Development of an HTS-SQUID-Based Receiver for Long-Range Magnetic Induction Communication in Extreme Environments
Abstract
1. Introduction
2. MI Communication Employing HTS SQUID Sensor
2.1. Conceptual Scheme Design
2.2. Receiver Noise Model
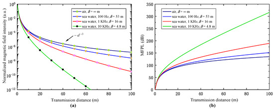
2.3. Channel and Communication Range Evaluation
3. System Implementation
3.1. HTS SQUID Module
3.2. Flux Transformer
3.3. Transmitter System
4. Results and Discussion
4.1. Experimental Verification of Receiver Prototype
4.1.1. Noise Characterization
4.1.2. Reception Experiments
4.2. Simulation Investigations for Receiver Optimization
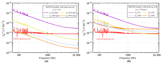
4.2.1. Sensitivity Optimization
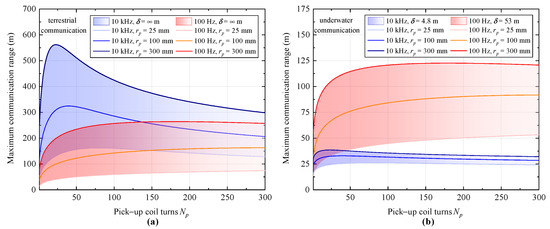
4.2.2. Communication Range Evaluation
5. Conclusions
Author Contributions
Funding
Institutional Review Board Statement
Informed Consent Statement
Data Availability Statement
Acknowledgments
Conflicts of Interest
References
- Archer, D.G.; Wang, P.-M. The Dielectric Constant of Water and Debye Hückel Limiting Law Slopes. J. Phys. Chem. Ref. Data 1990, 19, 371–411. [Google Scholar] [CrossRef]
- Li, Y.-Z.; Wang, S.-N.; Chen, J.; Zhang, Y.; Jiang, T. A Survey of Underwater Magnetic Induction Communications: Fundamental Issues, Recent Advances, and Challenges. IEEE Commun. Surv. Tutor. 2019, 21, 2466–2487. [Google Scholar] [CrossRef]
- Akyildiz, I.F.; Wang, P.; Sun, Z. Realizing Underwater Communication through Magnetic Induction. IEEE Commun. Mag. 2015, 53, 42–48. [Google Scholar] [CrossRef]
- Sharma, A.K.; Yadav, S.; Dandu, S.N.; Kumar, V.; Sengupta, J.; Dhok, S.B.; Kumar, S. Magnetic Induction-Based Non-Conventional Media Communications: A Review. IEEE Sens. J. 2017, 17, 926–940. [Google Scholar] [CrossRef]
- Canales-Gómez, G.; León-Gónzalez, G.; Jorge-Muñoz, N.; Arroyo-Núñez, J.H.; Antonio-Yañez, E.D.; Núñez-Cruz, R.S. Communication System Based on Magnetic Coils for Underwater Vehicles. Sensors 2022, 22, 8183. [Google Scholar] [CrossRef] [PubMed]
- Guo, H.Z. Performance Analysis of Near-Field Magnetic Induction Communication in Extreme Environments. Prog. Electromagn. Res. Lett. 2020, 90, 77–83. [Google Scholar] [CrossRef]
- Domingo, M.C. Magnetic Induction for Underwater Wireless Communication Networks. IEEE Trans. Antennas Propag. 2012, 60, 2929–2939. [Google Scholar] [CrossRef]
- Telford, W.M.; Geldart, L.P.; Sheriff, R.E.B. Applied Geophysics, 2nd ed.; Cambridge University Press: Cambridge, UK, 1990; p. 291. [Google Scholar]
- Abrudan, T.E.; Kypris, O.; Trigoni, N.; Markham, A.A. Impact of Rocks and Minerals on Underground Magneto-Inductive Communication and Localization. IEEE Access 2016, 4, 3999–4010. [Google Scholar] [CrossRef]
- Kisseleff, S.; Akyildiz, I.F.; Gerstacker, W.H. Digital Signal Transmission in Magnetic Induction Based Wireless Underground Sensor Networks. IEEE Trans. Commun. 2015, 63, 2300–2311. [Google Scholar] [CrossRef]
- Guo, H.Z.; Sun, Z.; Sun, J.B.; Litchinitser, N.M. M2I: Channel Modeling for Metamaterial-Enhanced Magnetic Induction Communications. IEEE Trans. Antennas Propag. 2015, 63, 5072–5087. [Google Scholar] [CrossRef]
- Ishtiaq, M.; Hwang, S.H. Performance Analysis of Multihop Underground Magnetic Induction Communication. Electronics 2021, 10, 1255. [Google Scholar] [CrossRef]
- Hott, M.; Hoeher, P.A.; Reinecke, S.F. Magnetic Communication Using High-Sensitivity Magnetic Field Detectors. Sensors 2019, 19, 3415. [Google Scholar] [CrossRef] [PubMed]
- Hott, M.; Hoeher, P.A. Underwater Communication Employing High-Sensitive Magnetic Field Detectors. IEEE Access 2020, 8, 177385–177394. [Google Scholar] [CrossRef]
- Kim, J.-Y.; Cho, I.-K.; Lee, H.J.; Lee, J.; Moon, J.-I.; Kim, S.-M.; Kim, S.-W.; Ahn, S.; Kim, K. A Novel Experimental Approach to the Applicability of High-Sensitivity Giant Magneto-Impedance Sensors in Magnetic Field Communication. IEEE Access 2020, 8, 193091–193101. [Google Scholar] [CrossRef]
- Kim, K.; Ryu, S.; Kim, J.-Y.; Cho, I.-K.; Lee, H.J.; Lee, J.; Ahn, S. Giant Magnetoimpedance Receiver with a Double-Superheterodyne Topology for Magnetic Communication. IEEE Access 2021, 9, 82903–82908. [Google Scholar] [CrossRef]
- Ryu, S.; Kim, K.; Kim, J.-Y.; Cho, I.-K.; Kim, H.; Ahn, J.; Choi, J.; Ahn, S. Design and Analysis of a Magnetic Field Communication System Using a Giant Magneto-Impedance Sensor. IEEE Access 2022, 10, 56961–56973. [Google Scholar] [CrossRef]
- Gerginov, V.; da Silva, F.C.S.; Howe, D. Prospects for Magnetic Field Communications and Location Using Quantum Sensors. Rev. Sci. Instrum. 2017, 88, 125005. [Google Scholar] [CrossRef]
- Clarke, J.; Braginski, A.I.B. (Eds.) The SQUID Handbook, Volume I; Wiley-VCH: Weinheim, Germany, 2004; pp. 29–92, 251–355. [Google Scholar]
- Anders, S.; Blamire, M.G.; Buchholz, F.-I.; Crété, D.-G.; Cristiano, R.; Febvre, P.; Fritzsch, L.; Herr, A.; Il’ichev, E.; Kohlmann, J.; et al. European Roadmap On Superconductive Electronics—Status and Perspectives. Physica C 2010, 470, 2079–2126. [Google Scholar] [CrossRef]
- APfeiffer, C.; Ruffieux, S.; Jönsson, L.; Chukharkin, M.L.; Kalaboukhov, A.; Xie, M.S.; Winkler, D.; Schneiderman, J.F. A 7-Channel High-Tc SQUID-Based On-Scalp MEG System. IEEE Trans. Biomed. Eng. 2020, 67, 1483–1489. [Google Scholar] [CrossRef]
- Faley, M.I.; Kostyurina, E.A.; Kalashnikov, K.V.; Maslennikov, Y.V.; Koshelets, V.P.; Dunin-Borkowski, R.E. Superconducting Quantum Interferometers for Nondestructive Evaluation. Sensors 2017, 17, 2798. [Google Scholar] [CrossRef]
- Asztalos, S.J.; Carosi, G.; Hagmann, C.; Kinion, D.; van Bibber, K. SQUID-Based Microwave Cavity Search for Dark-Matter Axions. Phys. Rev. Lett. 2010, 104, 041301. [Google Scholar] [CrossRef] [PubMed]
- Clarke, J.; Braginski, A.I.B. (Eds.) The SQUID Handbook, Volume II; Wiley-VCH: Weinheim, Germany, 2006; pp. 481–544. [Google Scholar]
- Tanaka, S.; Narita, Y.; Ohtani, T.; Ariyoshi, S.; Suzuki, S. Development of Metallic Contaminant Detection System Using RF High-Tc SQUID with Cu Pickup coil. IEEE Trans. Appl. Supercond. 2017, 27, 1600304. [Google Scholar] [CrossRef]
- Barone, A.; Paterno, G.B. Physics and Applications of the Josephson Effect; Wiley: New York, NY, USA, 1982; pp. 383–445. [Google Scholar]
- Beckmann, H.W.B. Friedrich Tabellenbuch Elektrotechnik/Elektronik; Ferd. Dümmlers Verlag: Berlin, Germany, 1998; pp. 553–579. [Google Scholar]
- Desurvire, E.B. Classical and Quantum Information Theory; Cambridge University Press: Cambridge, UK, 2009; pp. 264–282. [Google Scholar]
- Li, Y.-L.; Xu, T.-Q.; Wang, H.-Z.; Linghu, K.-H.; Huang, Z.-G.; Wang, Y.; Wang, F.-R.; Gan, Z.-Z. Preparation of High Quality Factor Dielectric Resonators for Low-Noise YBa2Cu3O7-δ Radio Frequency Superconducting Quantum Interference Devices. Physica C 2023, 604, 1354178. [Google Scholar] [CrossRef]
- Wang, H.-Z.; Li, Y.-L.; Xu, T.-Q.; Zhu, Z.-Q.; Ma, P.; Wang, Y.; Gan, Z.-Z. Fabrication and Characterization of YBa2Cu3O7-δ Step-Edge Josephson Junctions On MgO Substrate for High-Temperature Superconducting Quantum Interference Devices. Acta Phys. Sin. 2021, 70, 037401. [Google Scholar] [CrossRef]
- Wang, J.-M.; Li, Y.-L.; Wang, H.-Z.; Xu, T.-Q.; Ma, P.; Wang, Y. Fabrication and Characterization of Radio Frequency SQUIDs with Step-Edge Josephson Junctions On LSAT Substrates. Low. Temp. Phys. Lett. 2021, 43, 0089. [Google Scholar] [CrossRef]
- Liu, Z.-H.; Wei, Y.-K.; Wang, D.; Zhang, C.; Ma, P.; Wang, Y. Fabrication and Properties of High Performance YBa2Cu3O7-δ Radio Frequency SQUIDs with Step-Edge Josephson Junctions. Chin. Phys. B 2014, 23, 097401. [Google Scholar] [CrossRef]
- Wheeler, H.A. Inductance Formulas for Circular and Square Coils. P IEEE 1982, 70, 1449–1450. [Google Scholar] [CrossRef]
- Gu, H.-F.; Cai, W.-Y.; Wei, Y.-K.; Liu, Z.-H.; Wang, Q.; Wang, Y.; Dai, Y.-D.; Ma, P. Measurements, Characteristics, And Origin of New Electromagnetic Interference On Magnetocardiographic Measurements. Chin. Phys. B 2012, 21, 040702. [Google Scholar] [CrossRef]








| Coil Parameters | Pick-up Coil | Input Coil | Transmitter (Squared Coil) |
|---|---|---|---|
| Radius | 25 mm | 10 mm | 500 mm |
| Coil turns | 10 | 100 | 3 |
| Wire diameters | 0.57 mm | 0.08 mm | - |
| Resistance | 0.1 | 2.6 (77 K) | 5 (300 K) |
| Inductance | 9.8 H | 0.3 mH | 15.7 H |
| Receiver Parameters | mm | mm | mm | |
|---|---|---|---|---|
| Optimum coil turns | 10 kHz | 80 | 30 | 15 |
| 1 kHz | 175 | 75 | 35 | |
| 100 Hz | 500 | 290 | 150 | |
| Optimum field sensitivity (fT/) | 10 kHz | 71.7 | 8.9 | 1.7 |
| 1 kHz | 140 | 16.5 | 3.3 | |
| 100 Hz | 640 | 82 | 20 | |
Disclaimer/Publisher’s Note: The statements, opinions and data contained in all publications are solely those of the individual author(s) and contributor(s) and not of MDPI and/or the editor(s). MDPI and/or the editor(s) disclaim responsibility for any injury to people or property resulting from any ideas, methods, instructions or products referred to in the content. |
© 2023 by the authors. Licensee MDPI, Basel, Switzerland. This article is an open access article distributed under the terms and conditions of the Creative Commons Attribution (CC BY) license (https://creativecommons.org/licenses/by/4.0/).
Share and Cite
Li, Y.; Xu, T.; Wang, Y.; Wang, F.; Gan, Z. Development of an HTS-SQUID-Based Receiver for Long-Range Magnetic Induction Communication in Extreme Environments. Sensors 2023, 23, 4434. https://doi.org/10.3390/s23094434
Li Y, Xu T, Wang Y, Wang F, Gan Z. Development of an HTS-SQUID-Based Receiver for Long-Range Magnetic Induction Communication in Extreme Environments. Sensors. 2023; 23(9):4434. https://doi.org/10.3390/s23094434
Chicago/Turabian StyleLi, Yulong, Tiequan Xu, Yue Wang, Furen Wang, and Zizhao Gan. 2023. "Development of an HTS-SQUID-Based Receiver for Long-Range Magnetic Induction Communication in Extreme Environments" Sensors 23, no. 9: 4434. https://doi.org/10.3390/s23094434
APA StyleLi, Y., Xu, T., Wang, Y., Wang, F., & Gan, Z. (2023). Development of an HTS-SQUID-Based Receiver for Long-Range Magnetic Induction Communication in Extreme Environments. Sensors, 23(9), 4434. https://doi.org/10.3390/s23094434

