Pulsed Photothermal Radiometric Depth Profiling of Bruises by 532 nm and 1064 nm Lasers
Abstract
1. Introduction
2. Materials and Methods
3. Results
3.1. Bruise #1—PPTR Signals
3.2. Bruise #1—Inversely Reconstructed Initial Temperature–Depth Profiles
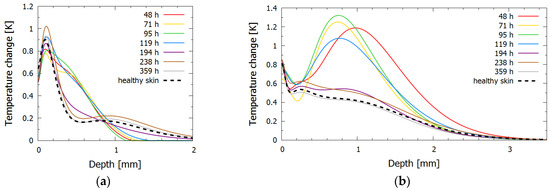
3.3. Bruise #2—Inversely Reconstructed Initial Temperature–Depth Profiles
3.4. Bruise #3—Inversely Reconstructed Initial Temperature–Depth Profiles
3.5. Bruises #1 through #8—Integral under the Curve (IUC)
4. Discussion
5. Conclusions
Author Contributions
Funding
Institutional Review Board Statement
Informed Consent Statement
Data Availability Statement
Acknowledgments
Conflicts of Interest
Abbreviations
| PPTR | pulsed photothermal radiometry | 
| KTP | potassium titanyl phosphate | 
| Nd:YAG | neodymium-doped yttrium aluminum garnet | 
| DRS | diffuse reflectance spectroscopy | 
| HSI | hyperspectral imaging | 
| NIR | near-infrared | 
| IUC | integral under curve | 
| MRI | magnetic resonance imaging | 
| US | ultrasound | 
| OCT | optical coherence tomography | 
References
- Langlois, N.E. The science behind the quest to determine the age of bruises-a review of the English language literature. Forensic. Sci. Med. Pathol. 2007, 3, 241–251. [Google Scholar] [CrossRef] [PubMed]
- Maguire, S.; Mann, M.; Sibert, J.; Kemp, A. Can you age bruises accurately in children? A systematic review. Arch. Dis. Child. 2005, 90, 187–189. [Google Scholar] [CrossRef] [PubMed]
- Grossman, S.; Johnston, A.; Vanezis, P.; Perrett, D. Can we assess the age of bruises? An attempt to develop an objective technique. Med. Sci. Law 2011, 51, 170–176. [Google Scholar] [CrossRef]
- Pilling, M.; Vanezis, P.; Perrett, D.; Johnston, A. Visual assessment of the timing of bruising by forensic experts. J. Forensic Leg. Med. 2010, 17, 143–149. [Google Scholar] [CrossRef] [PubMed]
- Yajima, Y.; Funayama, M. Spectrophotometric and tristimulus analysis of the colors of subcutaneous bleeding in living persons. Forensic Sci. Int. 2006, 156, 131–137. [Google Scholar] [CrossRef] [PubMed]
- Scafide, K.; Sheridan, D.; Campbell, J.; DeLeon, V.; Hayat, M. Evaluating change in bruise colorimetry and the effect of subject characteristics over time. Forensic Sci. Med. Pathol. 2013, 9, 367–376. [Google Scholar] [CrossRef]
- Scafide, K.; Sheridan, D.; Taylor, L.; Hayat, M. Reliability of tristimulus colourimetry in the assessment of cutaneous bruise colour. Inj.-Int. J. Care Inj. 2016, 47, 1258–1263. [Google Scholar] [CrossRef]
- Mesli, V.; Le Garff, E.; Marchand, E.; Labreuche, J.; Ramdane, N.; Maynou, C.; Delannoy, Y.; Hedouin, V. Determination of the age of bruises using a bilirubinometer. Forensic Sci. Int. 2019, 302, 109831. [Google Scholar] [CrossRef]
- Black, H.; Coupaud, S.; Daeid, N.; Riches, P. On the relationships between applied force, photography technique, and the quantification of bruise appearance. Forensic Sci. Int. 2019, 305, 109998. [Google Scholar] [CrossRef]
- Hughes, V.; Langlois, N. Use of reflectance spectrophotometry and colorimetry in a general linear model for the determination of the age of bruises. Forensic Sci. Med. Pathol. 2010, 6, 275–281. [Google Scholar] [CrossRef]
- Randeberg, L.; Haugen, O.; Haaverstad, R.; Svaasand, L. A novel approach to age determination of traumatic injuries by reflectance spectroscopy. Lasers Surg. Med. 2006, 38, 277–289. [Google Scholar] [CrossRef]
- Sprigle, S.; Yi, D.; Caspall, J.; Linden, M.; Kong, L.; Duckworth, M. Multispectral image analysis of bruise age. Proc. SPIE 2007, 6514, 888–895. [Google Scholar] [CrossRef]
- Randeberg, L.; Larsen, E.; Svaasand, L. Characterization of vascular structures and skin bruises using hyperspectral imaging, image analysis and diffusion theory. J. Biophotonics 2010, 3, 53–65. [Google Scholar] [CrossRef] [PubMed]
- Randeberg, L.; Hernandez-Palacios, J.; Kollias, N.; Choi, B.; Zeng, H.; Kang, H.; Knudsen, B.; Wong, B.; Ilgner, J.; Izdebski, K.; et al. Hyperspectral Imaging of Bruises in the SWIR Spectral Region. Photonic Ther. Diagn. VIII Pts 1 2 2012, 8207, 129–138. [Google Scholar] [CrossRef]
- Stam, B.; van Gemert, M.; van Leeuwen, T.; Teeuw, A.; van der Wal, A.; Aalders, M. Can color inhomogeneity of bruises be used to establish their age? J. Biophotonics 2011, 4, 759–767. [Google Scholar] [CrossRef] [PubMed]
- Hashemi, S.; Bahrani, S.; Mousavi, S.; Omidifar, N.; Behbahan, N.; Arjmand, M.; Ramakrishna, S.; Lankarani, K.; Moghadami, M.; Shokripour, M.; et al. Ultra-precise label-free nanosensor based on integrated graphene with Au nanostars toward direct detection of IgG antibodies of SARS-CoV-2 in blood. J. Electroanal. Chem. 2021, 894, 115341. [Google Scholar] [CrossRef] [PubMed]
- Milner, T.; Goodman, D.; Tanenbaum, B.; Nelson, J. Depth profiling of laser-heated chromophores in biological tissues by pulsed photothermal radiometry. J. Opt. Soc. Am. A-Opt. Image Sci. Vis. 1995, 12, 1479–1488. [Google Scholar] [CrossRef]
- Majaron, B.; Sustercic, D.; Lukac, M.; Skaleric, U.; Funduk, N. Heat diffusion and debris screening in Er: YAG laser ablation of hard biological tissues. Appl. Phys. B-Lasers Opt. 1998, 66, 479–487. [Google Scholar] [CrossRef]
- Majaron, B.; Plestenjak, P.; Lukac, M. Thermo-mechanical laser ablation of soft biological tissue: Modeling the micro-explosions. Appl. Phys. B-Lasers Opt. 1999, 69, 71–80. [Google Scholar] [CrossRef]
- Majaron, B.; Verkruysse, W.; Tanenbaum, B.; Milner, T.; Telenkov, S.; Goodman, D.; Nelson, J. Combining two excitation wavelengths for pulsed photothermal profiling of hypervascular lesions in human skin. Phys. Med. Biol. 2000, 45, 1913–1922. [Google Scholar] [CrossRef]
- Fomina, P.; Proskurnin, M. Photothermal radiometry methods in materials science and applied chemical research. J. Appl. Phys. 2022, 132, 040701. [Google Scholar] [CrossRef]
- Marin, A.; Verdel, N.; Milanič, M.; Majaron, B. Noninvasive Monitoring of Dynamical Processes in Bruised Human Skin Using Diffuse Reflectance Spectroscopy and Pulsed Photothermal Radiometry. Sensors 2021, 21, 302. [Google Scholar] [CrossRef] [PubMed]
- Milanic, M.; Sersa, I.; Majaron, B. A spectrally composite reconstruction approach for improved resolution of pulsed photothermal temperature profiling in water-based samples. Phys. Med. Biol. 2009, 54, 2829–2844. [Google Scholar] [CrossRef]
- Wang, T.; Mallidi, S.; Qiu, J.; Ma, L.; Paranjape, A.; Sun, J.; Kuranov, R.; Johnston, K.; Milner, T. Comparison of pulsed photothermal radiometry, optical coherence tomography and ultrasound for melanoma thickness measurement in PDMS tissue phantoms. J. Biophotonics 2011, 4, 335–344. [Google Scholar] [CrossRef]
- Milanic, M.; Majaron, B.; Nelson, J. Pulsed photothermal temperature profiling of agar tissue phantoms. Lasers Med. Sci. 2007, 22, 279–284. [Google Scholar] [CrossRef]
- Verdel, N.; Marin, A.; Milanic, M.; Majaron, B. Physiological and structural characterization of human skin in vivo using combined photothermal radiometry and diffuse reflectance spectroscopy. Biomed. Opt. Express 2019, 10, 944–960. [Google Scholar] [CrossRef]
- Jacques, S.; Nelson, J.; Wright, W.; Milner, T. Pulsed photothermal radiometry of port-wine-stain lessions. Appl. Opt. 1993, 32, 2439–2446. [Google Scholar] [CrossRef]
- Milner, T.; Smithies, D.; Goodman, D.; Lau, A.; Nelson, J. Depth determination of chromophores in human skin by pulsed photothermal radiometry. Appl. Opt. 1996, 35, 3379–3385. [Google Scholar] [CrossRef]
- Vidovic, L.; Milanic, M.; Randeberg, L.; Majaron, B.; Vitkin, A.; Amelink, A. Characterization of the bruise healing process using pulsed photothermal radiometry. Nov. Biophotonic Tech. Appl. II 2013, 8801, 880104-01–880104-10. [Google Scholar] [CrossRef]
- Vidovic, L.; Milanic, M.; Majaron, B. Objective characterization of bruise evolution using photothermal depth profiling and Monte Carlo modeling. J. Biomed. Opt. 2015, 20, 017001. [Google Scholar] [CrossRef] [PubMed]
- Marin, A.; Verdel, N.; Vidovič, L.; Milanič, M.; Majaron, B. Assessment of individual bruising dynamics by pulsed photothermal radiometry and inverse Monte Carlo analysis. In Proceedings of the European Conference on Biomedical Optics, Munich, Germany, 25–29 June 2017; p. 104130P. [Google Scholar]
- Milanic, M.; Majaron, B. Energy deposition profile in human skin upon irradiation with a 1,342 nm Nd:YAP laser. Lasers Surg. Med. 2013, 45, 8–14. [Google Scholar] [CrossRef] [PubMed]
- Ly, B.; Dyer, E.; Feig, J.; Chien, A.; Del Bino, S. Research Techniques Made Simple: Cutaneous Colorimetry: A Reliable Technique for Objective Skin Color Measurement. J. Investig. Dermatol. 2020, 140, 3. [Google Scholar] [CrossRef]
- Stergar, J.; Hren, R.; Milanic, M. Design and Validation of a Custom-Made Laboratory Hyperspectral Imaging System for Biomedical Applications Using a Broadband LED Light Source. Sensors 2022, 22, 6274. [Google Scholar] [CrossRef] [PubMed]
- Bashkatov, A.; Genina, E.; Kochubey, V.; Tuchin, V. Optical properties of human skin, subcutaneous and mucous tissues in the wavelength range from 400 to 2000 nm. J. Phys. D-Appl. Phys. 2005, 38, 2543–2555. [Google Scholar] [CrossRef]
- Guyton, A.; Hall, J. Textbook of Medical Physiology, 11th ed.; Saunders Co.: Christchurch, New Zealand, 2006. [Google Scholar]
- Langlois, N.; Gresham, G. The ageing of bruises: A review and study of the colour changes with time. Forensic Sci. Int. 1991, 50, 227–238. [Google Scholar] [CrossRef] [PubMed]
- Vargas, O.; Chan, E.; Barton, J.; Rylander, H.; Welch, A. Use of an agent to reduce scattering in skin. Lasers Surg. Med. 1999, 24, 133–141. [Google Scholar] [CrossRef]
- Kanick, S.; van der Leest, C.; Aerts, J.; Hoogsteden, H.; Kascakova, S.; Sterenborg, H.; Amelink, A. Integration of single-fiber reflectance spectroscopy into ultrasound-guided endoscopic lung cancer staging of mediastinal lymph nodes. J. Biomed. Opt. 2010, 15, 017004. [Google Scholar] [CrossRef]
- Bydlon, T.; Nachabe, R.; Ramanujam, N.; Sterenborg, H.; Hendriks, B. Chromophore based analyses of steady-state diffuse reflectance spectroscopy: Current status and perspectives for clinical adoption. J. Biophotonics 2015, 8, 9–24. [Google Scholar] [CrossRef]
- Cox, W.A. Pathology of Blunt Force Traumatic Injury. Available online: https://forensicmd.files.wordpress.com/2011/05/blunt-force-traumatic-injuries.pdf (accessed on 14 December 2018).
- Barington, K.; Skovgaard, K.; Henriksen, N.; Johansen, A.; Jensen, H. The intensity of the inflammatory response in experimental porcine bruises depends on time, anatomical location and sampling site. J. Forensic Leg. Med. 2018, 58, 130–139. [Google Scholar] [CrossRef]
- Stam, B.; van Gemert, M.; van Leeuwen, T.; Aalders, M. How the blood pool properties at onset affect the temporal behavior of simulated bruises. Med. Biol. Eng. Comput. 2012, 50, 165–171. [Google Scholar] [CrossRef]
- Mustafa, F.; Jaafar, M. Comparison of wavelength-dependent penetration depths of lasers in different types of skin in photodynamic therapy. Indian J. Phys. 2013, 87, 203–209. [Google Scholar] [CrossRef]
- Jacques, S. Optical properties of biological tissues: A review. Phys. Med. Biol. 2013, 58, R37–R61. [Google Scholar] [CrossRef] [PubMed]
- Marin, A.; Milanič, M.; Verdel, N.; Vidovič, L.; Majaron, B. Dynamics of controllably induced bruises assessed by diffuse reflectance spectroscopy and pulsed photothermal radiometry. Proc. SPIE 2018, 10467, 104670N. [Google Scholar] [CrossRef]
- Langlois, N.; Ross, C.; Byard, R. Magnetic resonance imaging (MRI) of bruises: A pilot study. Forensic Sci. Med. Pathol. 2013, 9, 363–366. [Google Scholar] [CrossRef]
- Hassler, E.; Ogris, K.; Petrovic, A.; Neumayer, B.; Widek, T.; Yen, K.; Scheurer, E. Contrast of artificial subcutaneous hematomas in MRI over time. Int. J. Leg. Med. 2015, 129, 317–324. [Google Scholar] [CrossRef] [PubMed]
- Barral, J.; Bangerter, N.; Hu, B.; Nishimura, D. In Vivo High-Resolution Magnetic Resonance Skin Imaging at 1.5 T and 3 T. Magn. Reson. Med. 2010, 63, 790–796. [Google Scholar] [CrossRef]
- Mimasaka, S.; Oshima, T.; Ohtani, M. Characterization of bruises using ultrasonography for potential application in diagnosis of child abuse. Leg. Med. 2012, 14, 6–10. [Google Scholar] [CrossRef]
- Helm, T.; Bir, C.; Chilstrom, M.; Claudius, I. Ultrasound characteristics of bruises and their correlation to cutaneous appearance. Forensic Sci. Int. 2016, 266, 160–163. [Google Scholar] [CrossRef] [PubMed]
- Olsen, J.; Holmes, J.; Jemec, G. Advances in optical coherence tomography in dermatology-a review. J. Biomed. Opt. 2018, 23, 040901-10. [Google Scholar] [CrossRef]
- Eikje, N.; Ozaki, Y.; Aizawa, K.; Arase, S. Fiber optic near-infrared Raman spectroscopy for clinical noninvasive determination of water content in diseased skin and assessment of cutaneous edema. J. Biomed. Opt. 2005, 10, 14013. [Google Scholar] [CrossRef]








| Colorimetry [7,33] | DRS [11] | HSI [15,34] | PPTR [30] | |
|---|---|---|---|---|
| Measurement | L*a*b* color space values | Diffuse reflectance spectrum | Diffuse reflectance spectrum | Radiometric signal | 
| Chromophore quantification | Skin color | All chromophore concentrations | All chromophore concentrations | Melanin and blood content | 
| Lateral resolution | Point-wise measurement | Point-wise measurement | ~0.1 mm | Point-wise measurement | 
| Sensitivity to chromophore depth distribution | Poor | Poor | Poor | High | 
| Disclaimer/Publisher’s Note: The statements, opinions and data contained in all publications are solely those of the individual author(s) and contributor(s) and not of MDPI and/or the editor(s). MDPI and/or the editor(s) disclaim responsibility for any injury to people or property resulting from any ideas, methods, instructions or products referred to in the content. | 
© 2023 by the authors. Licensee MDPI, Basel, Switzerland. This article is an open access article distributed under the terms and conditions of the Creative Commons Attribution (CC BY) license (https://creativecommons.org/licenses/by/4.0/).
Share and Cite
Marin, A.; Hren, R.; Milanič, M. Pulsed Photothermal Radiometric Depth Profiling of Bruises by 532 nm and 1064 nm Lasers. Sensors 2023, 23, 2196. https://doi.org/10.3390/s23042196
Marin A, Hren R, Milanič M. Pulsed Photothermal Radiometric Depth Profiling of Bruises by 532 nm and 1064 nm Lasers. Sensors. 2023; 23(4):2196. https://doi.org/10.3390/s23042196
Chicago/Turabian StyleMarin, Ana, Rok Hren, and Matija Milanič. 2023. "Pulsed Photothermal Radiometric Depth Profiling of Bruises by 532 nm and 1064 nm Lasers" Sensors 23, no. 4: 2196. https://doi.org/10.3390/s23042196
APA StyleMarin, A., Hren, R., & Milanič, M. (2023). Pulsed Photothermal Radiometric Depth Profiling of Bruises by 532 nm and 1064 nm Lasers. Sensors, 23(4), 2196. https://doi.org/10.3390/s23042196
 
        



 
       