRef] [PubMed]
- Kim, H.; Son, Y.B.; Jeong, J.Y.; Jo, Y.H. Comparison of internal waves in various ocean fields around the korean peninsula. J. Coast. Res. 2018, 85, 466–470. [Google Scholar] [CrossRef]
- Silvy, Y.; Guilyardi, E.; Sallee, J.B.; Durack, P.J. Human-induced changes to the global ocean water masses and their time of emergence. Nat. Clim. Chang. 2020, 10, 1030–1036. [Google Scholar] [CrossRef]
- Li, G.C.; Cheng, L.J.; Zhu, J.; Trenberth, K.E.; Mann, M.E.; Abraham, J.P. Increasing ocean stratification over the past half-century. Nat. Clim. Chang. 2020, 10, 1116–1123. [Google Scholar] [CrossRef]
- Schmidt, H.; Seitz, S.; Hassel, E.; Wolf, H. The density-salinity relation of standard seawater. Ocean Sci. 2018, 14, 15–40. [Google Scholar] [CrossRef]
- Qian, Y.; Zhao, Y.; Wu, Q.L.; Yang, Y. Review of salinity measurement technology based on optical fiber sensor. Sens. Actuators B Chem. 2018, 260, 86–105. [Google Scholar] [CrossRef]
- Demir, O.; Johnson, J.T.; Jezek, K.C.; Brogioni, M.; Macelloni, G.; Kaleschke, L.; Brucker, L. Studies of sea-ice thickness and salinity retrieval using 0.5–2 GHz microwave radiometry. IEEE Trans. Geosci. Remote Sens. 2022, 60, 4304412. [Google Scholar] [CrossRef]
- Cox, R.A.; Culkin, F.; Riley, J.P. The electrical conductivity/chlorinity relationship in natural sea water. Deep Sea Res. Part I Oceanogr. Res. Pap. 1967, 14, 203–220. [Google Scholar] [CrossRef]
- Dinnat, E.P.; Le Vine, D.M.; Boutin, J.; Meissner, T.; Lagerloef, G. Remote sensing of sea surface salinity: Comparison of satellite and in situ observations and impact of retrieval parameters. Remote Sens. 2019, 11, 750. [Google Scholar] [CrossRef]
- Zhou, Y.; Lang, R.H.; Dinnat, E.P.; Le Vine, D.M. Seawater debye model function at L-band and its impact on salinity retrieval from aquarius satellite data. IEEE Geosci. Remote Sens. Lett. 2021, 59, 8103–8116. [Google Scholar] [CrossRef]
- Liang, H.L.; Wang, J.; Zhang, L.H.; Liu, J.C.; Wang, S.S. Review of optical fiber sensors for temperature, salinity, and pressure sensing and measurement in seawater. Sensors 2022, 22, 5363. [Google Scholar] [CrossRef]
- Quan, X.; Fry, E.S. Empirical equation for the index of refraction of seawater. Appl. Opt. 1995, 34, 3477–3480. [Google Scholar] [CrossRef]
- Wang, X.; Wang, J.; Wang, S.S.; Liao, Y.P. Fiber-optic salinity sensing with a panda-microfiber-based multimode interferometer. J. Light. Technol. 2017, 35, 5086–5091. [Google Scholar] [CrossRef]
- Lin, Z.T.; Lv, R.Q.; Zhao, Y.; Zheng, H.K.; Wang, X.X. High-sensitivity special open-cavity Mach-Zehnder structure for salinity measurement based on etched double-side hole fiber. Opt. Lett. 2021, 46, 2714–2717. [Google Scholar] [CrossRef]
- Zheng, H.K.; Zhao, Y.; Lv, R.Q.; Lin, Z.T.; Wang, X.X.; Zhou, Y.F.; Hu, X.G. Study on the temperature and salinity sensing characteristics of multifunctional reflective optical fiber probe. IEEE Trans. Instrum. Meas. 2021, 70, 9514308. [Google Scholar] [CrossRef]
- Zhao, Y.; Wu, Q.L.; Zhang, Y.N. Simultaneous measurement of salinity, temperature and pressure in seawater using optical fiber SPR sensor. Measurement 2019, 148, 106792. [Google Scholar] [CrossRef]
- Siyu, E.; Zhang, Y.N.; Han, B.; Zheng, W.L.; Wu, Q.L.; Zheng, H.K. Two-channel surface plasmon resonance sensor for simultaneous measurement of seawater salinity and temperature. IEEE Trans. Instrum. Meas. 2020, 69, 7191–7199. [Google Scholar] [CrossRef]
- Yang, M.S.; Zhu, Y.L.; An, R. Underwater fiber-optic salinity and pressure sensor based on surface plasmon resonance and multimode interference. Appl. Opt. 2021, 60, 9352–9357. [Google Scholar] [CrossRef]
- Sun, M.Y.; Jiang, H.T.; Shi, B.; Zhou, G.Y.; Inyang, H.I.; Feng, C.X. Development of FBG salinity sensor coated with lamellar polyimide and experimental study on salinity measurement of gravel aquifer. Measurement 2019, 140, 526–537. [Google Scholar] [CrossRef]
- Kumari, C.R.U.; Samiappan, D.; Kumar, R.; Sudhakar, T. Development of a highly accurate and fast responsive salinity sensor based on Nuttall apodized fiber Bragg grating coated with hygroscopic polymer for ocean observation. Opt. Fiber Technol. 2019, 53, 102036. [Google Scholar] [CrossRef]
- Yang, F.; Sukhishvili, S.; Du, H.; Tian, F. Marine salinity sensing using long-period fiber gratings enabled by stimuli-responsive polyelectrolyte multilayers. Sens. Actuators B Chem. 2017, 253, 745–751. [Google Scholar] [CrossRef]
- Yang, F.; Hlushko, R.; Wu, D.; Sukhishvili, S.A.; Du, H.; Tian, F. Ocean salinity sensing using long-period fiber gratings functionalized with layer-by-layer hydrogels. ACS Omega 2019, 4, 2134–2141. [Google Scholar] [CrossRef] [PubMed]
- Zhao, S.; Du, C.; Wang, Q.; Jia, B.; Zhang, L.; Cui, L.; Deng, X.; Chen, S. A long period fiber grating seawater salinity sensor based on bend insensitive single mode fiber. Opt. Fiber Technol. 2023, 77, 103269. [Google Scholar] [CrossRef]
- Del Villar, I. Ultrahigh-sensitivity sensors based on thin-film coated long period gratings with reduced diameter, in transition mode and near the dispersion turning point. Opt. Express 2015, 23, 8389–8398. [Google Scholar] [CrossRef]
- Cho, Y.; Ahmed, F.; Joe, H.E.; Yun, H.; Min, B.K.; Jun, M.B.G. Fabrication of a screw-shaped long-period fiber grating for refractive index sensing. IEEE Photonics Technol. Lett. 2017, 29, 2242–2245. [Google Scholar] [CrossRef]
- Dong, X.R.; Xie, Z.; Song, Y.X.; Yin, K.; Chu, D.K.; Duan, J.A. High temperature-sensitivity sensor based on long period fiber grating inscribed with femtosecond laser transversal-scanning method. Chin. Opt. Lett. 2017, 15, 090602. [Google Scholar] [CrossRef]
- Colaco, C.; Caldas, P.; Del Villar, I.; Chibante, R.; Rego, G. Arc-induced long-period fiber gratings in the dispersion turning points. J. Light. Technol. 2016, 34, 4584–4590. [Google Scholar] [CrossRef]
- Xu, X.; Lu, C.P.; Jin, X.R.; Lv, M.Y.; Sun, C.T.; Yan, Q.; Zhang, S.; Wang, J.B.; Rui, Z.J.; Xiang, Z.H.; et al. A vector bending sensor based on a core-offset long period fiber grating induced by an arc-discharge. IEEE Sens. J. 2021, 21, 24129–24133. [Google Scholar] [CrossRef]
- Janczuk-Richter, M.; Dominik, M.; Razniecka, E.; Koba, M.; Mikulic, P.; Bock, W.J.; Los, M.; Smietana, M.; Niedziolka-Jonsson, J. Long-period fiber grating sensor for detection of viruses. Sens. Actuators B Chem. 2017, 250, 32–38. [Google Scholar] [CrossRef]
- Smietana, M.; Dominik, M.; Mikulic, P.; Bock, W.J. Temperature and refractive index sensing with Al2O3-nanocoated long -period gratings working at dispersion turning point. Opt. Laser Technol. 2018, 107, 268–273. [Google Scholar] [CrossRef]
- Del Villar, I.; Fuentes, O.; Chiavaioli, F.; Corres, J.M.; Matias, I.R. Optimized strain long-period fiber grating (LPFG) sensors operating at the dispersion turning point. J. Light. Technol. 2018, 36, 2240–2247. [Google Scholar] [CrossRef]
- Wang, S.Y.; Ma, Y.W.; Geng, T.; Sun, C.T.; Zhu, H.J.; Li, X.Y.; Yi, Y.; Zhang, S.; Sun, W.M.; Yuan, L.B. Compact fiber strain sensor fabricated by a CO2 laser. Opt. Lett. 2020, 45, 4156–4159. [Google Scholar] [CrossRef]
- Zhao, J.; Xu, J.S.; Wang, C.X.; Feng, M.; Zheng, Y.; Wang, T.; Wang, Z. Critical grating period behavior of a sensitivity enhanced LPFG sensor written in a few-mode fiber. Opt. Commun. 2021, 490, 126904. [Google Scholar] [CrossRef]
- Pawlowicz, R.; Feistel, R.; McDougall, T.J.; Ridout, P.; Seitz, S.; Wolf, H. Metrological challenges for measurements of key climatological observables Part 2: Oceanic salinity. Metrologia 2016, 53, R12–R25. [Google Scholar] [CrossRef]
- Parra, L.; Viciano-Tudela, S.; Carrasco, D.; Sendra, S.; Lloret, J. Low-cost microcontroller-based multiparametric probe for coastal area monitoring. Sensors 2023, 23, 1871. [Google Scholar] [CrossRef]
- Le Vine, D.M.; Dinnat, E.P. Sensitivity of wide bandwidth radiometer for remote sensing of ocean salinity. IEEE Trans. Geosci. Remote Sens. 2022, 60, 1–17. [Google Scholar] [CrossRef]
- Zhao, J.; Zhao, Y.; Cai, L. Hybrid fiber-optic sensor for seawater temperature and salinity simultaneous measurements. J. Light. Technol. 2022, 40, 880–886. [Google Scholar] [CrossRef]
- Zhao, Y.; Wu, Q.-L.; Zhang, Y.-N. Theoretical analysis of high-sensitive seawater temperature and salinity measurement based on C-type micro-structured fiber. Sens. Actuators B Chem. 2018, 258, 822–828. [Google Scholar] [CrossRef]
- Yang, X.; Wang, Z.; Liu, Y.; Yao, J. SPR sensor based on exposed core micro-structured optical fiber for salinity detection with temperature self-compensation. Opt. Mater. Express 2021, 11, 2468–2477. [Google Scholar] [CrossRef]
- Raghuwanshi, S.K.; Singh, Y.; Pandey, P.S.; Kumar, R. Sensitivity analysis of HF etched uniformly thinned α-power refractive index profile fiber bragg grating sensor. IEEE Trans. Instrum. Meas. 2021, 70, 1–9. [Google Scholar] [CrossRef]
- Dey, T.K.; Tombelli, S.; Biswas, P.; Giannetti, A.; Basumallick, N.; Baldini, F.; Bandyopadhyay, S.; Trono, C. Analysis of the lowest order cladding mode of long period fiber gratings near turn around point. J. Light. Technol. 2021, 39, 4006–4012. [Google Scholar] [CrossRef]
- Viveiros, D.; de Almeida, J.; Coelho, L.; Vasconcelos, H.; Maia, J.M.; Amorim, V.A.; Jorge, P.A.S.; Marques, P.V.S. Turn around point long period fiber gratings with coupling to asymmetric cladding modes fabricated by a femtosecond laser and coated with titanium dioxide. J. Light. Technol. 2021, 39, 4784–4793. [Google Scholar] [CrossRef]
- Du, C.; Wang, Q.; Zhao, Y.; Hu, S. Ultrasensitive long-period gratings sensor works near dispersion turning point and mode transition region by optimally designing a photonic crystal fiber. Opt. Laser Technol. 2019, 112, 261–268. [Google Scholar] [CrossRef]
- Jian, P.S.; Smela, E. Modeling the performance of a long-period Bragg grating ambient-index sensor. Smart Mater. Struct. 2006, 15, 821–828. [Google Scholar] [CrossRef]
- Shu, X.; Lin, Z.; Bennion, I. Sensitivity characteristics of long-period fiber gratings. J. Light. Technol. 2002, 20, 255–266. [Google Scholar]
- Shu, X.; Zhu, X.; Jiang, S.; Shi, W.; Huang, D. High sensitivity of dual resonant peaks of long-period fibre grating to surrounding refractive index changes. Electron. Lett. 1999, 35, 1580–1581. [Google Scholar] [CrossRef]
- Jin, L.; Jin, W.; Ju, J.; Wang, Y. Coupled local-mode theory for strongly modulated long period gratings. J. Light. Technol. 2010, 28, 1745–1751. [Google Scholar]
- Zhong, X.Y.; Wang, Y.P.; Liao, C.R.; Yin, G.L.; Zhou, J.T.; Wang, G.J.; Sun, B.; Tang, J. Long period fiber gratings inscribed with an improved two-dimensional scanning technique. IEEE Photonics J. 2014, 6, 2201508. [Google Scholar]
- Smietana, M.; Koba, M.; Brzozowska, E.; Krogulski, K.; Nakonieczny, J.; Wachnicki, L.; Mikulic, P.; Godlewski, M.; Bock, W.J. Label-free sensitivity of long-period gratings enhanced by atomic layer deposited TiO2 nanooverlays. Opt. Express 2015, 23, 8441–8453. [Google Scholar] [CrossRef]
- Del Villar, I.; Cruz, J.L.; Socorro, A.B.; Corres, J.M.; Matias, I.R. Sensitivity optimization with cladding-etched long period fiber gratings at the dispersion turning point. Opt. Express 2016, 24, 17680–17685. [Google Scholar] [CrossRef]












| Fabrication Parameter | Value |
|---|---|
| Marking speed | 30 mm/s |
| Air jump speed | 1000 mm/s |
| Q-frequency | 20 kHz |
| Turn-on delay time | 100 μs |
| Turn-off delay time | 100 μs |
| Jump delay time | 300 μs |
| Corner delay time | 10 μs |
| Fabrication Process | Cladding Diameter (μm) | Sensitivity (nm/‰) | Sensitivity (nm/RIU) | Range | Reference |
|---|---|---|---|---|---|
| 1. CO2 laser writing 2. Coating with polyelectrolyte | 125 | 0.612 | ~ | 29.25–46.8‰ | [21] |
| 1. CO2 laser writing 2. Coating with hydrogel | 125 | 0.1255 | ~ | 22.8–44.7‰ | [22] |
| 1. Femtosecond laser writing 2. Coating with TiO2 | 125 | ~ | 3157.7 | 1.33–1.37 | [42] |
| 4294.5 | 1.33–1.34 | ||||
| 1. KrF excimer laser with amplitude mask writing 2. HF solutions etching 3. Coating with TiO2 | Less than 125 | ~ | 6200 | Close to 1.3400 | [49] |
| 4300 | 1.36–1.41 | ||||
| 1. Doubled argon laser writing 2. HF solutions etching | 71.75 | ~ | 1343 | 1.353–1.398 | [50] |
| 32.5 | 8734 | ||||
| Theoretical work: 1. HF solutions etching | 29.24 | ~ | 3750 | 1.33–1.35 | [24] |
| 1. HF solutions etching 2. Coating with thin-film | 34.8 | ~ | 143,000 | 1.33–1.331 | |
| Arc inducing | 125 | ~ | 720 | 1.33–1.42 | [27] |
| 1. CO2 laser writing 2. HF solutions etching | 57.14 | 0.571 | 3483.4 | 5.001–39.996‰ (1.33301–1.33889) | This work |
Disclaimer/Publisher’s Note: The statements, opinions and data contained in all publications are solely those of the individual author(s) and contributor(s) and not of MDPI and/or the editor(s). MDPI and/or the editor(s) disclaim responsibility for any injury to people or property resulting from any ideas, methods, instructions or products referred to in the content. |
© 2023 by the authors. Licensee MDPI, Basel, Switzerland. This article is an open access article distributed under the terms and conditions of the Creative Commons Attribution (CC BY) license (https://creativecommons.org/licenses/by/4.0/).
Share and Cite
Du, C.; Zhao, S.; Wang, Q.; Jia, B.; Zhao, M.; Zhang, L.; Cui, L.; Chen, S.; Deng, X. A Seawater Salinity Sensor Based on Optimized Long Period Fiber Grating in the Dispersion Turning Point. Sensors 2023, 23, 4435. https://doi.org/10.3390/s23094435
Du C, Zhao S, Wang Q, Jia B, Zhao M, Zhang L, Cui L, Chen S, Deng X. A Seawater Salinity Sensor Based on Optimized Long Period Fiber Grating in the Dispersion Turning Point. Sensors. 2023; 23(9):4435. https://doi.org/10.3390/s23094435
Chicago/Turabian StyleDu, Chao, Shuang Zhao, Qiuyu Wang, Bin Jia, Mingzhe Zhao, Li Zhang, Liqin Cui, Shizhe Chen, and Xiao Deng. 2023. "A Seawater Salinity Sensor Based on Optimized Long Period Fiber Grating in the Dispersion Turning Point" Sensors 23, no. 9: 4435. https://doi.org/10.3390/s23094435
APA StyleDu, C., Zhao, S., Wang, Q., Jia, B., Zhao, M., Zhang, L., Cui, L., Chen, S., & Deng, X. (2023). A Seawater Salinity Sensor Based on Optimized Long Period Fiber Grating in the Dispersion Turning Point. Sensors, 23(9), 4435. https://doi.org/10.3390/s23094435

