UAV-Aided Dual-User Wireless Power Transfer: 3D Trajectory Design and Energy Optimization
Abstract
1. Introduction
- This paper gives a brief description of the so-called problem of maximizing the sum-energy for enhancing the energy supply. That is to say, this work focused on maximizing the achievable energy for all ERs during a given charging period by optimizing the UAV’s 3D trajectory.
- This work further optimized the relationship between the UAV’s altitude and time to obtain the UAV’s 3D trajectory according to the results in [18]; in addition, the total harvested energy was calculated with the idea of calculus.
- The theoretical and numerical results demonstrated that the proposed design outperformed the benchmark schemes in terms of higher energy transferred to all ERs.
2. System Model
3. Optimal Trajectory Design
| Algorithm 1: UAV trajectory design algorithm. | 
| Require: Initialize , , P,, , , v Output: , , , 
 | 
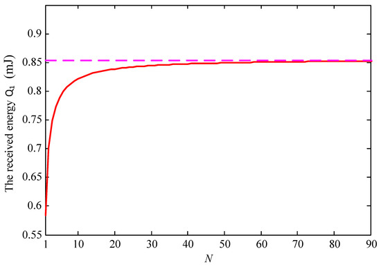
4. Numerical Results
5. Conclusions
Author Contributions
Funding
Institutional Review Board Statement
Informed Consent Statement
Data Availability Statement
Conflicts of Interest
References
- Zeng, Y.; Zhang, R.; Lim, T.J. Wireless communications with unmanned aerial vehicles: Opportunities and challenges. IEEE Commun. Mag. 2016, 54, 36–42. [Google Scholar] [CrossRef]
- Raja, G.; Anbalagan, S.; Ganapathisubramaniyan, A.; Selvakumar, M.S.; Bashir, A.K.; Mumtaz, S. Efficient and secured swarm pattern multi-UAV communication. IEEE Trans. Veh. Technol. 2021, 70, 7050–7058. [Google Scholar] [CrossRef]
- Ribeiro, L.M.B.; Müller, I.; Buss Becker, L. Communication interface manager for improving performance of heterogeneous UAV networks. Sensors 2021, 21, 4255. [Google Scholar] [CrossRef]
- Yan, S.; Hanly, S.V.; Collings, I.B. Optimal transmit power and flying location for UAV covert wireless communications. IEEE J. Sel. Areas Commun. 2021, 39, 3321–3333. [Google Scholar] [CrossRef]
- Sun, G.; Li, J.; Wang, A.; Wu, Q.; Sun, Z.; Liu, Y. Secure and Energy-Efficient UAV Relay Communications Exploiting Collaborative Beamforming. IEEE Trans. Commun. 2022, 70, 5401–5416. [Google Scholar] [CrossRef]
- Li, R.; Xiao, Y.; Yang, P.; Tang, W.; Wu, M.; Gao, Y. UAV-aided two-way relaying for wireless communications of intelligent robot swarms. IEEE Access 2020, 8, 56141–56150. [Google Scholar] [CrossRef]
- Xiong, Z.; Zhang, Y.; Lim, W.Y.B.; Kang, J.; Niyato, D.; Leung, C.; Miao, C. UAV-assisted wireless energy and data transfer with deep reinforcement learning. IEEE Trans. Cogn. Commun. Netw. 2020, 7, 85–99. [Google Scholar] [CrossRef]
- Hernández-González, O.; Guerrero-Sánchez, M.E.; Farza, M.; Ménard, T.; M’Saad, M.; Lozano, R. High gain observer for a class of nonlinear systems with coupled structure and sampled output measurements: Application to a quadrotor. Int. J. Syst. Sci. 2019, 50, 1089–1105. [Google Scholar] [CrossRef]
- Kumar, K.; Kumar, S.; Kaiwartya, O.; Sikandar, A.; Kharel, R.; Mauri, J.L. Internet of unmanned aerial vehicles: QoS provisioning in aerial ad-hoc networks. Sensors 2020, 20, 3160. [Google Scholar] [CrossRef]
- Jha, S.K.; Prakash, S.; Rathore, R.S.; Mahmud, M.; Kaiwartya, O.; Lloret, J. Quality-of-service-centric design and analysis of unmanned aerial vehicles. Sensors 2022, 22, 5477. [Google Scholar] [CrossRef]
- Nguyen, K.K.; Masaracchia, A.; Sharma, V.; Poor, H.V.; Duong, T.Q. RIS-assisted UAV communications for IoT with wireless power transfer using deep reinforcement learning. IEEE J. Sel. Top. Signal Process. 2022, 16, 1086–1096. [Google Scholar] [CrossRef]
- Xia, W.; Rangan, S.; Mezzavilla, M.; Lozano, A.; Geraci, G.; Semkin, V.; Loianno, G. Generative neural network channel modeling for millimeter-wave UAV communication. IEEE Trans. Wireless Commun. 2022, 21, 9417–9431. [Google Scholar] [CrossRef]
- Pan, Y.; Wang, K.; Pan, C.; Zhu, H.; Wang, J. UAV-assisted and intelligent reflecting surfaces-supported terahertz communications. IEEE Wireless Commun. Lett. 2021, 10, 1256–1260. [Google Scholar] [CrossRef]
- Geraci, G.; Garcia-Rodriguez, A.; Azari, M.M.; Lozano, A.; Mezzavilla, M.; Chatzinotas, S.; Chen, Y.; Rangan, S.; Di Renzo, M. What will the future of UAV cellular communications be? A flight from 5G to 6G. IEEE Commun. Surveys Tuts. 2022, 24, 1304–1335. [Google Scholar] [CrossRef]
- Yang, P.; Xiao, Y.; Xiao, M.; Li, S. 6G wireless communications: Vision and potential techniques. IEEE Netw. 2019, 33, 70–75. [Google Scholar] [CrossRef]
- Nguyen, D.C.; Ding, M.; Pathirana, P.N.; Seneviratne, A.; Li, J.; Niyato, D.; Dobre, O.; Poor, H.V. 6G Internet of Things: A comprehensive survey. IEEE Internet Things J. 2021, 9, 359–383. [Google Scholar] [CrossRef]
- Ma, Z.; Xiao, M.; Xiao, Y.; Pang, Z.; Poor, H.V.; Vucetic, B. High-reliability and low-latency wireless communication for internet of things: Challenges, fundamentals, and enabling technologies. IEEE Internet Things J. 2019, 6, 7946–7970. [Google Scholar] [CrossRef]
- Xu, J.; Zeng, Y.; Zhang, R. UAV-enabled wireless power transfer: Trajectory design and energy optimization. IEEE Trans. Wireless Commun. 2018, 17, 5092–5106. [Google Scholar] [CrossRef]
- Hu, Y.; Yuan, X.; Zhang, G.; Schmeink, A. Sustainable wireless sensor networks with UAV-enabled wireless power transfer. IEEE Trans. Veh. Technol. 2021, 70, 8050–8064. [Google Scholar] [CrossRef]
- Xie, L.; Xu, J.; Zhang, R. Throughput maximization for UAV-enabled wireless powered communication networks. IEEE Internet Things J. 2018, 6, 1690–1703. [Google Scholar] [CrossRef]
- Wu, Q.; Xu, J.; Zhang, R. Capacity characterization of UAV-enabled two-user broadcast channel. IEEE J. Sel. Areas Commun. 2018, 36, 1955–1971. [Google Scholar] [CrossRef]
- Xu, J.; Zeng, Y.; Zhang, R. UAV-enabled wireless power transfer: Trajectory design and energy region characterization. In Proceedings of the 2017 IEEE Globecom Workshops (GC Wkshps), Singapore, 4–8 December 2017; pp. 1–7. [Google Scholar]
- Hu, Y.; Yuan, X.; Xu, J.; Schmeink, A. Optimal 1D trajectory design for UAV-enabled multiuser wireless power transfer. IEEE Trans. Commun. 2019, 67, 5674–5688. [Google Scholar] [CrossRef]
- Xu, J.; Zeng, Y.; Zhang, R. UAV-enabled multiuser wireless power transfer: Trajectory design and energy optimization. In Proceedings of the 2017 23rd Asia-Pacific Conference on Communications (APCC), Perth, WA, Australia, 11–13 December 2017; pp. 1–6. [Google Scholar]
- Huang, F.; Chen, J.; Wang, H.; Ding, G.; Xue, Z.; Yang, Y.; Song, F. UAV-assisted SWIPT in Internet of Things with power splitting: Trajectory design and power allocation. IEEE Access 2019, 7, 68260–68270. [Google Scholar] [CrossRef]
- Jiang, M.; Li, Y.; Zhang, Q.; Qin, J. Joint position and time allocation optimization of UAV enabled time allocation optimization networks. IEEE Trans. Commun. 2019, 67, 3806–3816. [Google Scholar] [CrossRef]
- Najmeddin, S.; Bayat, A.; Aïssa, S.; Tahar, S. Energy-efficient resource allocation for UAV-enabled wireless powered communications. In Proceedings of the 2019 IEEE Wireless Communications and Networking Conference (WCNC), Marrakesh, Morocco, 15–18 April 2019; pp. 1–6. [Google Scholar]
- Cho, S.; Lee, K.; Kang, B.; Koo, K.; Joe, I. Weighted harvest-then-transmit: UAV-enabled wireless powered communication networks. IEEE Access 2018, 6, 72212–72224. [Google Scholar] [CrossRef]









| Symbol | Definition | 
|---|---|
| t | Time | 
| The UAV’s time-varying location at time instant t | |
| The channel power gain from the UAV to ER k | |
| The power harvested by ER k | |
| The sum-energy harvested through ER k during the whole UAV-aided WPT period T | |
| Step size | 
| Parameter | Value | 
|---|---|
| UAV’s transmit power | 40 dBm | 
| UAV’s height | 5 m | 
| Channel gain | −30 dB | 
| Safe distance | 1 m | 
| Disclaimer/Publisher’s Note: The statements, opinions and data contained in all publications are solely those of the individual author(s) and contributor(s) and not of MDPI and/or the editor(s). MDPI and/or the editor(s) disclaim responsibility for any injury to people or property resulting from any ideas, methods, instructions or products referred to in the content. | 
© 2023 by the authors. Licensee MDPI, Basel, Switzerland. This article is an open access article distributed under the terms and conditions of the Creative Commons Attribution (CC BY) license (https://creativecommons.org/licenses/by/4.0/).
Share and Cite
Gou, X.; Sun, Z.; Huang, K. UAV-Aided Dual-User Wireless Power Transfer: 3D Trajectory Design and Energy Optimization. Sensors 2023, 23, 2994. https://doi.org/10.3390/s23062994
Gou X, Sun Z, Huang K. UAV-Aided Dual-User Wireless Power Transfer: 3D Trajectory Design and Energy Optimization. Sensors. 2023; 23(6):2994. https://doi.org/10.3390/s23062994
Chicago/Turabian StyleGou, Xiaogang, Zhaojie Sun, and Kaiyuan Huang. 2023. "UAV-Aided Dual-User Wireless Power Transfer: 3D Trajectory Design and Energy Optimization" Sensors 23, no. 6: 2994. https://doi.org/10.3390/s23062994
APA StyleGou, X., Sun, Z., & Huang, K. (2023). UAV-Aided Dual-User Wireless Power Transfer: 3D Trajectory Design and Energy Optimization. Sensors, 23(6), 2994. https://doi.org/10.3390/s23062994
 
        


 
       