Optimizing Resources and Increasing the Coverage of Internet-of-Things (IoT) Networks: An Approach Based on LoRaWAN
Abstract
1. Introduction
1.1. Related Works
1.2. Paper Objectives and Contributions
2. Preliminaries
3. The Demanded LoRaWAN Repeater
4. Simulation Model
4.1. Configuration Parameters Used in the Model
4.2. Packet Structure
4.3. Energy Consumption Model
5. Optimization System Model
5.1. Definition of the Initial Solution
| Algorithm 1 Pseudo-code of Randomized Prim |
| Require: and adjacency matrix for all edges ;
|
5.2. Optimization of Resources
| Algorithm 2 Pseudo-code of a BVNS |
Require:s (Initial Solution), (number of neighborhood structures), .
|
- Randomly chooses a network point and assigns a pair of and to it;
- Exchanges the root of the tree with another randomly chosen network point;
- Changes a connection in the graph, randomly chooses a level 3 point (end-device) and connects it to another point of level 2 (repeater) or level 1 (Gateway);
- Chooses any point of level 2 or 1, that has an associated schedule of transmission; select the of this schedule that has the largest number of allocated time slots; randomly chose a node with this and assign it a different value.
5.3. The Objective Function Considered in this Work
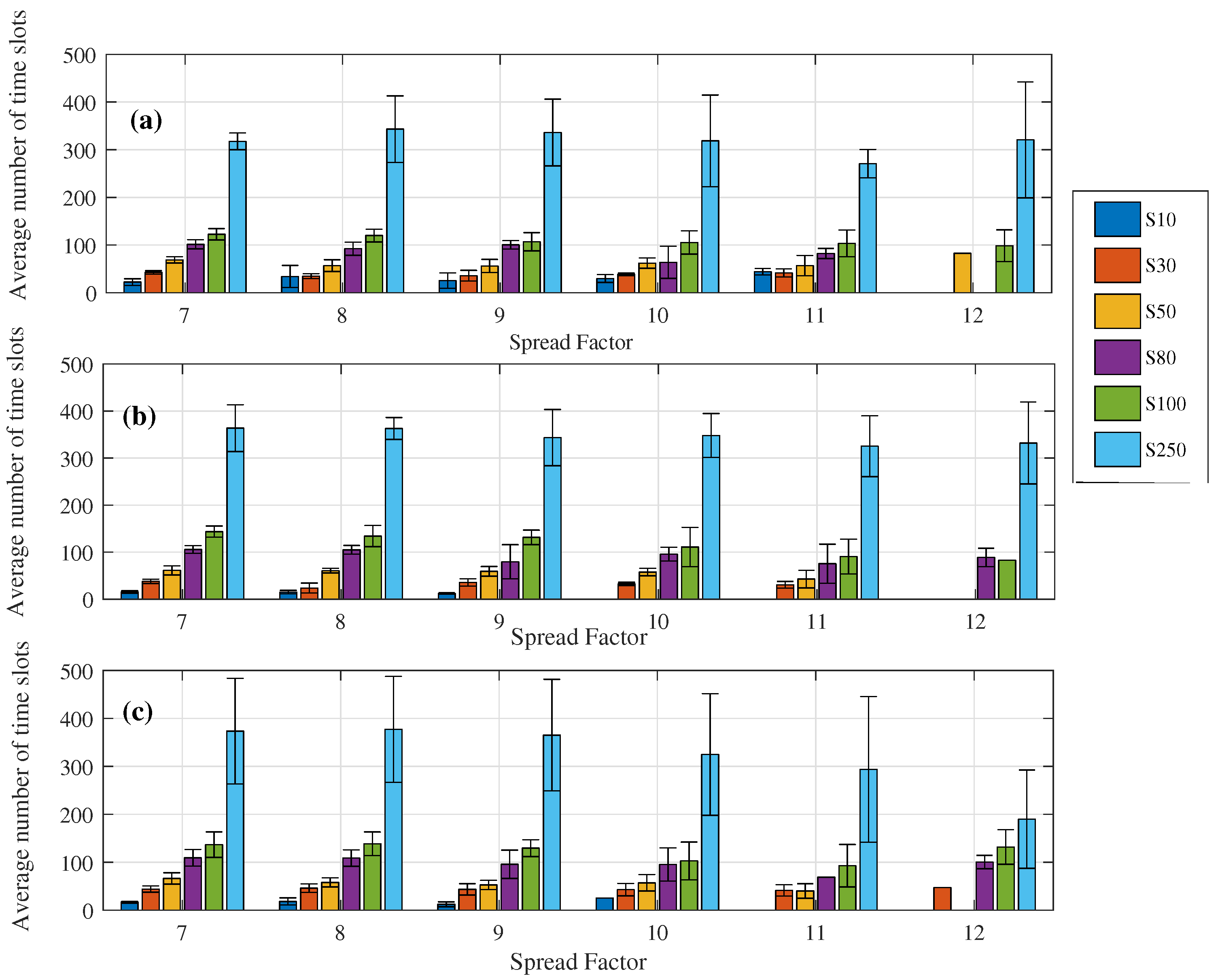
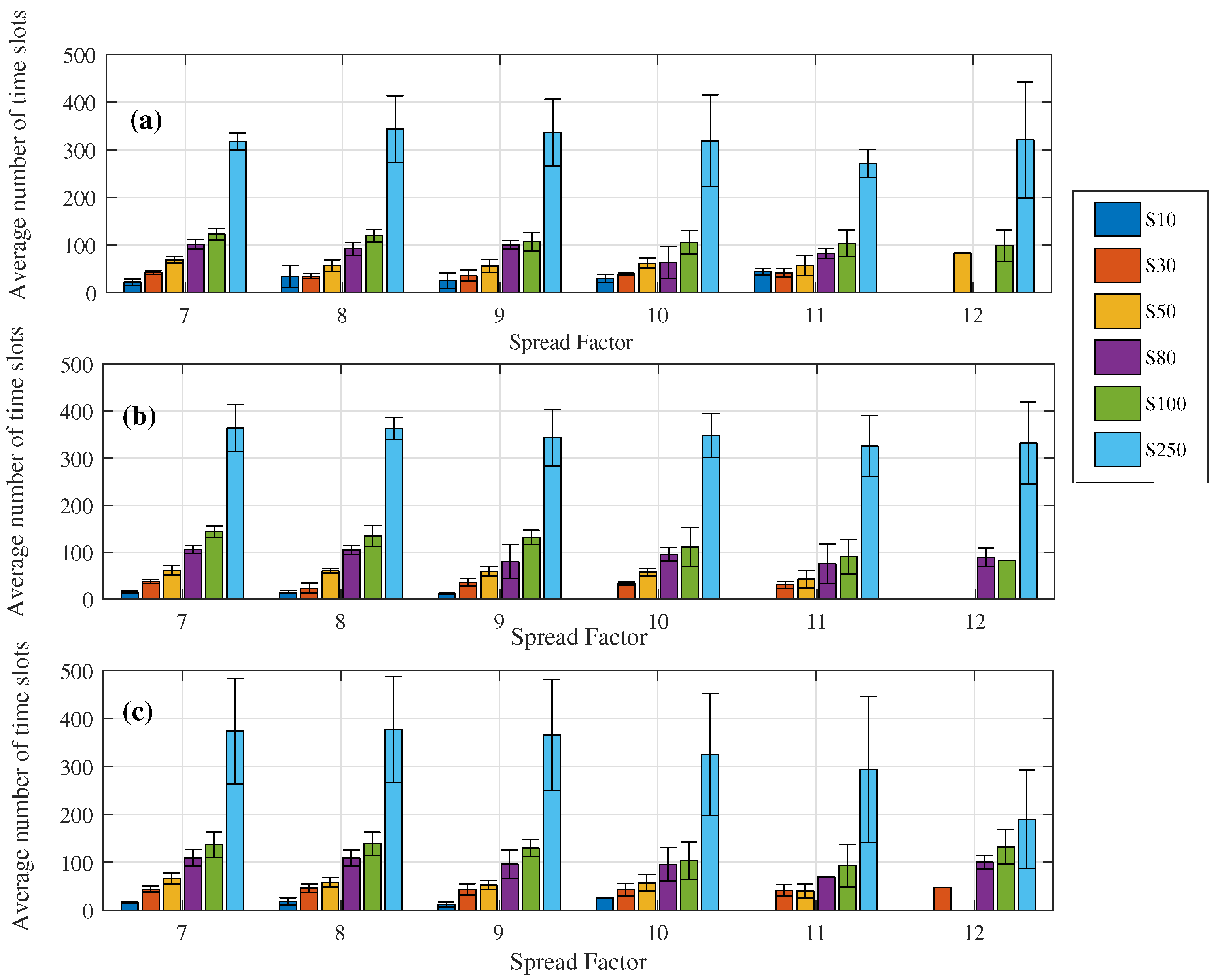
6. Performance Evaluation of the Optimization
6.1. Evaluation of , and Transmission Rate ()
6.2. Evaluation of Device Scaling
7. Results and Discussion
8. Conclusions and Future Works
Author Contributions
Funding
Institutional Review Board Statement
Informed Consent Statement
Data Availability Statement
Acknowledgments
Conflicts of Interest
References
- Navarro-Ortiz, J.; Romero-Diaz, P.; Sendra, S.; Ameigeiras, P.; Ramos-Munoz, J.J.; Lopez-Soler, J.M. A survey on 5G usage scenarios and traffic models. IEEE Commun. Surv. Tutor. 2020, 22, 905–929. [Google Scholar] [CrossRef]
- Schaffers, H.; Komninos, N.; Pallot, M.; Trousse, B.; Nilsson, M.; Oliveira, A. Smart cities and the future internet: Towards cooperation frameworks for open innovation. In The Future Internet Assembly; Springer: Berlin, Germany, 2011; pp. 431–446. [Google Scholar]
- Khan, Z.; Lehtomaki, J.J.; Iellamo, S.I.; Vuohtoniemi, R.; Hossain, E.; Han, Z. IoT connectivity in radar bands: A shared access model based on spectrum measurements. IEEE Commun. Mag. 2017, 55.2, 88–96. [Google Scholar] [CrossRef]
- Moraes, R.E.; dos Reis, W.W.; Rocha, H.R.O.; Coura, D.J. Power-efficient and interference-free link scheduling algorithms for connected wireless sensor networks. Wirel. Netw. 2017, 26, 3099–3118. [Google Scholar] [CrossRef]
- Augustin, A.; Yi, J.; Clausen, T.; Townsley, W.M. A study of LoRa: Long range & low power networks for the internet of things. Sensors 2016, 16.9, 1466. [Google Scholar]
- Morin, E.; Maman, M.; Guizzetti, R.; Duda, A. Comparison of the device lifetime in wireless networks for the internet of things. IEEE Access 2017, 5, 7097–7114. [Google Scholar] [CrossRef]
- Bor, M.; Roedig, U. LoRa transmission parameter selection. In Proceedings of the 13th International Conference on Distributed Computing in Sensor Systems (DCOSS), Ottawa, ON, Canada, 5–7 June 2017; pp. 27–34. [Google Scholar]
- Faber, M.; vd Zwaag, K.; Rocha, H.; Pereira, E.; Segatto, M.; Silva, J. Performance evaluation of lorawan applied to smart monitoring in onshore oil industries. In Proceedings of the 2019 SBMO/IEEE MTT-S International Microwave and Optoelectronics Conference (IMOC), Aveiro, Portugal, 10–14 November 2019; pp. 1–3. [Google Scholar]
- Faber, M.J.; van der Zwaag, K.M.; dos Santos, W.G.V.; Rocha, H.R.D.O.; Segatto, M.E.; Silva, J.A. A theoretical and experimental evaluation on the performance of LoRa technology. IEEE Sens. J. 2020, 20.16, 9480–9489. [Google Scholar] [CrossRef]
- Khutsoane, O.; Isong, B.; Abu-Mahfouz, A.M. IoT devices and applications based on LoRa/LoRaWAN. In Proceedings of the 43rd Annual Conference of the IEEE Industrial Electronics Society (IECON), Beijing, China, 29 October–1 November 2017; pp. 6107–6112. [Google Scholar]
- Bouguera, T.; Diouris, J.F.; Chaillout, J.J.; Jaouadi, R.; Andrieux, G. Energy consumption model for sensor nodes based on LoRa and LoRaWAN. Sensors 2018, 18, 2104. [Google Scholar] [CrossRef]
- de Carvalho Silva, J.; Rodrigues, J.J.; Alberti, A.M.; Solic, P.; Aquino, A.L. LoRaWAN—A low power WAN protocol for Internet of Things: A review and opportunities. In Proceedings of the 2nd International Multidisciplinary Conference on Computer and Energy Science (SpliTech), Split, Croatia, 12–14 July 2017; pp. 1–6. [Google Scholar]
- Segatto, M.E.V.; de Oliveira Rocha, H.R.; Silva, J.A.L.; Paiva, M.H.M.; Cruz, M.A.D.R.S. Telecommunication technologies for smart grids: Total cost optimization. In Advances in Renewable Energies and Power Technologies; Elsevier: Amsterdam, The Netherlands, 2018; pp. 451–478. [Google Scholar]
- Costa, W.D.S.; dos Santos, W.G.; Camporez, H.A.; Faber, M.J.; Silva, J.A.; Segatto, M.E.; Rocha, H.R. Planning and Resources Allocation of a Hybrid Iot Network Using Artificial Intelligence. 2022. Available online: https://ssrn.com/abstract=4036227 (accessed on 10 December 2022).
- Casals, L.; Mir, B.; Vidal, R.; Gomez, C. Modeling the energy performance of LoRaWAN. Sensors 2017, 17, 2364. [Google Scholar] [CrossRef]
- Hoeller, A.; Souza, R.D.; López, O.L.A.; Alves, H.; de Noronha Neto, M.; Brante, G. Analysis and performance optimization of LoRa networks with time and antenna diversity. IEEE Access 2018, 6, 32820–32829. [Google Scholar] [CrossRef]
- Magrin, D.; Capuzzo, M.; Zanella, A. A thorough study of LoRaWAN performance under different parameter settings. IEEE Internet Things J. 2019, 7, 116–127. [Google Scholar] [CrossRef]
- Sandoval, R.M.; Garcia-Sanchez, A.J.; Garcia-Haro, J. Optimizing and updating lora communication parameters: A machine learning approach. IEEE Trans. Netw. Serv. Manag. 2019, 16, 884–895. [Google Scholar] [CrossRef]
- Kufakunesu, R.; Hancke, G.P.; Abu-Mahfouz, A.M. A survey on adaptive data rate optimization in lorawan: Recent solutions and major challenges. Sensors 2020, 20, 5044. [Google Scholar] [CrossRef] [PubMed]
- Kumari, P.; Gupta, H.P.; Dutta, T. Estimation of time duration for using the allocated lora spreading factor: A game-theory approach. IEEE Trans. Veh. Technol. 2020, 69, 11090–11098. [Google Scholar] [CrossRef]
- Moraes, J.; Matni, N.; Riker, A.; Oliveira, H.; Cerqueira, E.; Both, C.; Rosário, D. An efficient heuristic LoRaWAN adaptive resource allocation for IoT applications. In Proceedings of the 2020 IEEE Symposium on Computers and Communications (ISCC), Rennes, France, 7–10 July 2020; pp. 1–6. [Google Scholar]
- Narieda, S.; Fujii, T.; Umebayashi, K. Umebayashi, Energy constrained optimization for spreading factor allocation in lorawan. Sensors 2020, 20, 4417. [Google Scholar] [CrossRef] [PubMed]
- Premsankar, G.; Ghaddar, B.; Slabicki, M.; Di Francesco, M. Optimal configuration of LoRa networks in smart cities. IEEE Trans. Ind. Inform. 2020, 16, 7243–7254. [Google Scholar] [CrossRef]
- Dawaliby, S.; Bradai, A.; Pousset, Y. Joint slice-based spreading factor and transmission power optimization in LoRa smart city networks. Internet Things 2021, 14, 100121. [Google Scholar] [CrossRef]
- Nguyen, T.H.; Jung, W.S.; Tu, L.T.; Van Chien, T.; Yoo, D.; Ro, S. Performance analysis and optimization of the coverage probability in dual hop LoRa networks with different fading channels. IEEE Access 2020, 8, 107087–107102. [Google Scholar] [CrossRef]
- Nloubany, A.; Lahoud, S.; El Chall, R. Adaptive algorithm for spreading factor selection in LoRaWAN networks with multiple gateways. Comput. Netw. 2020, 182, 107491. [Google Scholar] [CrossRef]
- Moraes, J.; Oliveira, H.; Cerqueira, E.; Both, C.; Zeadally, S.; Rosário, D. Evaluation of an Adaptive Resource Allocation for LoRaWAN. J. Signal Process. Syst. 2022, 94.1, 65–79. [Google Scholar] [CrossRef]
- Garrido-Hidalgo, C.; Roda-Sanchez, L.; Ramírez, F.J.; Fernández-Caballero, A.; Olivares, T. Efficient online resource allocation in large-scale LoRaWAN networks: A multi-agent approach. Comput. Netw. 2022, 221, 109525. [Google Scholar] [CrossRef]
- Ron, D.; Lee, C.J.; Lee, K.; Choi, H.H.; Lee, J.R. Performance analysis and optimization of downlink transmission in LoRaWAN class B mode. IEEE Internet Things J. 2020, 7, 7836–7847. [Google Scholar] [CrossRef]
- Radiocommunications, A. Designer Manufacturer of Remote Solutions. 2022. Available online: https://www.atim.com/produits/repeteur-de-reseau-lorawan/ (accessed on 1 December 2022).
- Pop, A.I.; Raza, U.; Kulkarni, P.; Sooriyabandara, M. Does bidirectional traffic do more harm than good in LoRaWAN based LPWA networks? In Proceedings of the 2017 IEEE Global Communications Conference (GLOBECOM), Singapore, 4–8 December 2017; pp. 1–6. [Google Scholar]
- Moret, B.M.; Shapiro, H.D. An empirical analysis of algorithms for constructing a minimum spanning tree. In Proceedings of the Workshop on Algorithms and Data Structures, Ottawa, ON, Canada, 14–16 August 1991; pp. 400–411. [Google Scholar]
- Toolbox, C.F. For use with matlab. In [User’s Guide]; MathWorks: Natick, MA, USA, 2001. [Google Scholar]











| Parameter | Symbol | Value | Unit |
|---|---|---|---|
| Transmitted Power | −4 to 20 | dBm | |
| Carrier Frequency | 137; 198; …; 1020 | MHz | |
| Bandwidth | 7.8 to 500 | kHz | |
| Spreading Factor | 7; 8; 9; 10; 11; 12 | - | |
| Code Rate | 4/5; 4/6; 4/7 or 4/8 | - |
Disclaimer/Publisher’s Note: The statements, opinions and data contained in all publications are solely those of the individual author(s) and contributor(s) and not of MDPI and/or the editor(s). MDPI and/or the editor(s) disclaim responsibility for any injury to people or property resulting from any ideas, methods, instructions or products referred to in the content. |
© 2023 by the authors. Licensee MDPI, Basel, Switzerland. This article is an open access article distributed under the terms and conditions of the Creative Commons Attribution (CC BY) license (https://creativecommons.org/licenses/by/4.0/).
Share and Cite
Gava, M.A.; Rocha, H.R.O.; Faber, M.J.; Segatto, M.E.V.; Wörtche, H.; Silva, J.A.L. Optimizing Resources and Increasing the Coverage of Internet-of-Things (IoT) Networks: An Approach Based on LoRaWAN. Sensors 2023, 23, 1239. https://doi.org/10.3390/s23031239
Gava MA, Rocha HRO, Faber MJ, Segatto MEV, Wörtche H, Silva JAL. Optimizing Resources and Increasing the Coverage of Internet-of-Things (IoT) Networks: An Approach Based on LoRaWAN. Sensors. 2023; 23(3):1239. https://doi.org/10.3390/s23031239
Chicago/Turabian StyleGava, Matheus Araujo, Helder Roberto Oliveira Rocha, Menno Jan Faber, Marcelo Eduardo Vieira Segatto, Heinrich Wörtche, and Jair Adriano Lima Silva. 2023. "Optimizing Resources and Increasing the Coverage of Internet-of-Things (IoT) Networks: An Approach Based on LoRaWAN" Sensors 23, no. 3: 1239. https://doi.org/10.3390/s23031239
APA StyleGava, M. A., Rocha, H. R. O., Faber, M. J., Segatto, M. E. V., Wörtche, H., & Silva, J. A. L. (2023). Optimizing Resources and Increasing the Coverage of Internet-of-Things (IoT) Networks: An Approach Based on LoRaWAN. Sensors, 23(3), 1239. https://doi.org/10.3390/s23031239

