A Miniaturized 3D-Printed Quartz-Enhanced Photoacoustic Spectroscopy Sensor for Methane Detection with a High-Power Diode Laser
Abstract
1. Introduction
2. Experimental System
2.1. CH4 Absorption Line Selection
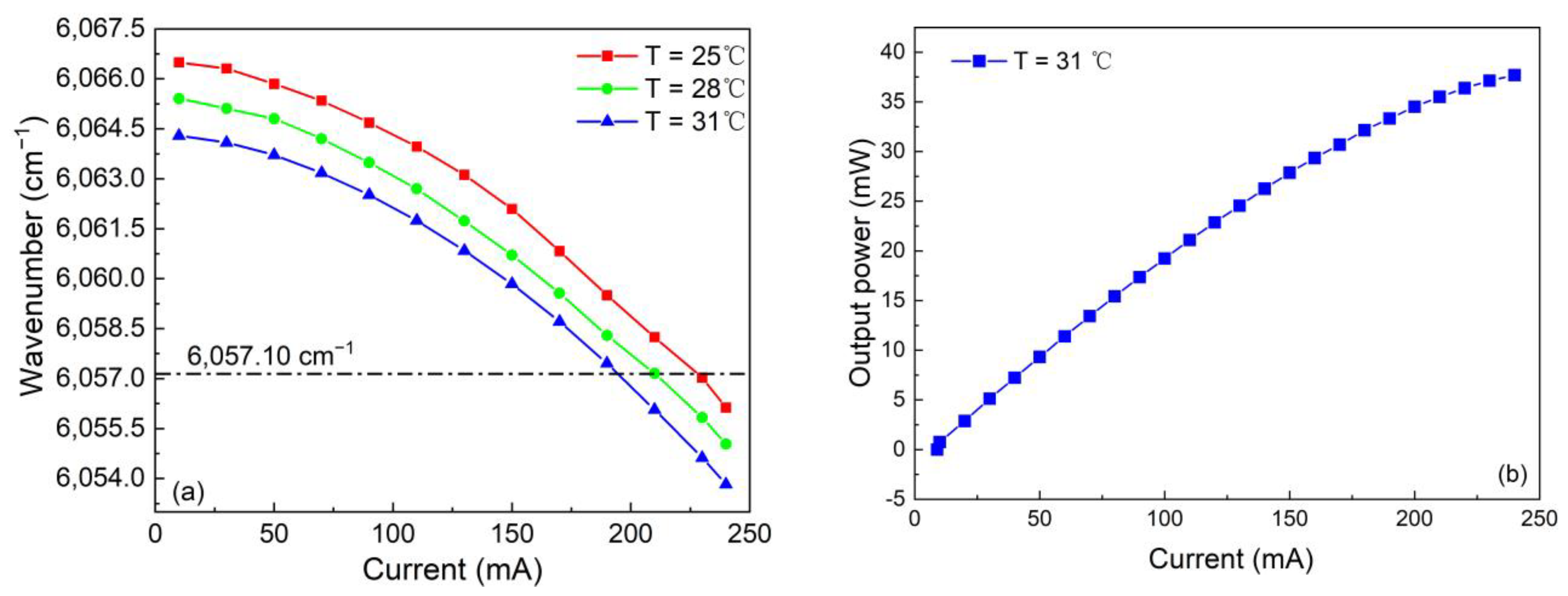
2.2. DFB Diode Laser Output Characteristics
2.3. 3D-Printed Acoustic Detection Unit
2.4. QEPAS Sensor Configuration
3. Experimental Results and Discussions
4. Conclusions
Author Contributions
Funding
Institutional Review Board Statement
Informed Consent Statement
Data Availability Statement
Conflicts of Interest
References
- Xia, J.B.; Zhu, F.; Zhang, S.S. A ppb level sensitive sensor for atmospheric methane detection. Infrared Phys. Technol. 2017, 86, 194–201. [Google Scholar] [CrossRef]
- Liu, J.; Li, G.M. A Remote sensor for detecting methane based on palladium-decorated single walled carbon nanotubes. Sensors 2013, 13, 8814–8826. [Google Scholar] [CrossRef] [PubMed]
- Liu, X.N.; Qiao, S.D.; Ma, Y.F. Highly sensitive methane detection based on light-induced thermoelastic spectroscopy with a 2.33 μm diode laser and adaptive Savitzky-Golay filtering. Opt. Express 2022, 30, 1304–1313. [Google Scholar] [CrossRef] [PubMed]
- Stoev, I.; Seelbinder, B.; Erben, E. Highly sensitive force measurements in an optically generated, harmonic hydrodynamic trap. eLight 2021, 1, 7. [Google Scholar] [CrossRef]
- Yang, S.; Huang, H.; Wu, G.; Wu, Y.; Yang, T.; Liu, F. High-speed three-dimensional shape measurement with inner shifting-phase fringe projection profilometry. Chin. Opt. Lett. 2022, 20, 112601. [Google Scholar] [CrossRef]
- Xiong, J.; Wu, S. Planar liquid crystal polarization optics for augmented reality and virtual reality: From fundamentals to applications. eLight 2021, 1, 3. [Google Scholar] [CrossRef]
- Zheng, H.; Yin, F.; Wang, T.; Liu, Y.; Wei, Y.; Zhu, B.; Zhou, K.; Leng, Y. Time-resolved measurements of electron density and plasma diameter of 1 kHz femtosecond laser filament in air. Chin. Opt. Lett. 2022, 20, 093201. [Google Scholar] [CrossRef]
- Luo, Y.; Zhao, Y.; Li, J. Computational imaging without a computer: Seeing through random diffusers at the speed of light. eLight 2022, 2, 4. [Google Scholar] [CrossRef]
- Lin, H.; Cheng, J. Computational coherent Raman scattering imaging: Breaking physical barriers by fusion of advanced instrumentation and data science. eLight 2023, 3, 6. [Google Scholar] [CrossRef]
- Ma, Y.F.; Liang, T.T.; Qiao, S.D. Highly Sensitive and fast hydrogen detection based on light-induced thermoelastic spectroscopy. Ultrafast Sci. 2023, 3, 0024. [Google Scholar] [CrossRef]
- Deng, L.J.; Chen, Q.; Bai, Y.; Liu, G.D.; Zeng, L.M.; Ji, X.R. Compact long-working-distance laser-diode-based photoacoustic microscopy with a reflective objective. Chin. Opt. Lett. 2021, 19, 071701. [Google Scholar] [CrossRef]
- Zhang, C.; Qiao, S.D.; Ma, Y.F. Highly sensitive photoacoustic acetylene detection based on differential photoacoustic cell with retro-reflection-cavity. Photoacoustics 2023, 30, 100467. [Google Scholar] [CrossRef]
- Ma, Y.F.; Lewicki, R.; Razeghi, M.; Tittel, F.K. QEPAS based ppb-level detection of CO and N2O using a high power CW DFB-QCL. Opt. Express 2013, 21, 1008–1019. [Google Scholar] [CrossRef]
- Zhang, Z.H.; Zhang, F.B.; Xu, B.; Xie, H.Q.; Fu, B.T.; Lu, X.; Zhang, N.; Yu, S.P.; Yao, J.P.; Cheng, Y.; et al. High-sensitivity gas detection with air-lasing-assisted coherent Raman spectroscopy. Ultrafast Sci. 2022, 2022, 9761458. [Google Scholar] [CrossRef]
- Fu, Y.; Cao, J.C.; Yamanouchi, K.; Xu, H.L. Air-laser-based standoff coherent Raman spectrometer. Ultrafast Sci. 2022, 2022, 9867028. [Google Scholar] [CrossRef]
- Ma, Y.F.; He, Y.; Tong, Y.; Yu, X.; Tittel, F.K. Quartz-tuning-fork enhanced photothermal spectroscopy for ultra-high sensitive trace gas detection. Opt. Express 2018, 26, 32103–32110. [Google Scholar] [CrossRef] [PubMed]
- Yang, D.Q.; Chen, Z.J.; Xing, D. A novel needle probe for deeper photoacoustic viscoelasticity measurement. Chin. Opt. Lett. 2022, 20, 081701. [Google Scholar] [CrossRef]
- Sepman, A.; Ögren, Y.; Gullberg, M.; Wiinikka, H. Development of TDLAS sensor for diagnostics of CO, H2O and soot concentrations in reactor core of pilot-scale gasifier. Appl. Phys. B 2016, 12, 29. [Google Scholar] [CrossRef]
- Liu, Y.H.; Ma, Y.F. Advances in multipass cell for absorption spectroscopy-based trace gas sensing technology. Chin. Opt. Lett. 2023, 21, 033001. [Google Scholar] [CrossRef]
- Nitkowski, A.; Chen, L.; Lipson, M. Cavity-enhanced on-chip absorption spectroscopy using microring resonators. Opt. Express 2008, 16, 11930–11936. [Google Scholar] [CrossRef] [PubMed]
- Liu, X.N.; Qiao, S.D.; Han, G.W.; Liang, J.X.; Ma, Y.F. Highly sensitive HF detection based on absorption enhanced light-induced thermoelastic spectroscopy with a quartz tuning fork of receive and shallow neural network fitting. Photoacoustics 2022, 28, 100422. [Google Scholar] [CrossRef] [PubMed]
- Qiao, S.D.; Ma, P.Z.; Tsepelin, V.; Han, G.W.; Liang, J.X.; Ren, W.; Zheng, H.D.; Ma, Y.F. Super tiny quartz-tuning-fork-based light-induced thermoelastic spectroscopy sensing. Opt. Lett. 2023, 48, 419–422. [Google Scholar] [CrossRef]
- Gong, Z.F.; Gao, T.L.; Mei, L.; Chen, K.; Chen, Y.W.; Zhang, B.; Peng, W.; Yu, Q.X. Ppb-level detection of methane based on an optimized T-type photoacoustic cell and a NIR diode laser. Photoacoustics 2021, 21, 100216. [Google Scholar] [CrossRef] [PubMed]
- Zifarelli, A.; De Palo, R.; Patimisco, P.; Giglio, M.; Sampaolo, A.; Blaser, S.; Butet, J.; Landry, O.; Müller, A.; Spagnolo, V. Multi-gas quartz-enhanced photoacoustic sensor for environmental monitoring exploiting a Vernier effect-based quantum cascade laser. Photoacoustics 2022, 28, 100401. [Google Scholar] [CrossRef] [PubMed]
- Lin, H.Y.; Zheng, H.D.; Montano, B.A.Z.; Wu, H.P.; Giglio, M.; Sampaolo, A.; Patimisco, P.; Zhu, W.G.; Zhong, Y.C.; Dong, L. Ppb-level gas detection using on-beam quartz-enhanced photoacoustic spectroscopy based on a 28 kHz tuning fork. Photoacoustics 2022, 25, 100321. [Google Scholar] [CrossRef]
- Chen, K.; Yu, Q.X.; Gong, Z.F.; Guo, M.; Qu, C. Ultra-high sensitive fiber-optic Fabry-Perot cantilever enhanced resonant photoacoustic spectroscopy. Sens. Actuator B-Chem. 2018, 268, 205–209. [Google Scholar] [CrossRef]
- Shang, Z.J.; Li, S.Z.; Li, B.; Wu, H.P.; Sampaolo, A.; Patimisco, P.; Spagnolo, V.; Dong, L. Quartz-enhanced photoacoustic NH3 sensor exploiting a large-prong-spacing quartz tuning fork and an optical fiber amplifier for biomedical applications. Photoacoustics 2022, 26, 100363. [Google Scholar] [CrossRef]
- Wu, G.J.; Gong, Z.F.; Ma, J.S.; Li, H.E.; Guo, M.; Chen, K.; Peng, W.; Yu, Q.G.; Mei, L. High-sensitivity miniature dual-resonance photoacoustic sensor based on silicon cantilever beam for trace gas sensing. Photoacoustics 2022, 27, 100386. [Google Scholar] [CrossRef]
- Zhang, B.; Chen, K.; Chen, Y.W.; Yang, B.L.; Guo, M.; Deng, H.; Ma, F.X.; Zhu, F.; Gong, Z.F.; Peng, W.; et al. High-sensitivity photoacoustic gas detector by employing multi-pass cell and fiber-optic microphone. Opt. Express 2020, 28, 6618–6630. [Google Scholar] [CrossRef]
- Kosterev, A.A.; Bakhirkin, Y.A.; Curl, R.F.; Tittel, F.K. Quartz-enhanced photoacoustic spectroscopy. Opt. Lett. 2002, 27, 1902–1904. [Google Scholar] [CrossRef]
- Hu, L.; Zheng, C.T.; Zheng, J.; Wang, Y.D.; Tittel, F.K. Quartz tuning fork embedded off-beam quartz-enhanced photoacoustic spectroscopy. Opt. Lett. 2019, 44, 2562–2565. [Google Scholar] [CrossRef] [PubMed]
- Patimisco, P.; Scamarcio, G.; Tittel, F.K.; Spagnolo, V. Quartz-enhanced photoacoustic spectroscopy: A review. Sensors 2014, 14, 6165–6206. [Google Scholar] [CrossRef] [PubMed]
- Zheng, H.D.; Liu, Y.H.; Lin, H.Y.; Liu, B.; Gu, X.H.; Li, D.Q.; Huang, B.C.; Wu, Y.C.; Dong, L.P.; Zhu, W.G.; et al. Quartz-enhanced photoacoustic spectroscopy employing pilot line manufactured custom tuning forks. Photoacoustics 2020, 17, 100158. [Google Scholar] [CrossRef]
- Wang, Z.; Wang, Q.; Zhang, H.; Borri, S.; Galli, I.; Sampaolo, A.; Patimisco, P.; Spagnolo, V.L.; Natale, P.D.; Ren, W. Doubly resonant sub-ppt photoacoustic gas detection with eight decades dynamic range. Photoacoustics 2022, 27, 100387. [Google Scholar] [CrossRef]
- Sgobba, F.; Sampaolo, A.; Patimisco, P.; Giglio, M.; Menduni, G.; Ranieri, A.C.; Hoelzl, C.; Rossmadl, H.; Brehm, C.; Mackowiak, V.; et al. Compact and portable quartz-enhanced photoacoustic spectroscopy sensor for carbon monoxide environmental monitoring in urban areas. Photoacoustics 2022, 25, 100318. [Google Scholar] [CrossRef]
- Liu, K.; Li, J.; Wang, L.; Tan, T.; Zhang, W.; Gao, X.M.; Chen, W.D.; Tittel, F.K. Trace gas sensor based on quartz tuning fork enhanced laser photoacoustic spectroscopy. Appl. Phys. B 2009, 94, 527–533. [Google Scholar] [CrossRef]
- Krzempek, K.; Lewicki, R.; Nähle, L.; Fischer, M.; Koeth, J.; Belahsene, S.; Rouillard, Y.; Worschech, L.; Tittel, F.K. Continuous wave, distributed feedback diode laser based sensor for trace gas detection of ethane. Appl. Phys. B 2012, 106, 251–255. [Google Scholar] [CrossRef]
- Ma, Y.F.; He, Y.; Yu, X.; Chen, C.; Sun, R.; Tittel, F.K. HCl ppb-level detection based on QEPAS sensor using a low resonance frequency quartz tuning fork. Sens. Actuators B-chem. 2016, 233, 388–393. [Google Scholar] [CrossRef]
- Borri, S.; Patimisco, P.; Sampaolo, A.; Vitiello, M.S.; Beere, H.E.; Ritchie, D.A.; Scamarcio, G.; Spagnolo, V. Terahertz quartz enhanced photo-acoustic sensor. Appl. Phys. Lett. 2013, 103, 021105. [Google Scholar] [CrossRef]
- He, Y.; Ma, Y.F.; Tong, Y.; Yu, X.; Tittel, F.K. A portable gas sensor for sensitive CO detection based on quartz-enhanced photoacoustic spectroscopy. Opt. Laser Technol. 2019, 115, 129–133. [Google Scholar] [CrossRef]
- Niu, M.S.; Song, L.K. A 3D-printed microresonator based on the quartz-enhanced photoacoustic spectroscopy sensor for methane detection. J. Appl. Spectrosc. 2018, 85, 786–790. [Google Scholar] [CrossRef]
- Triki, M.; Ba, T.N.; Vicet, A. Compact sensor for methane detection in the mid infrared region based on quartz enhanced photoacoustic spectroscopy. Infrared Phys. Technol. 2015, 69, 74–80. [Google Scholar] [CrossRef]











| Method | MDL (ppm) | NNEA (cm−1W/Hz−1/2) | Ref. |
|---|---|---|---|
| Machining | 15 | 7.26 × 10−6 | [42] |
| 3D-printed | 14.93 | 2.20 × 10−7 | This paper |
Disclaimer/Publisher’s Note: The statements, opinions and data contained in all publications are solely those of the individual author(s) and contributor(s) and not of MDPI and/or the editor(s). MDPI and/or the editor(s) disclaim responsibility for any injury to people or property resulting from any ideas, methods, instructions or products referred to in the content. |
© 2023 by the authors. Licensee MDPI, Basel, Switzerland. This article is an open access article distributed under the terms and conditions of the Creative Commons Attribution (CC BY) license (https://creativecommons.org/licenses/by/4.0/).
Share and Cite
Chen, Y.; Liang, T.; Qiao, S.; Ma, Y. A Miniaturized 3D-Printed Quartz-Enhanced Photoacoustic Spectroscopy Sensor for Methane Detection with a High-Power Diode Laser. Sensors 2023, 23, 4034. https://doi.org/10.3390/s23084034
Chen Y, Liang T, Qiao S, Ma Y. A Miniaturized 3D-Printed Quartz-Enhanced Photoacoustic Spectroscopy Sensor for Methane Detection with a High-Power Diode Laser. Sensors. 2023; 23(8):4034. https://doi.org/10.3390/s23084034
Chicago/Turabian StyleChen, Yanjun, Tiantian Liang, Shunda Qiao, and Yufei Ma. 2023. "A Miniaturized 3D-Printed Quartz-Enhanced Photoacoustic Spectroscopy Sensor for Methane Detection with a High-Power Diode Laser" Sensors 23, no. 8: 4034. https://doi.org/10.3390/s23084034
APA StyleChen, Y., Liang, T., Qiao, S., & Ma, Y. (2023). A Miniaturized 3D-Printed Quartz-Enhanced Photoacoustic Spectroscopy Sensor for Methane Detection with a High-Power Diode Laser. Sensors, 23(8), 4034. https://doi.org/10.3390/s23084034

