Review on Excess Noise Measurements of Resistors
Abstract
1. Introduction
2. Theoretical Background
2.1. Noise
2.1.1. Thermal Noise
- Decrease resistance,
- Decrease bandwidth,
- Decrease temperature.
2.1.2. Excess Noise
2.1.3. Noise in Resistors
2.2. Measurement Units to Express Excess Noise
2.2.1. Conversion Gain
2.2.2. Noise Index
2.3. Resistor Types and Technologies
2.3.1. Resistor Types
2.3.2. Resistor Technologies
3. Measurement Techniques
3.1. Standard Method
3.2. Bridge Setting


| Paper | Year | Bridge Setting | Power Supply | Amplifier | Measurement Range | Analyzed Resistors | Measurement Device | Shielding | Techniques to Improve Measurement |
|---|---|---|---|---|---|---|---|---|---|
| Conrad et al. [23] | 1960 | ✕ | DC power (DUT) + ac power (ampl.) | AC band-pass amplifier (1 kHz) | At 1 kHz | 100 Ω–22 MΩ | VTVM | Shielded enclosure for DUT | - |
| Hawkins and Bloodworth [38] | 1971 | ✕ | - | AC coupled amplifier | 10 Hz–5 kHz | Thick film resistor | Homodyne spectrum analyzer | - | - |
| Digital technique | 1 × 10−4 Hz–4 Hz | - | |||||||
| Stoll [33] | 1980 | ✓ | AC current | Ampl. (not specified) | - | - | 2-channel Fourier analyzer | - | Cross-correlation method |
| Demolder et al. [34] | 1980 | ✓ | DC current, batteries | PAR 113 | 0.1 Hz–1 kHz | 1 Ω–1 kΩ | - | Twisted cables, metal shield around setup | - |
| Cross-correlation method | |||||||||
| Scofield [35] | 1987 | ✓ | AC current | PAR 124A lock-in amplifier | 0.1 Hz–100 Hz | Thin continuous metal films | Spectrum analyzer | Bridge in aluminum box surrounded by Styrofoam | - |
| Verbruggen et al. [36] | 1988 | ✓ | AC current with 45° phase shift | PAR 113 | 0.3 Hz–60 Hz | Thin film Al-sample | 2-channel Fourier analyzer | - | - |
| Moon et al. [32] | 1992 | ✓ | AC current | Stanford SR560/PAR 116 | 0.1 Hz–100 Hz | 480 Ω | Digital signal processor + PC | - | Digital mixing of supply current with 0° or 90° (or ±45°) |
| Leon and Hebard [10] | 1999 | ✓ | AC voltage | Lock-in amplifier | 0.1 Hz–1 Hz | 1 kΩ carbon composite | Spectrum analyzer | - | - |
| Crupi et al. [39] | 2006 | ✕ | - | OP27 | 1 Hz–1 kHz | 1 kΩ | Spectrum analyzer | - | Cross-correlation method, different amplifier configuration measurements |
| Seifert [22] | 2009 | ✓ | DC voltage, battery | INA103 | 1 Hz–30 kHz | 100 Ω, 1 kΩ | FFT analyzer | Aluminum box | - |
| AD620 | 10 kΩ | ||||||||
| Maerki [20] | 2013 | ✓ | DC voltage, battery | AD8676 + INA103 | 0.1 Hz–1 MHz | 470 Ω, 1 kΩ, 10 kΩ, 50 kΩ, 100 kΩ, 200 kΩ | - | - | Trimmer to zero bridge offset |
| INA103 | |||||||||
| Maerki [40] | 2016 | Half bridge | DC voltage | Differential amplifier 2015 dc | - | 1 MΩ–50 GΩ | - | - | - |
| LaMacchia and Swanson [11] | 2018 | ✓ | Bipolar DC voltage, battery | - | 5 Hz–40 kHz | 2 kΩ | AP515 | Cookie tin | Amplifier can be added for parts with low noise |
| Miyaoka and Kurosawa [37] | 2019 | ✓ | Bipolar DC voltage, battery | AD620 + AD797 | 1 Hz–100 kHz | 10 kΩ (different technologies) | Oscilloscope | - | - |
| Beev [4] | 2022 | ✓ | Bipolar battery-based DC voltage | INA163 + PGA | 0.001 Hz–10 Hz | Resistor net-works < 10 kΩ | HP 3458A digital voltmeter | Die-cast aluminum box, steel shielding box for carrier board and instrumentation amplifier | Correlated double sampling method with opposite bridge bias polarities, temperature stabilization |
| LT1167 + PGA | Resistor net-works ≥ 10 kΩ |
3.3. Voltage Supply
3.4. Low-Noise Amplifier
3.5. Shielding
3.6. Measurement Equipment
4. Measurement Results
4.1. Most Important Measurement Results from Previous Publications
4.2. Our Measurement Results
4.2.1. Analyzed Resistors
4.2.2. First Setup: Measurement of Resistor Noise between 0.1 Hz and 100 kHz
4.2.3. Second Setup: Measurement of Very-Low-Frequency Resistor Noise
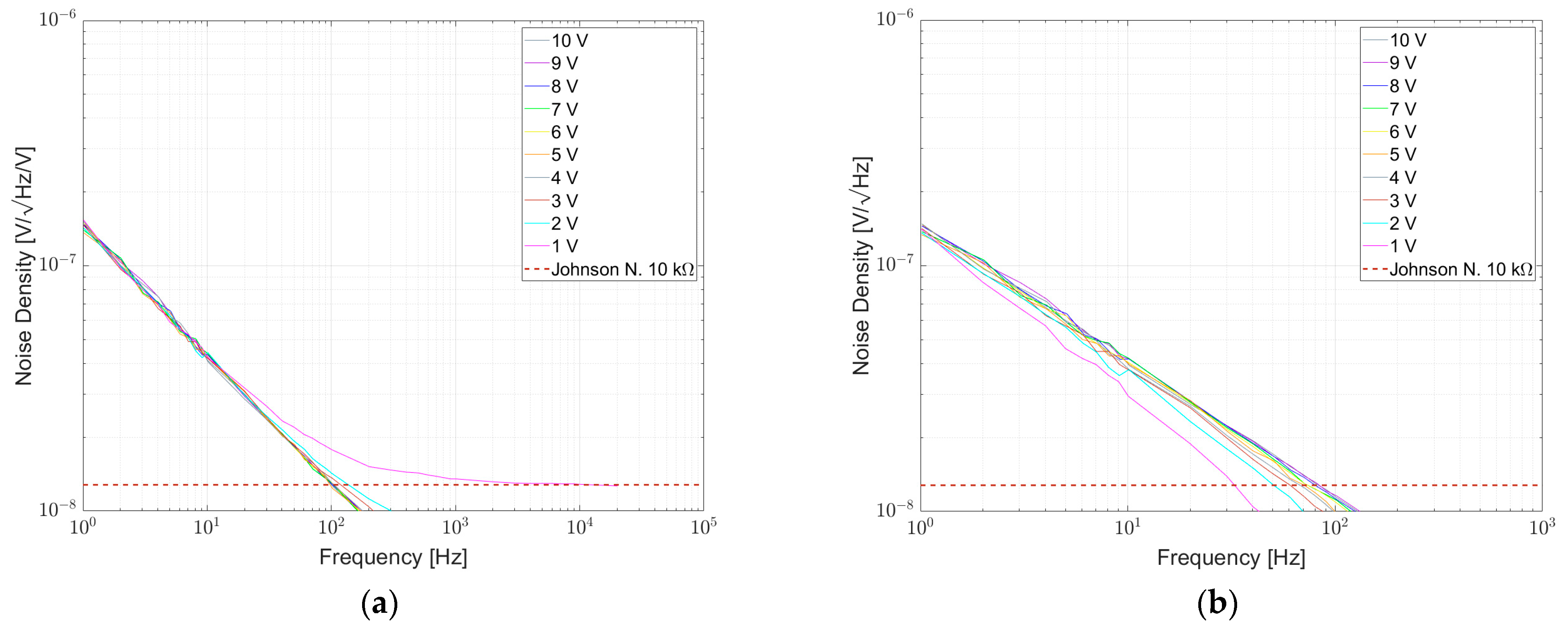
4.2.4. Results
Results from Setup 1
Results from Setup 2
5. Comparison with the Literature Results
6. Discussion
6.1. Reproduction of Measurement Results
6.2. Measurements on Commercial and Inkjet Printed Strain Gauges
6.3. Suggestion for Better Intercomparisons of Noise Spectral Density Plots
Author Contributions
Funding
Institutional Review Board Statement
Informed Consent Statement
Data Availability Statement
Conflicts of Interest
References
- MIL-STD-202-308; Method 308, Current-Noise Test For Fixed Resistors. Department of Defense: Washington, VA, USA, 2015.
- IEC 60195:2016; Method of Measurement of Current Noise Generated in Fixed Resistors. International Electrotechnical Commission: Geneva, Switzerland, 2016. Available online: https://standards.iteh.ai/catalog/standards/iec/b68b909e-e656-41e6-9eca-f9c8c6ca3c4d/iec-60195-2016 (accessed on 15 March 2022).
- Analog Devices, Inc. AN-940 Application Note (Rev. D). Available online: https://www.analog.com/media/en/technical-documentation/application-notes/an-940.pdf (accessed on 20 August 2022).
- Beev, N. Measurement of Excess Noise in Thin Film and Metal Foil Resistor Networks. In Proceedings of the 2022 IEEE International Instrumentation and Measurement Technology Conference (I2MTC), Ottawa, ON, Canada, 16–19 May 2022. [Google Scholar] [CrossRef]
- Hooge, F.N. 1/f noise. Phys. B+C 1976, 83, 14–23. [Google Scholar] [CrossRef]
- Vasilescu, G. Electronic Noise and Interfering Signals: Principles and Applications; Springer: Berlin/Heidelberg, Germany; New York, NY, USA, 2005; ISBN 3-540-40741-3. [Google Scholar]
- Heilmann, R. Rauschen in der Sensorik; Springer: Berlin/Heidelberg, Germany, 2020. [Google Scholar] [CrossRef]
- Hooge, F.N. 1/f noise sources. IEEE Trans. Electron Devices 1994, 41, 1926–1935. [Google Scholar] [CrossRef]
- Vandamme, L. Noise as a diagnostic tool for quality and reliability of electronic devices. IEEE Trans. Electron Devices 1994, 41, 2176–2187. [Google Scholar] [CrossRef]
- Leon, F.R.; Hebard, A.F. Low-Current Noise Measurment Techniques; REU Research Project; University of Florida: Gainesville, FL, USA, 1999. [Google Scholar]
- LaMacchia, B.; Swanson, B. Measuring and Evaluating Excess Noise in Resistors; Engineering Brief 486; Audio Engineering, Society: New York, NY, USA, 2018. [Google Scholar]
- noisecom.com. Noise Basics. Available online: https://noisecom.com/Portals/0/Applications/noisebasics.pdf (accessed on 6 November 2022).
- LaFontaine, D. AN1560: Making Accurate Voltage Noise and Current Noise Measurements on Operational Amplifiers Down to 0.1 Hz. Intersil Application Note 1560. 2011. Available online: https://www.renesas.com/us/en/document/apn/an1560-making-accurate-voltage-noise-and-current-noise-measurements-operational-amplifiers-down-01hz (accessed on 21 February 2022).
- Perepelitsa, D.V. Johnson Noise and Shot Noise; MIT Department of Physics: Cambridge, MA, USA, 2006. [Google Scholar]
- Horowitz, P.; Hill, W. The Art of Electronics, 3rd ed.; Cambridge University Press: Cambridge, UK, 2015; ISBN 878-0-521-80926-9. [Google Scholar]
- Vossen, J.L. Screening of metal film defects by current noise measurements. Appl. Phys. Lett. 1973, 23, 287–289. [Google Scholar] [CrossRef]
- Rocak, D.; Belavic, D.; Hrovat, M.; Sikula, J.; Koktavy, P.; Pavelka, J.; Sedlakova, V. Low-frequency noise of thick-film resistors as quality and reliability indicator. Microelectron. Reliab. 2001, 41, 531–542. [Google Scholar] [CrossRef]
- Maxim Integrated Products, Inc © 2014. Managing Noise in the Signal Chain, Part 1: Annoying Semiconductor Noise, Preventable or inescapable: TUTORIALS 5664. Available online: https://www.maximintegrated.com/en/design/technical-documents/tutorials/5/5664.html (accessed on 23 October 2022).
- Best, R. Die Verarbeitung von Kleinsignalen in Elektronischen Systemen; AT Verlag: Stuttgart, Germany, 1982; ISBN 3855021147. [Google Scholar]
- Maerki, P. White Paper Thick Film Resistor Flicker Noise; ETH Zurich Solid State Physics Laboratory: Zürich, Switzerland, 2013. [Google Scholar]
- Hunt, S. 11 Myths About Analog Noise Analysis. Available online: https://www.analog.com/media/en/technical-documentation/tech-articles/11-Myths-About-Analog-Noise-Analysis.pdf (accessed on 22 September 2019).
- Seifert, F. Resistor Current Noise Measurements. LIGO-T0900200-v1. 2009. Available online: https://dcc.ligo.org/public/0002/T0900200/001/current_noise.pdf (accessed on 22 September 2019).
- Conrad, G., Jr.; Newman, N.; Stansbury, A. A Recommended Standard Resistor-Noise Test System. IRE Trans. Compon. Parts 1960, 7, 71–88. [Google Scholar] [CrossRef]
- Conrad, G. A Proposed Current-Noise Index for Composition Resistors. IRE Trans. Comp. Parts 1956, 3, 14–20. [Google Scholar] [CrossRef]
- Zandman, F.; Simon, P.-R.; Szwarc, J. Resistor Theory and Technology, 1st ed.; SciTech Publishing Inc.: Park Ridge, NJ, USA, 2001; ISBN 978-1891121128. [Google Scholar]
- Vishay Beyschlag. Basics of Linear Fixed Resistors: Application Note, Resistive Products; Document Number: 28771; Vishay Beyschlag: Heide, Germany, 2008. [Google Scholar]
- Chen, T.M.; Su, S.F.; Smith, D. Noise in Ru-based thick-film resistors. Solid-State Electron. 1982, 25, 821–827. [Google Scholar] [CrossRef]
- Peled, A.; Johanson, R.E.; Zloof, Y.; Kasap, S.O. 1/f noise in bismuth ruthenate based thick-film resistors. IEEE Trans. Comp. Packag. Manufact. Technol. A 1997, 20, 355–360. [Google Scholar] [CrossRef]
- Kerlain, A.; Mosser, V. Robust, versatile, direct low-frequency noise characterization method for material/process quality control using cross-shaped 4-terminal devices. Microelectron. Reliab. 2005, 45, 1327–1330. [Google Scholar] [CrossRef]
- Van Vliet, K.M.; van Leeuwen, C.J.; Blok, J.; Ris, C. Measurements on current noise in carbon resistors and in thermistors. Physica 1954, 20, 481–496. [Google Scholar] [CrossRef]
- Conrad, G. Noise Measurements of Composition Resistors; Part I. The Method and Equipment. Trans. IRE Prof. Group Comp. Parts 1955, 4, 61–78. [Google Scholar] [CrossRef]
- Moon, J.S.; Mohamedulla, A.F.; Birge, N.O. Digital measurement of resistance fluctuations. Rev. Sci. Instrum. 1992, 63, 4327–4332. [Google Scholar] [CrossRef]
- Stoll, H. Analysis of resistance fluctuations independent of thermal voltage noise. Appl. Phys. 1980, 22, 185–187. [Google Scholar] [CrossRef]
- Demolder, S.; Vandendriessche, M.; Van Calster, A. The measuring of 1/f noise of thick and thin film resistors. J. Phys. E Sci. Instrum. 1980, 13, 1323. [Google Scholar] [CrossRef]
- Scofield, J.H. ac method for measuring low-frequency resistance fluctuation spectra. Rev. Sci. Instrum. 1987, 58, 985–993. [Google Scholar] [CrossRef]
- Verbruggen, A.H.; Stoll, H.; Heeck, K.; Koch, R.H. A novel technique for measuring resistance fluctuations independently of background noise. Appl. Phys. A 1989, 48, 233–236. [Google Scholar] [CrossRef]
- Miyaoka, Y.; Kurosawa, M.K. Measurements of Current Noise and Distortion in Resistors. In Proceedings of the 23rd International Congress on Acoustics, Aachen, Germany, 9–13 September 2019. [Google Scholar]
- Hawkins, R.J.; Bloodworth, G.G. Measurements of low-frequency noise in thick film resistors. Thin Solid Film. 1971, 8, 193–197. [Google Scholar] [CrossRef]
- Crupi, F.; Giusi, G.; Ciofi, C.; Pace, C. Enhanced Sensitivity Cross-Correlation Method for Voltage Noise Measurements. IEEE Trans. Instrum. Meas. 2006, 55, 1143–1147. [Google Scholar] [CrossRef]
- Maerki, P. White Paper Thick Film Resistor Flicker Noise—Additional Measurments 2016; ETH Zurich Solid State Physics Laboratory: Zürich, Switzerland, 2016. [Google Scholar]
- EEVblog Electronics Community Forum. Available online: https://www.eevblog.com/forum/metrology/statistical-arrays/msg3138106/#msg3138106 (accessed on 6 November 2022).


















| NI [dB] | Resistors From [22] | Resistor Networks From [4] | ||
|---|---|---|---|---|
| ≥−40 | MIRA Electronic 1206, 1%, 100 ppm, 100 Ω | Philips RC01, 5%, 200 ppm, 100 Ω | NOMCA | |
| Vitrohm RGU 526-0, 2%, 100 ppm, 100 Ω | Phoenix PR01, 5%, 250 ppm, 100 Ω | AORN | ||
| Mira 0805, 1%, 100 ppm, 100 Ω | Philips RC01, 5%, 200 ppm, 10 kΩ | T914 | ||
| Panasonic ERJ-8ENF, 1%, 100 ppm, 10 kΩ | Mira 0805, 1%, 100 ppm, 10 kΩ | ACAS | ||
| −40 to −60 | Microtech CMF0805, 0.1%, 25 ppm, 100 Ω | Vishay SMM0204-MS1, 1%, 50 ppm, 100 Ω | PRA | |
| Yageo MF0207, 1%, 100 ppm, 1 kΩ | Arcol MRA 0207, 0.1%, 15 ppm, 100 Ω | DFN | ||
| Vishay Dale CMF55, 0.1%, 25 ppm, 1 kΩ | Vishay MMA0204, 0.1%, 15 ppm, 10 kΩ | DIP-1999 | ||
| Vitrohm ZC0204, 1%, 50 ppm, 10 kΩ | VSOR | |||
| Tyco RN73, 0.1%, 10 ppm, 10 kΩ | MAX549x | |||
| ≤−60 | Vishay Beyschlag MMA0204, 1%, 50 ppm, 100 Ω | Phycomp TFx13 series, 0.1%, 25 ppm, 100 Ω | NOMC | PRND |
| Ohmite, 5%, 100 Ω | Vishay Beyschlag MBB0207, 1%, 50 ppm, 100 Ω | MORN | RIA | |
| Welwyn RC55Y, 0.1%, 15 ppm, 1 kΩ | Yageo PO 593-0, 5%, 200 ppm, 100 Ω | OSOP | ORN | |
| Vishay Beyschlag MMA0204, 1%, 50 ppm, 100 Ω | Phycomp TFx13 series, 0.1%, 25 ppm, 100 Ω | TDP | HTRN | |
| Ohmite, 5%, 100 Ω | Vishay Beyschlag MBB0207, 1%, 50 ppm, 100 Ω | DIV23 | MPM | |
| Welwyn RC55Y, 0.1%, 15 ppm, 1 kΩ | Yageo PO 593-0, 5%, 200 ppm, 100 Ω | SMN/SMNZ | LT5400 | |
| Manufacturer Part Number | Abbreviation | Value [Ω] | Tolerance [%] | Power [W] | Technology |
|---|---|---|---|---|---|
| AlphaElectronics MC Y 000100 T | AE 100R | 100 | ±0.01 | 0.3 (at 125 °C) | - |
| AlphaElectronics MC Y 1K0000 T | AE 1k | 1000 | ±0.01 | 0.3 (at 125 °C) | - |
| AlphaElectronics MC Y 000350 T | AE 350R | 350 | ±0.01 | 0.3 (at 125 °C) | - |
| Arcol MRA 0207 | Arcol 1k | 100 | ±0.1 | 0.25 | Metal film |
| Vishay Beyschlag MBB 0207 | MBB 100R | 100 | ±1 | 0.6 (at 70 °C) | Thin film |
| Vishay Beyschlag MMA 0204 | MMA 1k | 1000 | ±1 | 0.4 (at 70 °C) | Thin film |
| Vishay Bccomponents PR01 | PR01 100R | 100 | ±5 | 1 (at 70 °C) | Metal film |
| Vishay Bccomponents PR02 | PR02 100R | 100 | ±5 | 2 (at 70 °C) | Metal film |
| Vishay Dale PTF-56-1K0000 | PTF 1k | 1000 | ±0.1 | 0.125 (at 85 °C) | Metal film |
| Vishay Dale PTF-56-350R00 | PTF 350R | 350 | ±0.1 | 0.125 (at 85 °C) | Metal film |
| Neohm UPW25 | UPW25 1k | 1000 | ±0.1 | 0.25 (at 125 °C) | Wirewound |
| Vishay Foil Resistors S Series (S102J) | VFR 100R | 100 | ±0.01 | 0.6 (at 70 °C) | Bulk Metal® Foil |
| Vishay Foil Resistors S Series (S102J) | VFR 1k | 1000 | ±0.01 | 0.6 (at 70 °C) | Bulk Metal® Foil |
| Vishay Foil Resistors S Series (S102J) | VFR 350R | 350 | ±0.01 | 0.6 (at 70 °C) | Bulk Metal® Foil |
| YAGEO 10.0K 0207 | MetalFilm | 10,000 | ±1 | 0.6 (at 70 °C) | Metal film |
| Manufacturer Part Number | Abbreviation | Value [Ω] | Tolerance Absolute [%] | Power/Resistor [W] | Technology | Material |
|---|---|---|---|---|---|---|
| LT5400-1 | LT5400-1 | 10,000 | ±15 | 0.8 | - | Chromium silicide on silicone substrate [4] |
| LT5400-4 | LT5400-4 | 1000 | ±15 | 0.8 | - | Chromium silicide on silicone substrate [4] |
| Vishay Dale NOMCA-1603-1002 | NOMCA16031002 | 10,000 | ±1 | 0.1 (at 70 °C) | Thin film | Tantalum nitride on alumina substrate |
| Vishay Dale NOMCA-1603-1001 | NOMCA16031001 | 1000 | ±1 | 0.1 (at 70 °C) | Thin film | Tantalum nitride on alumina substrate |
| Vishay Thin Film TDP-1603-1002 | TDP16031002 | 10,000 | ±0.1 | 0.8 (at 70 °C) | Thin film | Passivated nichrome on silicone/alumina substrate |
| Vishay Thin Film TDP-1603-1001 | TDP16031001 | 1000 | ±0.1 | 0.8 (at 70 °C) | Thin film | Passivated nichrome on silicone/alumina substrate |
| Vishay Dale TOMC-1603-1002 | TOMC16031002 | 10,000 | ±1 | 0.1 (at 70 °C) | Thin film | Passivated nichrome |
| Vishay Dale TOMC-1603-1001 | TOMC16031001 | 1000 | ±1 | 0.1 (at 70 °C) | Thin film | Passivated nichrome |
| Vishay Dale TOMC-1603-1000 | TOMC16031000 | 100 | ±1 | 0.1 (at 70 °C) | Thin film | Passivated nichrome |
| Manufacturer Part Number | Abbreviation | Value [Ω] | Tolerance [%] | Technology | Material |
|---|---|---|---|---|---|
| HBK 1-LY11-6/350 | Comm. strain gauge | 350 | ±0.35 | - | Constantan on polyimide |
| HBK 1-XY33-6/350 | Comm. strain gauge | 350 | ±0.35 | - | Constantan on polyimide |
| Printed Strain Gauge | Printed strain gauge | 468 | - | Inkjet printing | Silver ink on polyimide |
| Resistor | Noise Index [dB] |
|---|---|
| AE 100R | −64 |
| VFR 100R | −63 |
| Arcol 100R | −59 |
| MBB 100R | −55 |
| PR01 100R | −45 |
| PR02 100R | −46 |
| AE 350R | <−60 |
| PTF 350R | −47 |
| VFR 350R | <−60 |
| AE 1k | <−60 |
| VFR 1k | <−60 |
| PTF 1k | −51 |
| MMA 1k | −57 |
| UPW25 1k | <−60 |
| Resistor Network | Noise Index [dB] |
|---|---|
| TOMC16031000 | −59 |
| LT5400-4 | −53 |
| NOMCA16031001 | −31 |
| TDP16031001 | <−60 |
| TOMC16031001 | −57 |
| Strain Gauge | Noise Index [dB] |
|---|---|
| Comm. strain gauge 1-LY11-6/350 | −60 |
| Comm. strain gauge 1-XY33-6/350 | −61 |
Disclaimer/Publisher’s Note: The statements, opinions and data contained in all publications are solely those of the individual author(s) and contributor(s) and not of MDPI and/or the editor(s). MDPI and/or the editor(s) disclaim responsibility for any injury to people or property resulting from any ideas, methods, instructions or products referred to in the content. |
© 2023 by the authors. Licensee MDPI, Basel, Switzerland. This article is an open access article distributed under the terms and conditions of the Creative Commons Attribution (CC BY) license (https://creativecommons.org/licenses/by/4.0/).
Share and Cite
Walter, D.; Bülau, A.; Zimmermann, A. Review on Excess Noise Measurements of Resistors. Sensors 2023, 23, 1107. https://doi.org/10.3390/s23031107
Walter D, Bülau A, Zimmermann A. Review on Excess Noise Measurements of Resistors. Sensors. 2023; 23(3):1107. https://doi.org/10.3390/s23031107
Chicago/Turabian StyleWalter, Daniela, André Bülau, and André Zimmermann. 2023. "Review on Excess Noise Measurements of Resistors" Sensors 23, no. 3: 1107. https://doi.org/10.3390/s23031107
APA StyleWalter, D., Bülau, A., & Zimmermann, A. (2023). Review on Excess Noise Measurements of Resistors. Sensors, 23(3), 1107. https://doi.org/10.3390/s23031107

