Compressive Sensing of Medical Images Based on HSV Color Space
Abstract
1. Introduction
- Proposing a new CS framework by considering HSV color space.
 - Proposing a CS approach by exploiting SS Fourier sampling in the measurement approach.
 - Proposing a CS reconstruction with HSV loops by exploiting SA, BPDN, and the RA enhancement for MRI, WCE, colonoscopy, and eye images.
 
2. Related Methods
3. Overview of CS for Medical Images
4. Proposed Methodology
4.1. HSV
4.2. HSV Loop
4.3. Measurement with Spread Spectrum Fourier Sampling
4.4. SA
4.5. CS Reconstruction
| Algorithm 1: HSV-SARA | 
Input: Measured signal , Sensing matrix , and  norm upper bound  Output: Reconstructed signal  Generate SA basis  Initialization ; whiledo ![]()  | 
5. Experiment Setup
5.1. MRI Images
5.2. WCE Images
5.3. Colonoscopy Images
5.4. Private Eye Images
5.5. CS Quality Metrics
6. Experiment Results
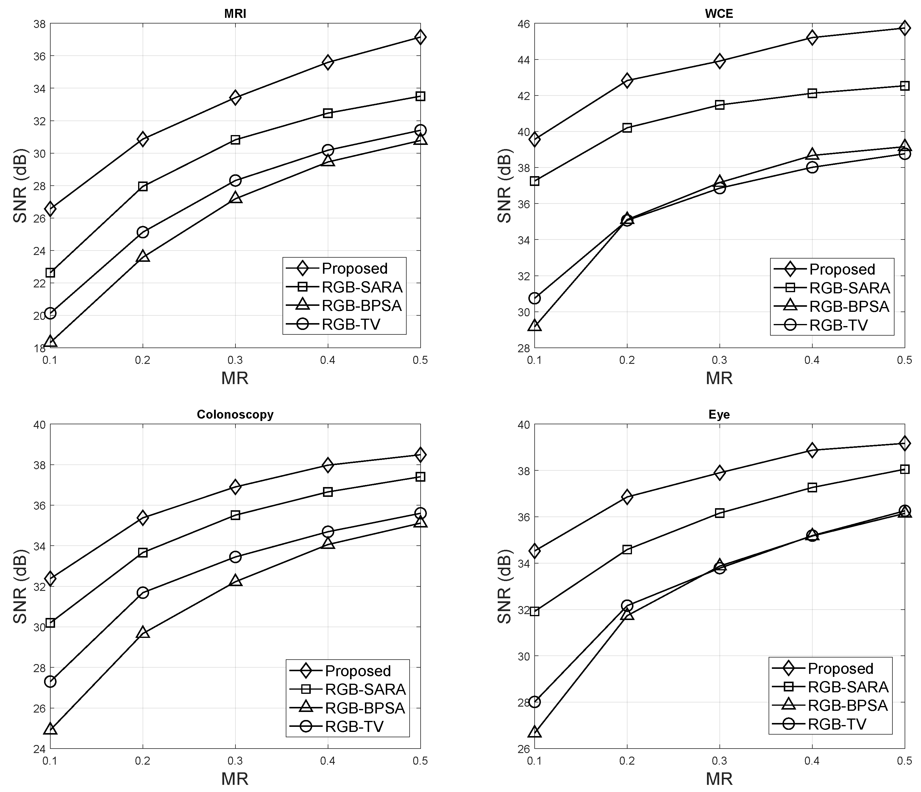
6.1. SNR Results
- Regarding the MRI images, RGB–SARA, RGB–BPSA, and RGB–TV were improved by HSV–SARA, with improvements of 2 dB, 6 dB, and 8 dB, respectively.
 - Regarding the WCE images, HSV–HSV outperformed RGB–SARA, RGB–BPSA, and RGB–TV, with 2 dB, 10 dB, and 11 dB, respectively.
 - Regarding the colonoscopy images, HSV–HSV outperformed RGB–SARA, RGB–BPSA, and RGB–TV, with 2 dB, 5 dB, and 7 dB, respectively.
 - Regarding the eye images, HSV–HSV outperformed RGB–SARA, RGB–BPSA, and RGB–TV, with 2 dB, 6 dB, and 7 dB, respectively.
 
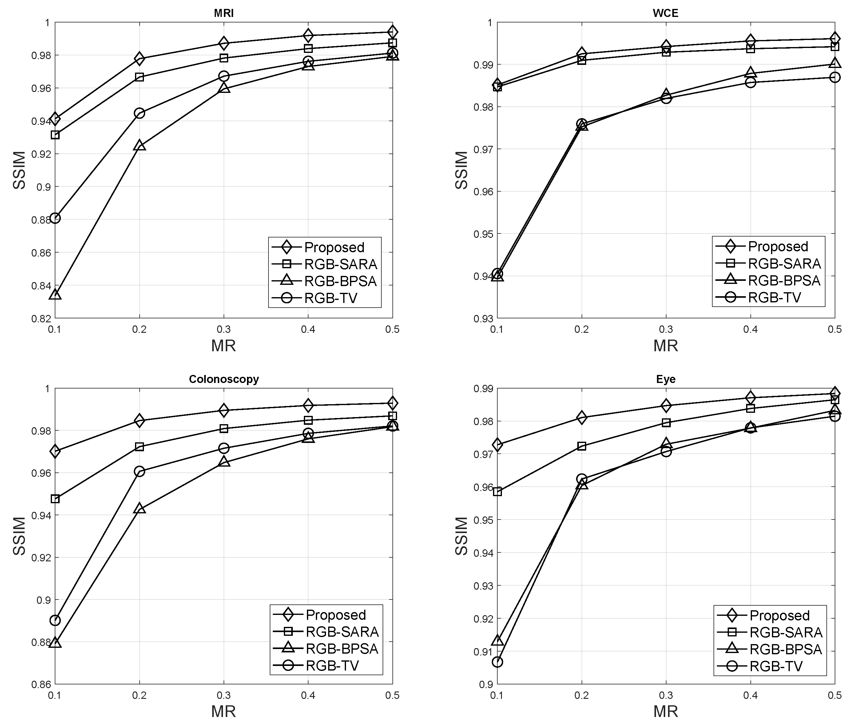
6.2. SSIM Results
- Regarding the MRI images, RGB–SARA, RGB–BPSA, and RGB–TV were improved by HSV–SARA, with improvements of 0.0044, 0.0398, and 0.0238, respectively.
 - Regarding the WCE images, HSV–HSV outperformed RGB–SARA, RGB–BPSA, and RGB–TV, with 0.0234, 0.017, and 0.0428, respectively.
 - Regarding the colonoscopy images, HSV–HSV outperformed RGB–SARA, RGB–BPSA, and RGB–TV, with 0.0114, 0.0370, and 0.0290, respectively.
 - Regarding the eye images, HSV–HSV outperformed RGB–SARA, RGB–BPSA, and RGB–TV, with 0.0068, 0.0216, and 0.0232, respectively.
 
7. Conclusions
Author Contributions
Funding
Institutional Review Board Statement
Informed Consent Statement
Data Availability Statement
Conflicts of Interest
References
- Chahal, P.K.; Pandey, S.; Goel, S. A survey on brain tumor detection techniques for MR images. Multimed. Tools Appl. 2020, 79, 21771–21814. [Google Scholar] [CrossRef]
 - Qin, C.; Li, B.; Han, B. Fast brain tumor detection using adaptive stochastic gradient descent on shared-memory parallel environment. Eng. Appl. Artif. Intell. 2023, 120, 105816. [Google Scholar] [CrossRef]
 - Saeedi, S.; Rezayi, S.; Keshavarz, H.; R Niakan Kalhori, S. MRI-based brain tumor detection using convolutional deep learning methods and chosen machine learning techniques. BMC Med. Inform. Decis. Mak. 2023, 23, 1–17. [Google Scholar] [CrossRef] [PubMed]
 - Asad, R.; Rehman, S.U.; Imran, A.; Li, J.; Almuhaimeed, A.; Alzahrani, A. Computer-Aided Early Melanoma Brain-Tumor Detection Using Deep-Learning Approach. Biomedicines 2023, 11, 184. [Google Scholar] [CrossRef] [PubMed]
 - Tavanapong, W.; Oh, J.; Riegler, M.A.; Khaleel, M.; Mittal, B.; De Groen, P.C. Artificial intelligence for colonoscopy: Past, present, and future. IEEE J. Biomed. Health Inform. 2022, 26, 3950–3965. [Google Scholar] [CrossRef] [PubMed]
 - Ciuti, G.; Skonieczna-Żydecka, K.; Marlicz, W.; Iacovacci, V.; Liu, H.; Stoyanov, D.; Arezzo, A.; Chiurazzi, M.; Toth, E.; Thorlacius, H.; et al. Frontiers of robotic colonoscopy: A comprehensive review of robotic colonoscopes and technologies. J. Clin. Med. 2020, 9, 1648. [Google Scholar] [CrossRef] [PubMed]
 - Sanchez-Peralta, L.F.; Bote-Curiel, L.; Picon, A.; Sanchez-Margallo, F.M.; Pagador, J.B. Deep learning to find colorectal polyps in colonoscopy: A systematic literature review. Artif. Intell. Med. 2020, 108, 101923. [Google Scholar] [CrossRef] [PubMed]
 - Rahim, T.; Usman, M.A.; Shin, S.Y. A survey on contemporary computer-aided tumor, polyp, and ulcer detection methods in wireless capsule endoscopy imaging. Comput. Med Imaging Graph. 2020, 85, 101767. [Google Scholar] [CrossRef]
 - Guo, X.; Yuan, Y. Semi-supervised WCE image classification with adaptive aggregated attention. Med Image Anal. 2020, 64, 101733. [Google Scholar] [CrossRef]
 - Xing, X.; Yuan, Y.; Meng, M.Q.H. Zoom in lesions for better diagnosis: Attention guided deformation network for WCE image classification. IEEE Trans. Med Imaging 2020, 39, 4047–4059. [Google Scholar] [CrossRef]
 - Usman, M.A.; Satrya, G.B.; Usman, M.R.; Shin, S.Y. Detection of small colon bleeding in wireless capsule endoscopy videos. Comput. Med Imaging Graph. 2016, 54, 16–26. [Google Scholar] [CrossRef]
 - Andana, S.N.; Novamizanti, L.; Ramatryana, I.N.A. Measurement of cholesterol conditions of eye image using fuzzy local binary pattern (FLBP) and linear regression. In Proceedings of the 2019 IEEE International Conference on Signals and Systems (ICSigSys), Bandung, Indonesia, 16–18 July 2019; IEEE: Piscataway Township, NJ, USA, 2019; pp. 79–84. [Google Scholar]
 - Nurbani, C.A.; Novamizanti, L.; Ramatryana, I.N.A.; Wardana, N.P.D.P. Measurement of cholesterol levels through eye based on co-occurrence matrix on android. In Proceedings of the 2019 IEEE Asia Pacific Conference on Wireless and Mobile (Apwimob), Bali, Indonesia, 5–7 November 2019; IEEE: Piscataway Township, NJ, USA, 2019; pp. 88–93. [Google Scholar]
 - Raharjo, J.; Novamizanti, L.; Ramatryana, I.N.A. Cholesterol level measurement through iris image using gray level co-occurrence matrix and linear regression. ARPN J. Eng. Appl. Sci. 2019, 14, 3757–3763. [Google Scholar]
 - Cabral, T.W.; Khosravy, M.; Dias, F.M.; Monteiro, H.L.M.; Lima, M.A.A.; Silva, L.R.M.; Naji, R.; Duque, C.A. Compressive sensing in medical signal processing and imaging systems. In Sensors for Health Monitoring; Elsevier: Amsterdam, The Netherlands, 2019; pp. 69–92. [Google Scholar]
 - Majumdar, A.; Ward, R.K. Compressed sensing of color images. Signal Process. 2010, 90, 3122–3127. [Google Scholar] [CrossRef]
 - Anselmi, N.; Oliveri, G.; Hannan, M.A.; Salucci, M.; Massa, A. Color compressive sensing imaging of arbitrary-shaped scatterers. IEEE Trans. Microw. Theory Tech. 2017, 65, 1986–1999. [Google Scholar] [CrossRef]
 - Donoho, D.L. Compressed sensing. IEEE Trans. Inf. Theory 2006, 52, 1289–1306. [Google Scholar] [CrossRef]
 - Candès, E.J.; Wakin, M.B. An introduction to compressive sampling. IEEE Signal Process. Mag. 2008, 25, 21–30. [Google Scholar] [CrossRef]
 - Candès, E.J.; Romberg, J.; Tao, T. Robust uncertainty principles: Exact signal reconstruction from highly incomplete frequency information. IEEE Trans. Inf. Theory 2006, 52, 489–509. [Google Scholar] [CrossRef]
 - Candes, E.J.; Tao, T. Near-optimal signal recovery from random projections: Universal encoding strategies? IEEE Trans. Inf. Theory 2006, 52, 5406–5425. [Google Scholar] [CrossRef]
 - Jacob, M.; Ye, J.C.; Ying, L.; Doneva, M. Computational MRI: Compressive sensing and beyond [from the guest editors]. IEEE Signal Process. Mag. 2020, 37, 21–23. [Google Scholar] [CrossRef]
 - Rahim, T.; Novamizanti, L.; Ramatryana, I.N.A.; Shin, S.Y. Compressed Medical Imaging Based on Average Sparsity Model and Reweighted Analysis of Multiple Basis Pursuit. Comput. Med. Imaging Graph. 2021, 90, 101927. [Google Scholar] [CrossRef]
 - Flores-Vidal, P.; Gómez, D.; Castro, J.; Montero, J. New Aggregation Approaches with HSV to Color Edge Detection. Int. J. Comput. Intell. Syst. 2022, 15, 78. [Google Scholar] [CrossRef]
 - Mandal, S.; Chaudhuri, S.S. Polyps Segmentation using Fuzzy Thresholding in HSV Color Space. In Proceedings of the 2020 IEEE-HYDCON, Hyderabad, India, 11–12 September 2020; IEEE: Piscataway Township, NJ, USA, 2020; pp. 1–5. [Google Scholar]
 - Nisha, J.; Gopi, V.P.; Palanisamy, P. Automated colorectal polyp detection based on image enhancement and dual-path CNN architecture. Biomed. Signal Process. Control 2022, 73, 103465. [Google Scholar] [CrossRef]
 - Puy, G.; Vandergheynst, P.; Wiaux, Y. On variable density compressive sampling. IEEE Signal Process. Lett. 2011, 18, 595–598. [Google Scholar] [CrossRef]
 - Satrya, G.B.; Ramatryana, I.N.A.; Novamizanti, L.; Shin, S.Y. Enhanced RGB-Based Basis Pursuit Sparsity Averaging Using Variable Density Sampling for Compressive Sensing of Eye Images. IEEE Access 2022, 10, 133439–133450. [Google Scholar] [CrossRef]
 - Yu, G.; Sapiro, G. Statistical compressed sensing of Gaussian mixture models. IEEE Trans. Signal Process. 2011, 59, 5842–5858. [Google Scholar] [CrossRef]
 - Nouasria, H.; Et-tolba, M. New constructions of Bernoulli and Gaussian sensing matrices for compressive sensing. In Proceedings of the 2017 International Conference on Wireless Networks and Mobile Communications (WINCOM), Rabat, Morocco, 1–4 November 2017; IEEE: Piscataway Township, NJ, USA, 2017; pp. 1–5. [Google Scholar]
 - Da Poian, G.; Bernardini, R.; Rinaldo, R. Gaussian dictionary for compressive sensing of the ECG signal. In Proceedings of the 2014 IEEE Workshop on Biometric Measurements and Systems for Security and Medical Applications (BIOMS) Proceedings, Rome, Italy, 17 October 2014; IEEE: Piscataway Township, NJ, USA, 2014; pp. 80–85. [Google Scholar]
 - Puy, G.; Vandergheynst, P.; Gribonval, R.; Wiaux, Y. Universal and efficient compressed sensing by spread spectrum and application to realistic Fourier imaging techniques. EURASIP J. Adv. Signal Process. 2012, 2012, 1–13. [Google Scholar] [CrossRef]
 - Chen, S.S.; Donoho, D.L.; Saunders, M.A. Atomic decomposition by basis pursuit. SIAM Rev. 2001, 43, 129–159. [Google Scholar] [CrossRef]
 - Carrillo, R.E.; McEwen, J.D.; Wiaux, Y. Sparsity averaging reweighted analysis (SARA): A novel algorithm for radio-interferometric imaging. Mon. Not. R. Astron. Soc. 2012, 426, 1223–1234. [Google Scholar] [CrossRef]
 - Stanković, L.; Brajović, M. Analysis of the reconstruction of sparse signals in the DCT domain applied to audio signals. IEEE/ACM Trans. Audio Speech Lang. Process. 2018, 26, 1220–1235. [Google Scholar] [CrossRef]
 - Stanković, L.; Brajović, M.; Stanković, I.; Ioana, C.; Daković, M. Reconstruction error in nonuniformly sampled approximately sparse signals. IEEE Geosci. Remote Sens. Lett. 2020, 18, 28–32. [Google Scholar] [CrossRef]
 - Stankovic, L.; Stankovic, I.; Dakovic, M. Nonsparsity influence on the ISAR recovery from reduced data [Correspondence]. IEEE Trans. Aerosp. Electron. Syst. 2016, 52, 3065–3070. [Google Scholar] [CrossRef]
 - Yang, S.; Wang, M.; Li, P.; Jin, L.; Wu, B.; Jiao, L. Compressive hyperspectral imaging via sparse tensor and nonlinear compressed sensing. IEEE Trans. Geosci. Remote Sens. 2015, 53, 5943–5957. [Google Scholar] [CrossRef]
 - Hanumanth, P.; Bhavana, P.; Subbarayappa, S. Application of deep learning and compressed sensing for reconstruction of images. In Proceedings of the Journal of Physics: Conference Series; IOP Publishing: Bristol, UK, 2020; Volume 1706, p. 012068. [Google Scholar]
 - Yang, Y.; Sun, J.; Li, H.; Xu, Z. ADMM-CSNet: A deep learning approach for image compressive sensing. IEEE Trans. Pattern Anal. Mach. Intell. 2018, 42, 521–538. [Google Scholar] [CrossRef]
 - Canh, T.N.; Jeon, B. Multi-Scale Deep Compressive Imaging. IEEE Trans. Comput. Imaging 2020, 7, 86–97. [Google Scholar] [CrossRef]
 - Mardani, M.; Gong, E.; Cheng, J.Y.; Vasanawala, S.S.; Zaharchuk, G.; Xing, L.; Pauly, J.M. Deep generative adversarial neural networks for compressive sensing MRI. IEEE Trans. Med Imaging 2018, 38, 167–179. [Google Scholar] [CrossRef]
 - Yuan, Z.; Jiang, M.; Wang, Y.; Wei, B.; Li, Y.; Wang, P.; Menpes-Smith, W.; Niu, Z.; Yang, G. SARA-GAN: Self-Attention and Relative Average Discriminator Based Generative Adversarial Networks for Fast Compressed Sensing MRI Reconstruction. Front. Neuroinformatics 2020, 14, 611666. [Google Scholar] [CrossRef]
 - Carrillo, R.E.; McEwen, J.D.; Van De Ville, D.; Thiran, J.P.; Wiaux, Y. Sparsity averaging for compressive imaging. IEEE Signal Process. Lett. 2013, 20, 591–594. [Google Scholar] [CrossRef]
 - Rahim, T.; Novamizanti, L.; Ramatryana, I.N.A.; Shin, S.Y.; Kim, D.S. Total variant based average sparsity model with reweighted analysis for compressive sensing of computed tomography. IEEE Access 2021, 9, 119158–119170. [Google Scholar] [CrossRef]
 - Magdalena, R.; Rahim, T.; Pratama, I.P.A.E.; Novamizanti, L.; Ramatryana, I.N.A.; Raja, A.Y.; Shin, S.Y. RGB-based compressed medical imaging using sparsity averaging reweighted analysis for wireless capsule endoscopy images. IEEE Access 2021, 9, 147091–147101. [Google Scholar] [CrossRef]
 - Rahim, T.; Magdalena, R.; Pratama, I.P.A.E.; Novamizanti, L.; Ramatryana, I.N.A.; Shin, S.Y.; Kim, D.S. Basis pursuit with sparsity averaging for compressive sampling of iris images. IEEE Access 2022, 10, 13728–13737. [Google Scholar] [CrossRef]
 - Novamizanti, L.; Ramatryana, I.N.A.; Magdalena, R.; Pratama, I.P.A.E.; Rahim, T.; Shin, S.Y. Compressive Sampling of Color Retinal Image Using Spread Spectrum Fourier Sampling and Total Variant. IEEE Access 2022, 10, 42198–42207. [Google Scholar] [CrossRef]
 - Menze, B.H.; Jakab, A.; Bauer, S.; Kalpathy-Cramer, J.; Farahani, K.; Kirby, J.; Burren, Y.; Porz, N.; Slotboom, J.; Wiest, R.; et al. The multimodal brain tumor image segmentation benchmark (BRATS). IEEE Trans. Med Imaging 2014, 34, 1993–2024. [Google Scholar] [CrossRef] [PubMed]
 - Kistler, M.; Bonaretti, S.; Pfahrer, M.; Niklaus, R.; Büchler, P. The virtual skeleton database: An open access repository for biomedical research and collaboration. J. Med Internet Res. 2013, 15, e245. [Google Scholar] [CrossRef] [PubMed]
 - Bernal, J.; Sánchez, F.J.; Fernández-Esparrach, G.; Gil, D.; Rodríguez, C.; Vilariño, F. WM-DOVA maps for accurate polyp highlighting in colonoscopy: Validation vs. saliency maps from physicians. Comput. Med Imaging Graph. 2015, 43, 99–111. [Google Scholar] [CrossRef] [PubMed]
 






| Ref | Method Name | Sparsity | Reconstruction | Medical Modality | Color | 
|---|---|---|---|---|---|
| [44] | SARA | SA | BPDN with RA | MRI | Grayscale | 
| [23] | M-BRA | Multi-SA | BPDN with RA | MRI, CT, WCE, Colonoscopy | Grayscale | 
| [45] | TV-SARA | SA | TVDN with RA | CT | Grayscale | 
| [46] | RGB-SARA | SA | BPDN with RA | WCE | RGB | 
| [47] | RGB-BPSA | SA | BPDN | Eye | RGB | 
| [48] | RGB-TV | - | TVDN | Eye | RGB | 
| This article | HSV-SARA | SA | BPDN with RA | MRI, WCE, Colonoscopy, Eye | HSV | 
| H | S | V | R | G | B | |
|---|---|---|---|---|---|---|
| Min | 0 | 0 | 0 | 0 | 0 | 0 | 
| Max | 360 | 100 | 100 | 255 | 255 | 255 | 
Disclaimer/Publisher’s Note: The statements, opinions and data contained in all publications are solely those of the individual author(s) and contributor(s) and not of MDPI and/or the editor(s). MDPI and/or the editor(s) disclaim responsibility for any injury to people or property resulting from any ideas, methods, instructions or products referred to in the content.  | 
© 2023 by the authors. Licensee MDPI, Basel, Switzerland. This article is an open access article distributed under the terms and conditions of the Creative Commons Attribution (CC BY) license (https://creativecommons.org/licenses/by/4.0/).
Share and Cite
Satrya, G.B.; Ramatryana, I.N.A.; Shin, S.Y. Compressive Sensing of Medical Images Based on HSV Color Space. Sensors 2023, 23, 2616. https://doi.org/10.3390/s23052616
Satrya GB, Ramatryana INA, Shin SY. Compressive Sensing of Medical Images Based on HSV Color Space. Sensors. 2023; 23(5):2616. https://doi.org/10.3390/s23052616
Chicago/Turabian StyleSatrya, Gandeva Bayu, I Nyoman Apraz Ramatryana, and Soo Young Shin. 2023. "Compressive Sensing of Medical Images Based on HSV Color Space" Sensors 23, no. 5: 2616. https://doi.org/10.3390/s23052616
APA StyleSatrya, G. B., Ramatryana, I. N. A., & Shin, S. Y. (2023). Compressive Sensing of Medical Images Based on HSV Color Space. Sensors, 23(5), 2616. https://doi.org/10.3390/s23052616
        

