Video Process Mining and Model Matching for Intelligent Development: Conformance Checking
Abstract
1. Introduction
2. Related Work
3. Framework
3.1. Video Action Record Extraction Module
3.1.1. Video Data Preprocessing
- (1)
- Image grayscale processing: The formula is shown in (1), where H and W represent the height of the original video frame and width, i ∈ [1…H], j ∈ [1…W].
- (2)
- Moving target extraction: The algorithm’s purpose is to extract the motion information contained in the action in the video. The image is grayed out and still contains useless background information. In order to accurately extract the moving targets, the moving target is extracted by the knn algorithm [21]. Basically, the knn algorithm can accurately extract moving targets, but it is still disturbed by noise.
- (3)
- Image noise processing: The method of median filtering is used to perform nonlinear filtering on grayscale images, so that the target pixel is closer to the real value, thereby eliminating isolated noise points. The calculation method is shown in Formula (2), where g (x, y) is the processed image, f (x, y) is the original image, W is an N*N two-dimensional template, N is usually a positive odd number, and Med represents sorting the gray values in the domain window and taking out the middle value:
- (4)
- Open operation processing: Assuming that Z is the target image and W is a structural element, the mathematical formula for the opening operation processing of the structural element W by the target image Z is:
3.1.2. Action Location and Recognition
3.2. Video Consistency Analysis Module
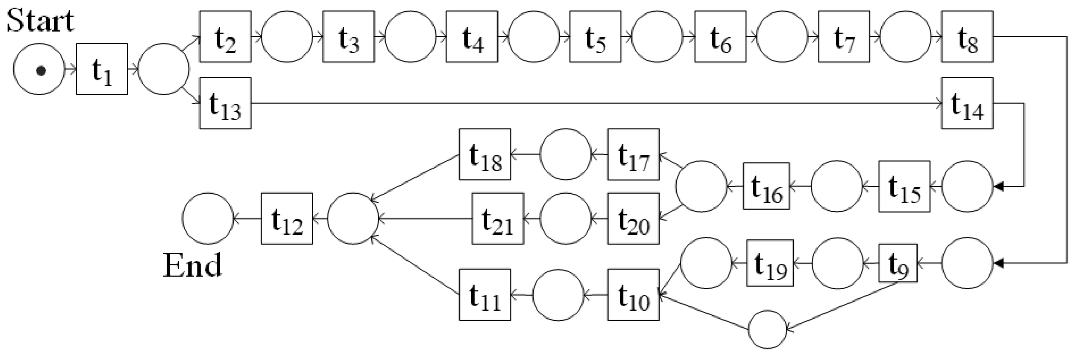
3.2.1. Predefined Model
- (1)
- Take the cutting board and rag, then put the cutting board and rag in order, then take the plate and cup, then put the plate and cup in order, then there are two options: ➀ Take a fork, knife, spoon, and put the fork, knife, spoon in that order; ➁ Take a fork, a spoon, and a knife, and then put the fork, spoon, and knife in that order.
- (2)
- Take the cutting board, then put the cutting board, then take the rag, then put the rag, then take the plate, then put the plate, then take the spoon, then put the spoon, then open the cupboard, take the cup, put the cup, or just take the cup, put the cup.
3.2.2. Conformance Checking
4. Experiments
4.1. Dataset
4.2. Experiment of Action Localization
4.3. Experiment of Action Recognition
4.4. Conformance Checking Experimental Analysis
5. Conclusions
Author Contributions
Funding
Institutional Review Board Statement
Informed Consent Statement
Data Availability Statement
Conflicts of Interest
References
- Liu, C.; Cheng, L. Process mining: An overview of technologies and applications. China Sci. Technol. Ind. 2021, 9, 50–51. [Google Scholar] [CrossRef]
- Heidy, M.; Edgar, T. Event Log Preprocessing for Process Mining: A Review. Appl. Sci. 2021, 11, 10556. [Google Scholar] [CrossRef]
- Liu, M.; Gu, Q.; Yang, B.; Yin, Z.; Liu, S.; Yin, L.; Zheng, W. Kinematics Model Optimization Algorithm for Six Degrees of Freedom Parallel Platform. Appl. Sci. 2023, 13, 3082. [Google Scholar] [CrossRef]
- Lv, Z.; Yu, Z.; Xie, S.; Alamri, A. Deep Learning-Based Smart Predictive Evaluation for Interactive Multimedia-Enabled Smart Healthcare. ACM Trans. Multimedia Comput. Commun. 2022, 18, 1–20. [Google Scholar] [CrossRef]
- Zeng, Q.T. Summary of research status and problems in process mining. J. Syst. Simul. 2007, S1, 275–280. [Google Scholar]
- Chen, J.Q. The development trend of china’s video sharing market in the 5G era. Youth Report. 2020, 12, 88–89. [Google Scholar] [CrossRef]
- Qin, X.; Liu, Z.; Liu, Y.; Liu, S.; Yang, B.; Yin, L.; Liu, M.; Zheng, W. User OCEAN Personality Model Construction Method Using a BP Neural Network. Electronics 2022, 11, 3022. [Google Scholar] [CrossRef]
- Huang, L.H. Research and Application of Business Law Information Management System Based on Big Data. J. Sens. 2022, 2022, 1–12. [Google Scholar] [CrossRef]
- Liu, Y.; Wang, K.; Liu, L.; Lan, H.; Lin, L. Tcgl: Temporal contrastive graph for self-supervised video representation learning. IEEE Trans. Image Process. 2022, 31, 1978–1993. [Google Scholar] [CrossRef] [PubMed]
- Xu, S.; He, Q.; Tao, S.; Chen, H.; Chai, Y.; Zheng, W. Pig Face Recognition Based on Trapezoid Normalized Pixel Difference Feature and Trimmed Mean Attention Mechanism. IEEE Trans. Instrum. Meas. 2022, 1, 3500713. [Google Scholar] [CrossRef]
- Li, B.; Lu, Y.; Pang, W.; Xu, H. Image Colorization using CycleGAN with semantic and spatial rationality. Multimed. Tools Appl. 2023. [Google Scholar] [CrossRef]
- Duan, J.; Duan, G.; Cheng, S.; Cao, S.; Wang, G. Fixed-time time-varying output formation–containment control of heterogeneous general multi-agent systems. ISA Trans. 2023. [Google Scholar] [CrossRef] [PubMed]
- Zhang, J.; Tang, Y.; Wang, H.; Xu, K. ASRO-DIO: Active Subspace Random Optimization Based Depth Inertial Odometry. IEEE Trans. Robot. 2022, 39, 1496–1508. [Google Scholar] [CrossRef]
- Birgin, M.K.; Bilge, A. Genetic Algorithm-Based Privacy Preserving Collaborative Filtering. In Proceedings of the 2019 Innovations in Intelligent Systems and Applications Conference (ASYU), Izmir, Turkey, 31 October–2 November 2019. [Google Scholar] [CrossRef]
- Liu, H.; Xu, Y.; Chen, F. Sketch2Photo: Synthesizing photo-realistic images from sketches via global contexts. Eng. Appl. Artif. Intell. 2023, 117, 105608. [Google Scholar] [CrossRef]
- Shabnam, S.; Fang, X.W.; Usman, A. Repairing Event Logs to Enhance the Performance of a Process Mining Model. Math. Probl. Eng. 2022, 43, 515–527. [Google Scholar] [CrossRef]
- Gao, J.; Liu, C.; Liu, Y.F. An Efficient Method for Mining Immediate Neighborhood Relationships in Relational Databases for Event Logs Computer Integrated Manufacturing System. Comput. Integr. Manufac-Turing Syst. 2020, 26, 1492–1499. [Google Scholar]
- Liu, C.; Li, H.L.; Zeng, Q.T.; Li, C.H. Cross-Organization Emergency Response Process Mining: An Approach Based on Petri Nets. Math. Probl. Eng. 2020, 52, 8836007. [Google Scholar] [CrossRef]
- Huang, C.; Han, Z.; Li, M.; Wang, X.; Zhao, W. Sentiment evolution with interaction levels in blended learning environments: Using learning analytics and epistemic network analysis. Australas. J. Educ. Technol. 2021, 37, 81–95. [Google Scholar] [CrossRef]
- Hugo, H.D.; Augusto, V.; Jouaneton, B.; Lamarsalle, L. An optimization-based process mining approach for explainable classification of timed event logs. In Proceedings of the 2020 IEEE 16th International Conference on Automation Science and Engineering, Hong Kong, China, 20–21 August 2020; pp. 43–48. [Google Scholar] [CrossRef]
- Zivkovic, Z.; Heijden, F. Efficient adaptive density estimation per image pixel for the task of background subtraction. Pattern Recognit. Lett. 2006, 27, 773–780. [Google Scholar] [CrossRef]
- Deng, J.; Dong, R.; Socher, L.J. ImageNet: A large-scale hierarchical image database. In Proceedings of the 2009 IEEE Conference on Computer Vision and Pattern Recognition, Miami, FL, USA, 20–25 June 2009; Volume 28, pp. 248–255. [Google Scholar] [CrossRef]
- Carreira, J.; Zisserman, A. Quo vadis, action recognition? A new model and the kinetics dataset. In Proceedings of the IEEE Conference on Computer Vision and Pattern Recognition, Honolulu, Hawaii, 21–26 July 2017; pp. 6299–6308. [Google Scholar] [CrossRef]
- Wang, F.H.; Zhang, Q.; Huang, C.; Zhang, L. Dynamic gesture recognition incorporating dual-stream 3D convolution and attention mechanism. Comput. Intell. Neurosci. 2021, 43, 1389–1396. [Google Scholar] [CrossRef]
- Woo, S.; Park, J.; Lee, J.Y.; Kweon, I.S. CBAM: Convolutional block attention module. In Proceedings of the European Conference on Computer Vision, Munich, Germany, 8–14 September 2018; pp. 3–19. [Google Scholar]
- Tenorth, M.; Bandouch, J.; Beetz, M. The TUM kitchen data set of everyday manipulation activities for motion tracking and action recognition. In Proceedings of the 2009 IEEE 12th International Conference on Computer Vision Workshops, Kyoto, Japan, 27 September–4 October 2009; pp. 1089–1096. [Google Scholar] [CrossRef]
- Donahue, J.; Hendricks, L.A.; Guadarrama, S.; Rohrbach, M.; Venugopalan, S. Long-Term Recurrent Convolutional Networks for Visual Recognition and Description. In Proceedings of the IEEE Conference on Computer Vision and Pattern Recognition, Honolulu, Hawaii, 21–26 July 2017; pp. 2625–2634. [Google Scholar] [CrossRef]
- Le, T.M.; Lnoue, N.; Shinoda, K. A Fine-to-Coarse Convolutional Neural Network for 3D Human Action Recognition. In Proceedings of the International Geoscience and Remote Sensing Symposium, Valencia, Spain, 22–27 July 2018; pp. 1984–1987. [Google Scholar] [CrossRef]
- Lin, C.; Xu, C.; Luo, D. Learning salient boundary feature for anchor-free temporal action localization. In Proceedings of the IEEE/CVF Conference on Computer Vision and Pattern Recognition, Nashville, TN, USA, 20–25 June 2021; pp. 3320–3329. [Google Scholar] [CrossRef]
- Remco, D.; Dumas, M.; GarciaBanuelos, L. Graph matching algorithms for business process model similarity search. In Proceedings of the International Conference on Business Process Management, Ulm, Germany, 8–10 September 2009; pp. 48–63. [Google Scholar]











| Event Sequence | Event Name | Event Sequence | Event Name |
|---|---|---|---|
| t1 | Enter the scene | t2 | Take the cutting board |
| t3 | Put the cutting board | t4 | Take the rag |
| t5 | Put the rag | t6 | Take the plate |
| t7 | Put the plate | t8 | Take the spoon |
| t9 | Put the spoon | t10 | Take the cup |
| t11 | Put the cup | t12 | Leave the scene |
| t13 | Take the cutting board and the rag | t14 | Put the cutting board and the rag |
| t15 | Take the plate and the cup | t16 | Put the plate and the cup |
| t17 | Take the fork, knife, and spoon | t18 | Put the Fork, knife, and spoon |
| t19 | Open cupboard | t20 | Take the fork, spoon, and knife |
| t21 | Put the fork, spoon, and knife |
| Iou | 0.3 | 0.5 | 0.7 | |||||||||
| Recall | 35.6% | 37.0% | 24.1% | 1 | 18.5% | 17.4% | 10.3% | 1 | 8.4% | 9.0% | 10.3% | 1 |
| Precision | 94.1% | 71.2% | 50.0% | 14.3% | 71.4% | 57.1% | 21.4% | 14.2% | 30.1% | 35.7% | 21.4% | 14.2% |
| AP | 38.9% | 23.9% | 16.3% |
| Network | Accuracy | Precision | Recall | Average |
|---|---|---|---|---|
| LRCN | 71.3 | 54.5 | 52.8 | 59.5 |
| 3D-ConvNet | 76.2 | 58.2 | 57.0 | 63.8 |
| Two-StreamI3D | 82.0 | 79.3 | 80.4 | 80.5 |
| Two-Stream-CBAM-I3D | 85.2 | 79.3 | 80.2 | 81.5 |
| AFSD | 86.1 | 80.5 | 81.2 | 82.6 |
| Ours | 87.0 | 83.6 | 85.4 | 85.3 |
Disclaimer/Publisher’s Note: The statements, opinions and data contained in all publications are solely those of the individual author(s) and contributor(s) and not of MDPI and/or the editor(s). MDPI and/or the editor(s) disclaim responsibility for any injury to people or property resulting from any ideas, methods, instructions or products referred to in the content. |
© 2023 by the authors. Licensee MDPI, Basel, Switzerland. This article is an open access article distributed under the terms and conditions of the Creative Commons Attribution (CC BY) license (https://creativecommons.org/licenses/by/4.0/).
Share and Cite
Chen, S.; Zou, M.; Cao, R.; Zhao, Z.; Zeng, Q. Video Process Mining and Model Matching for Intelligent Development: Conformance Checking. Sensors 2023, 23, 3812. https://doi.org/10.3390/s23083812
Chen S, Zou M, Cao R, Zhao Z, Zeng Q. Video Process Mining and Model Matching for Intelligent Development: Conformance Checking. Sensors. 2023; 23(8):3812. https://doi.org/10.3390/s23083812
Chicago/Turabian StyleChen, Shuang, Minghao Zou, Rui Cao, Ziqi Zhao, and Qingtian Zeng. 2023. "Video Process Mining and Model Matching for Intelligent Development: Conformance Checking" Sensors 23, no. 8: 3812. https://doi.org/10.3390/s23083812
APA StyleChen, S., Zou, M., Cao, R., Zhao, Z., & Zeng, Q. (2023). Video Process Mining and Model Matching for Intelligent Development: Conformance Checking. Sensors, 23(8), 3812. https://doi.org/10.3390/s23083812
