Automatic Modulation Classification Using Hybrid Data Augmentation and Lightweight Neural Network
Abstract
1. Introduction
- A lightweight residual network based on complex-valued operations is proposed, named CVResNet, aiming to address the high computational effort and complexity of traditional non-lightweight networks.
- A hybrid data augmentation method is designed to compensate for the potential performance degradation caused by the lightweight network.
- Comparative experiments are conducted in the same scenario, and the results demonstrate that CVResNet can significantly reduce computational complexity and effort while achieving better classification performance.
2. Signal Model and Problem Formulation
2.1. Signal Model
2.2. System Model
3. Our Proposed AMC Method
3.1. Framework of the Proposed AMC Method
3.2. Details of the Lightweight CVResNet
3.2.1. Deep Residual Neural Network
3.2.2. Complex Convolution
3.2.3. Depthwise Separable Convolution
3.3. Hybrid Data Augmentation
3.3.1. Rotation
3.3.2. RandMix
3.4. Training Procedure
| Algorithm 1 Training procedure of the proposed AMC method. |
| Require: |
|
| Data augmentation: |
| 1: ; |
| Training procedure: |
| 2: for to do: |
| 3: for to do: |
| 4: Sample a batch training dataset from . |
| Forward propagation: |
| Evenly split . |
| 5: ; |
| Randomly mix . |
| 6: ; |
| Get the output of lightweight CVResNet. |
| 7: |
| Calculate the loss. |
| 8: |
| Backward propagation: |
| 9: |
| 10: end for |
| 11: end for |
| 12: end for |
| 13: end for |
4. Simulation Results and Analysis
4.1. Experiment Environment and Parameters
4.2. Simulation Results
4.2.1. Comparative Experiments
4.2.2. Classification Accuracy: Proposed Method vs. Comparative Methods
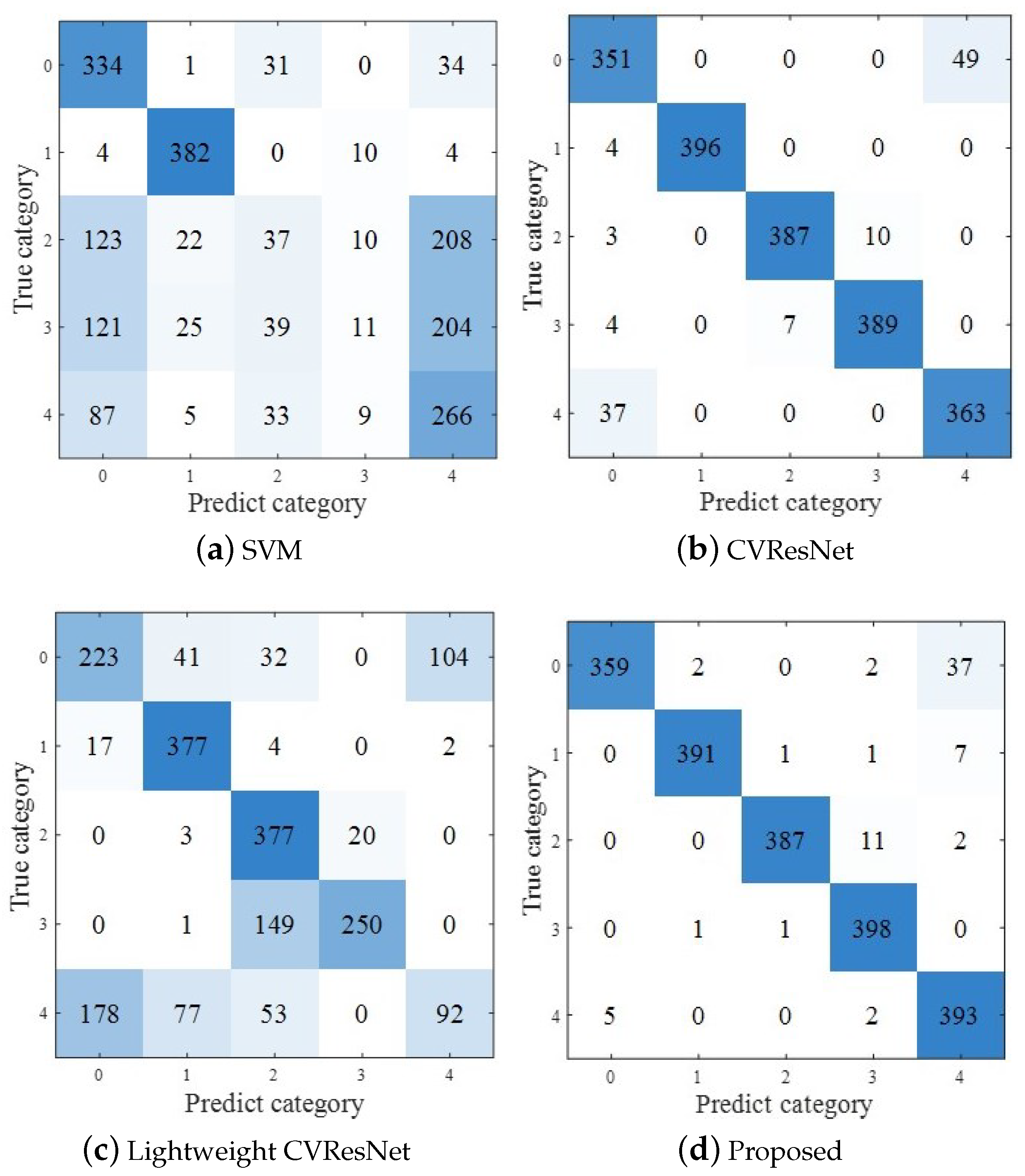
4.2.3. Confusion Matrix: Proposed Method vs. Comparative Methods
4.2.4. Ablation Experiments
4.2.5. Features Visualization
4.2.6. Complexity Analysis
5. Conclusions
Author Contributions
Funding
Institutional Review Board Statement
Informed Consent Statement
Data Availability Statement
Conflicts of Interest
References
- Huang, H.; Guo, S.; Gui, G.; Yang, Z.; Zhang, J.; Sari, H.; Adachi, F. Deep learning for physical-layer 5G wireless techniques: Opportunities, challenges and solutions. IEEE Wirel. Commun. 2020, 27, 214–222. [Google Scholar] [CrossRef]
- Guan, G.; Liu, M.; Tang, F.; Kato, N.; Adachi, F. 6G: Opening new horizons for integration of comfort, security and intelligence. IEEE Wirel. Commun. 2020, 27, 126–132. [Google Scholar]
- Dobre, O.A. Signal identification for emerging intelligent radios: Classical problems and new challenges. IEEE Instrum. Meas. Mag. 2015, 18, 11–18. [Google Scholar] [CrossRef]
- Tu, Y.; Lin, Y.; Zha, H.; Zhang, J.; Wang, Y.; Mao, S. Large-scale real-world radio signal recognition with deep learning. Chin. J. Aeronaut. 2022, 35, 35–48. [Google Scholar] [CrossRef]
- Banerjee, S.; Santos, J.; Hempel, M.; Ghasemzadeh, P.; Sharif, H. A novel method of near-miss event detection with software defined radar in improving railyard safety. Safety 2019, 5, 55. [Google Scholar] [CrossRef]
- Smith, A.; Fei, Z.; Evans, M.; Downey, J. Modulation classification of satellite communication signals using cumulants and neural networks. In Proceedings of the IEEE Cognitive Communications for Aerospace Applications Workshop (CCAA), Cleveland, OH, USA, 27–28 June 2017; pp. 1–8. [Google Scholar]
- Chang, S.; Huang, S.; Zhang, R.; Feng, Z.; Liu, L. Multi-task learning based deep neural network for automatic modulation classification. IEEE Internet Things J. 2022, 9, 2192–2206. [Google Scholar] [CrossRef]
- Ke, Z.; Vikalo, H. Real-time radio technology and modulation classification via an LSTM Auto-Encoder. IEEE Trans. Wirel. Commun. 2022, 21, 370–382. [Google Scholar] [CrossRef]
- Zhang, X.; Wang, Y.; Lin, Y.; Gui, G. A comprehensive survey of deep learning-based automatic modulation recognition methods. Radio Commun. Technol. 2022, 48, 697–710. [Google Scholar]
- Zhang, X.; Zhao, H.; Zhu, H.; Adebisi, B.; Gui, G.; Gacanin, H.; Adachi, F. NAS-AMR: Neural architecture search based automatic modulation recognition method for integrating sensing and communication system. IEEE Trans. Cogn. Commun. Netw. 2022, 8, 1374–1386. [Google Scholar] [CrossRef]
- Fu, X.; Gui, G.; Wang, Y.; Gacanin, H.; Adachi, F. Automatic modulation classification based on decentralized learning and ensemble learning. IEEE Trans. Veh. Technol. 2022, 71, 7942–7946. [Google Scholar] [CrossRef]
- Zhao, N.; Yu, F.R.; Sun, H.; Li, M. Adaptive power allocation schemes for spectrum sharing in interference alignment-based cognitive radio networks. IEEE Trans. Veh. Technol. 2018, 65, 3700–3714. [Google Scholar] [CrossRef]
- Sills, J.A. Maximum-likelihood modulation classification for PSK/QAM. In Proceedings of the Military Communications (MILCOM), Atlantic City, NJ, USA, 31 October–3 November 1999; pp. 217–220. [Google Scholar]
- Wei, W.; Mendel, J.M. Maximum-likelihood classification for digital amplitude-phase modulations. IEEE Trans. Commun. 2000, 48, 189–193. [Google Scholar] [CrossRef]
- Hong, L.; Ho, K.C. Identification of digital modulation types using the wavelet transform. In Proceedings of the Military Communications (MILCOM), Atlantic City, NJ, USA, 31 October–3 November 1999; pp. 427–431. [Google Scholar]
- Swami, A.; Sadler, B.M. Hierarchical digital modulation classification using cumulants. IEEE Trans. Commun. 2000, 48, 416–429. [Google Scholar] [CrossRef]
- Hatzichristos, G.; Fargues, M.P. A hierarchical approach to the classification of digital modulation types in multipath environments. In Proceedings of the IEEE Conference Record of Thirty-Fifth Asilomar Conference on Signals, Systems and Computers (ACSSS), Pacific Grove, CA, USA, 4–7 November 2001; pp. 1494–1498. [Google Scholar]
- Panagiotou, P.; Anastasopoulos, A.; Polydoros, A. Likelihood ratio tests for modulation classification. In Proceedings of the IEEE Architectures and Technologies for Information Superiority (ATIS), Los Angeles, CA, USA, 22–25 October 2000; pp. 670–674. [Google Scholar]
- Nandi, A.K.; Azzouz, E.E. Algorithms for automatic modulation recognition of communication signals. IEEE Trans. Commun. 1998, 46, 431–436. [Google Scholar] [CrossRef]
- Gardner, W.A.; Spooner, C.M. Cyclic spectral analysis for signal detection and modulation recognition. In Proceedings of the IEEE Military Communications Conference (MILCOM), San Diego, CA, USA, 23–26 October 1988; pp. 419–424. [Google Scholar]
- Krizhevsky, A.; Sutskever, I.; Hinton, G.E. Imagenet classification with deep convolutional neural networks. In Proceedings of the 25th International Conference on Neural Information Processing Systems (NIPS), Lake Tahoe, NV, USA, 3–6 December 2012; Volume 1, pp. 1097–1105. [Google Scholar]
- Arisoy, E.; Sethy, A.; Ramabhadran, B.; Chen, S. Bidirectional recurrent neural network language models for automatic speech recognition. In Proceedings of the 2015 IEEE International Conference on Acoustics, Speech and Signal Processing (ICASSP), South Brisbane, Australia, 19–24 April 2015; pp. 5421–5425. [Google Scholar]
- Ye, H.; Li, G.Y.; Juang, B.-H. Power of deep learning for channel estimation and signal detection in OFDM systems. IEEE Wirel. Commun. Lett. 2018, 7, 114–117. [Google Scholar] [CrossRef]
- Qin, Z.; Ye, H.; Li, G.Y.; Juang, B.-H.F. Deep learning in physical layer communications. IEEE Wirel. Commun. 2019, 26, 93–99. [Google Scholar] [CrossRef]
- Guan, G.; Liu, F.; Sun, J.; Yang, J.; Zhou, Z.; Zhao, D. Flight delay prediction based on aviation big data and machine learning. IEEE Trans. Veh. Technol. 2020, 69, 140–150. [Google Scholar]
- He, H.; Wen, C.; Jin, S.; Li, G.Y. Deep learning-based channel estimation for beamspace mmWave massive MIMO systems. IEEE Wirel. Commun. Lett. 2018, 7, 852–855. [Google Scholar] [CrossRef]
- Soltani, M.; Pourahmadi, V.; Mirzaei, A.; Sheikhzadeh, H. Deep learning-based channel estimation. IEEE Commun. Lett. 2019, 23, 652–655. [Google Scholar] [CrossRef]
- Fan, G.; Sun, J.; Gui, G.; Gacanin, H.; Adebisi, B.; Ohtsuki, T. Limited CSI feedback using fully convolutional neural networks for FDD massive MIMO systems. IEEE Trans. Cogn. Commun. Netw. 2022, 8, 672–682. [Google Scholar] [CrossRef]
- Gui, G.; Wang, J.; Yang, J.; Liu, M.; Sun, J.-L. Frequency division duplex massive multiple-input multiple-output downlink channel state information acquisition techniques based on deep learning. J. Data Acquis. Process. 2022, 37, 502–511. [Google Scholar]
- He, Z.; Yin, J.; Wang, Y.; Gui, G.; Adebisi, B.; Ohtsuki, T.; Gacanin, H.; Sari, H. Edge device identification based on federated learning and network traffic feature engineering. IEEE Trans. Cogn. Commun. Netw. 2022, 8, 1898–1909. [Google Scholar] [CrossRef]
- Peng, Y.; Liu, P.; Wang, Y.; Gui, G.; Adebisi, B.; Gacanin, H. Radio frequency fingerprint identification based on slice integration cooperation and heat constellation trace figure. IEEE Wirel. Commun. Lett. 2022, 11, 543–547. [Google Scholar] [CrossRef]
- Shen, G.; Zhang, J.; Marshall, A.; Cavallaro, J.R. Towards scalable and channel-robust radio frequency fingerprint identification for LoRa. IEEE Trans. Inf. Forensics Secur. 2022, 17, 774–787. [Google Scholar] [CrossRef]
- Tao, M.; Wang, C.; Fu, X.; Wang, Y. Survey of few-shot learning methods for specific emitter identification. J. Nantong Univ. 2023; early access. [Google Scholar]
- Huang, H.; Liu, M.; Gu, G.; Haris, G.; Adachi, F. Unsupervised learning-inspired power control methods for energy-efficient wireless networks over fading channels. IEEE Trans. Wirel. Commun. 2022, 21, 9892–9905. [Google Scholar] [CrossRef]
- Huang, H.; Peng, Y.; Yang, J.; Xia, W.; Gui, G. Fast beamforming design via deep learning. IEEE Trans. Veh. Technol. 2020, 69, 1065–1069. [Google Scholar] [CrossRef]
- Zhang, M.; Diao, M.; Guo, L. Convolutional neural networks for automatic cognitive radio waveform recognition. IEEE Access 2017, 5, 11074–11082. [Google Scholar] [CrossRef]
- Zhou, X.; He, X.; Zheng, C. Radio signal recognition based on image deep learning. J. Commun. 2019, 40, 114–125. [Google Scholar]
- Qu, Z.; Wang, W.; Hou, C.; Hou, C. Radar signal intra-pulse modulation recognition based on convolutional denoising autoencoder and deep convolutional neural network. IEEE Access 2019, 7, 112339–112347. [Google Scholar] [CrossRef]
- Peng, S.; Jiang, H. Modulation recognition using hierarchical deep neural networks. IEEE Trans. Neural Netw. Learn. Syst. 2019, 30, 718–727. [Google Scholar] [CrossRef]
- Wang, Y.; Gui, G.; Gacanin, H.; Ohtsuki, T.; Sari, H.; Adachi, F. Transfer learning for semi-supervised automatic modulation classification in ZF-MIMO systems. IEEE J. Emerg. Sel. Top. Circuits Syst. 2020, 10, 231–239. [Google Scholar] [CrossRef]
- Hochreiter, S.; Schmidhuber, J. Long short-term memory. Neural Comput. 1997, 9, 1735–1780. [Google Scholar] [CrossRef] [PubMed]
- Li, Z.; Hoiem, D. Learning without forgetting. IEEE Trans. Pattern Anal. Mach. Intell. 2018, 40, 2935–2947. [Google Scholar] [CrossRef] [PubMed]
- Shea, T.; Corgan, J.; Clancy, T. Convolutional radio modulation recognition networks. In Proceedings of the International Conference on Engineering Applications of Neural Networks (INNS), Aberdeen, UK, 2–5 September 2016; pp. 213–226. [Google Scholar]
- West, N.; Shea, T. Deep architectures for modulation recognition. In Proceedings of the 2017 IEEE International Symposium on Dynamic Spectrum Access Networks (DySPAN), Baltimore, MD, USA, 6–9 March 2017; pp. 1–6. [Google Scholar]
- Sainath, T.N.; Vinyals, O.; Senior, A.; Sak, H. Convolutional, long short-term memory, fully connected deep neural networks. In Proceedings of the 2015 IEEE International Conference on Acoustics, Speech and Signal Processing (ICASSP), South Brisbane, Australia, 19–24 April 2015; pp. 4580–4584. [Google Scholar]
- Shea, T.; Roy, T.; Clancy, T. Over-the-air deep learning based radio signal classification. IEEE J. Sel. Top. Signal Process. 2018, 12, 168–179. [Google Scholar] [CrossRef]
- Simonyan, K.; Zisserman, A. Very deep convolutional networks for large-scale image recognition. arXiv 2014, arXiv:1409.1556. [Google Scholar] [CrossRef]
- He, K.; Zhang, X.; Ren, S.; Sun, J. Deep residual learning for image recognition. In Proceedings of the IEEE Conference on Computer Vision and Pattern Recognition (CVPR), Las Vegas, NV, USA, 27–30 June 2016; pp. 770–778. [Google Scholar]
- Lin, Y.; Tu, Y.; Dou, Z.; Wu, Z. The application of deep learning in communication signal modulation recognition. In Proceedings of the 2017 IEEE/CIC International Conference on Communications in China (ICCC), Qingdao, China, 22–24 October 2017; pp. 1–5. [Google Scholar]
- Krzyston, J.; Bhattacharjea, R.; Stark, A. Complex-valued convolutions for modulation recognition using deep learning. In Proceedings of the 2020 IEEE International Conference on Communications Workshops (ICC Workshops), Dublin, Ireland, 7–11 June 2020; pp. 1–6. [Google Scholar]
- Cui, T.S.; Cui, K.; Huang, Y.H.; Junshe, A. Convolutional neural network satellite signal automatic modulation recognition algorithm. J. Beijing Univ. Aeronaut. Astronaut. 2022, 48, 986–9949. [Google Scholar]
- Iandola, F.N.; Han, S.; Moskewicz, M.W.; Ashraf, K.; Dally, W.J.; Keutzer, K. SqueezeNet: AlexNet-level accuracy with 50× fewer parameters and <0.5 MB model size. arXiv 2016, arXiv:1602.07360. [Google Scholar]
- Howard, A.G.; Zhu, M.; Chen, B.; Kalenichenko, D.; Wang, W.; Weyand, T.; Andreetto, M.; Adam, H. Mobilenets: Efficient convolutional neural networks for mobile vision applications. arXiv 2017, arXiv:1704.04861. [Google Scholar]
- Zhang, X.; Zhou, X.; Lin, M.; Sun, J. Shufflenet: An extremely efficient convolutional neural network for mobile devices. In Proceedings of the IEEE Conference on Computer Vision and Pattern Recognition (CVPR), Salt Lake City, UT, USA, 18–23 June 2018; pp. 6848–6856. [Google Scholar]
- Wang, Y.; Gui, G.; Gacanin, H.; Ohtsuki, T.; Dobre, O.A.; Poor, H.V. An efficient specific emitter identification method based on complex-valued neural networks and network nompression. IEEE J. Sel. Areas Commun. 2021, 39, 2305–2317. [Google Scholar] [CrossRef]
- Chollet, F. Xception: Deep Learning With Depthwise Separable Convolutions. In Proceedings of the IEEE Conference on Computer Vision and Pattern Recognition (CVPR), Honolulu, HI, USA, 21–26 July 2017; pp. 1251–1258. [Google Scholar]
- Fu, X.; Gui, G.; Wang, Y.; Ohtsuki, T.; Adebisi, B.; Gacanin, H.; Adachi, F. Lightweight network and model Aggregation for automatic modulation classification in wireless communications. In Proceedings of the 2021 IEEE Wireless Communications and Networking Conference (WCNC), Nanjing, China, 29 March–1 April 2021; pp. 1–6. [Google Scholar]
- O’Shea, T.J.; West, N. Radio machine learning dataset generation with GNU radio. In Proceedings of the GNU Radio Conference (GRCon), Boulder, CO, USA, 12–16 September 2016; pp. 1–5. [Google Scholar]
- Maaten, L.; Hinton, G. Visualizing Data Using t-SNE. J. Mach. Learn. Res. 2008, 9, 2579–2605. [Google Scholar]












| Simulation Parameters | Values |
|---|---|
| Data dimension | |
| Number of D | 3000 |
| Number of | 2000 |
| Optimizer | Adam |
| Loss | Cross Entropy Loss |
| Epoch | 100 |
| Batch-size | 512 |
| Learning rate | 0.001 |
| Simulation Parameters | Contents |
|---|---|
| Modulation type | BPSK, QPSK, 8PSK, 16QAM, 64QAM |
| Data format (I/Q) | |
| Standard deviation of the sampling rate offset | 0.01 Hz |
| Maximum sample rate offset | 50 Hz |
| Carrier frequency offset standard deviation | 0.01 Hz |
| Maximum carrier frequency offset | 500 Hz |
| No. of sine waves in frequency selective fading | 8 |
| Sampling rate | 200 kHz |
| Noise | AWGN |
| Methods | SVM | CVResNet | Lightweight CVResNet | Proposed |
|---|---|---|---|---|
| Accuracy | 51.50% | 94.30% | 65.95% | 96.40% |
| F1-Score | 0.441 | 0.943 | 0.636 | 0.964 |
| Methods | Rotate | RandMix | Rotate+RandMix (Our Proposed) |
|---|---|---|---|
| Accuracy | 88.85% | 67.40% | 96.40% |
| Network | Parameters | FLOPs | Size/KB |
|---|---|---|---|
| CVResNet | 1,848,965 | 117,750,272 | 7376 |
| Lightweight CVResNet | 308,117 (83.34%↓) | 19,115,008 (83.77%↓) | 1424 (80.69%↓) |
Disclaimer/Publisher’s Note: The statements, opinions and data contained in all publications are solely those of the individual author(s) and contributor(s) and not of MDPI and/or the editor(s). MDPI and/or the editor(s) disclaim responsibility for any injury to people or property resulting from any ideas, methods, instructions or products referred to in the content. |
© 2023 by the authors. Licensee MDPI, Basel, Switzerland. This article is an open access article distributed under the terms and conditions of the Creative Commons Attribution (CC BY) license (https://creativecommons.org/licenses/by/4.0/).
Share and Cite
Wang, F.; Shang, T.; Hu, C.; Liu, Q. Automatic Modulation Classification Using Hybrid Data Augmentation and Lightweight Neural Network. Sensors 2023, 23, 4187. https://doi.org/10.3390/s23094187
Wang F, Shang T, Hu C, Liu Q. Automatic Modulation Classification Using Hybrid Data Augmentation and Lightweight Neural Network. Sensors. 2023; 23(9):4187. https://doi.org/10.3390/s23094187
Chicago/Turabian StyleWang, Fan, Tao Shang, Chenhan Hu, and Qing Liu. 2023. "Automatic Modulation Classification Using Hybrid Data Augmentation and Lightweight Neural Network" Sensors 23, no. 9: 4187. https://doi.org/10.3390/s23094187
APA StyleWang, F., Shang, T., Hu, C., & Liu, Q. (2023). Automatic Modulation Classification Using Hybrid Data Augmentation and Lightweight Neural Network. Sensors, 23(9), 4187. https://doi.org/10.3390/s23094187

